Conditions for the Transformation of a Mesoscale Vortex into a Submesoscale Vortex Thread When the Vortex Elongates by an Inhomogeneous Barotropic Flow
- Authors: Zhmur V.V.1,2,3, Belonenko T.V.3, Novoselova E.V.3, Suetin B.P.2
-
Affiliations:
- Shirshov Institute of Oceanology, Russian Academy of Sciences
- Moscow Institute of Physics and Technology (National Research University)
- Saint Petersburg State University
- Issue: Vol 63, No 2 (2023)
- Pages: 200-210
- Section: Физика моря
- URL: https://journal-vniispk.ru/0030-1574/article/view/136235
- DOI: https://doi.org/10.31857/S0030157423020144
- EDN: https://elibrary.ru/NWOVQL
- ID: 136235
Cite item
Full Text
Abstract
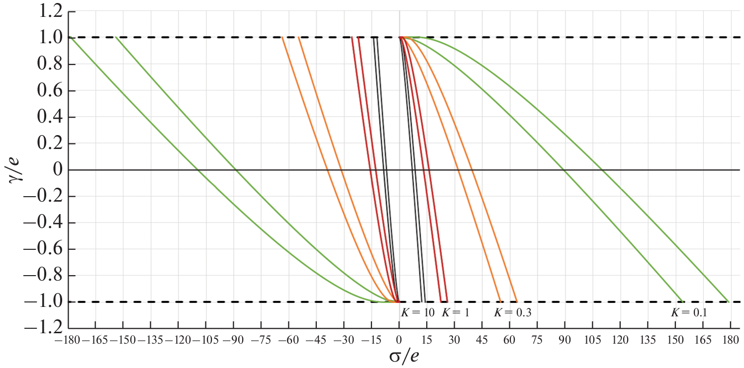
In this paper, we study the effects of strong stretching in the horizontal plane of large-scale mesoscale ocean eddies using the ellipsoidal eddies theory in the World ocean. The purpose of this work is to theoretically determine the physical conditions for unbounded stretching eddies and also check the feasibility of these conditions in the ocean. We estimate the share of mesoscale ocean eddies that are elongated into filaments and then they redistribute energy from the mesoscale to the submesoscale.
Keywords
About the authors
V. V. Zhmur
Shirshov Institute of Oceanology, Russian Academy of Sciences; Moscow Institute of Physics and Technology (National Research University); Saint Petersburg State University
Author for correspondence.
Email: zhmur-vladimir@mail.ru
Russia, 117997, Moscow, 36 Nahimovskiy prospect; Russia, 141701, Moscow Region, Dolgoprudny, 9 Institutskiy per.; Russia, 199034, St. Petersburg, 7–9 Universitetskaya nab.
T. V. Belonenko
Saint Petersburg State University
Email: zhmur-vladimir@mail.ru
Russia, 199034, St. Petersburg, 7–9 Universitetskaya nab.
E. V. Novoselova
Saint Petersburg State University
Email: zhmur-vladimir@mail.ru
Russia, 199034, St. Petersburg, 7–9 Universitetskaya nab.
B. P. Suetin
Moscow Institute of Physics and Technology (National Research University)
Email: zhmur-vladimir@mail.ru
Russia, 141701, Moscow Region, Dolgoprudny, 9 Institutskiy per.
References
- Баренблатт Г.И. Подобие, автомодельность, промежуточная асимптотика. Л.: Гидрометеоиздат, 1978. 207 с.
- Жмур В.В. Мезомасштабные вихри океана. М.: ГЕОС, 2011. 384 с.
- Жмур В.В., Новоселова Е.В., Белоненко Т.В. Потенциальная завихренность в океане: подходы Эртеля и Россби с оценками для Лофотенского вихря // Известия РАН. Физика атмосферы и океана. 2021. Т. 57. № 6. С. 721–732. https://doi.org/10.31857/S0002351521050151
- Жмур В.В., Новоселова Е.В., Белоненко Т.В. Особенности формирования поля плотности в мезомасштабных вихрях Лофотенской котловины. Часть 2 // Океанология. 2022. Т. 62. № 3. С. 341–356. https://doi.org/10.31857/S0030157422030170
- Жмур В.В., Панкратов К.К. Динамика эллипсоидального приповерхностного вихря в неоднородном потоке // Океанология. 1989. Т. 29. № 2. С. 205–211.
- Жмур В.В., Панкратов К.К. Дальнее взаимодействие ансамбля квазигеострофических эллипсоидальных вихрей. Гамильтонова формулировка // Известия АН СССР. 1990. Т. 26. № 9. С. 972–981.
- Жмур В.В., Щепеткин А.Ф. Эволюция эллипсоидального вихря в стратифицированном океане в приближении f-плоскости // Известия РАН. Физика атмосферы и океана. 1991. Т. 27. № 5. С. 492–503.
- Зинченко В.А., Гордеева С.М., Собко Ю.В., Белоненко Т.В. Мезомасштабные вихри Лофотенской котловины по спутниковым данным // Фундаментальная и прикладная гидрофизика. 2019. Т. 12. № 3. С. 46–54. https://doi.org/10.7868/S2073667319030067
- Чаплыгин С.А. Собрание сочинений. Т 2. М.: Гостехиздат, 1948. 642 с.
- Belonenko T.V., Zinchenko V.A., Fedorov A.M. et al. Interaction of the Lofoten Vortex with a satellite cyclone // Pure and Applied Geophysics. 2021. V. 178. P. 287–300. https://doi.org/10.1007/s00024-020-02647-1
- Eady E.T. Long waves and cyclone waves // Tellus. 1949. V. 1 (3). P. 33–52.
- Fedorov A.M., Belonenko T.V. Interaction of mesoscale vortices in the Lofoten Basin based on the GLORYS database // Russian Journal of Earth Sciences. 2020. V. 20. P. ES2002. https://doi.org/10.2205/2020ES000694
- Gordeeva S.M., Zinchenko V.A., Koldunov A.V. et al. Statistical analysis of long-lived mesoscale eddies in the Lofoten basin from satellite altimetry // Advances in Space Research. 2020. V. 68 (2). P. 364–377. https://doi.org/10.1016/j.asr.2020.05.043
- Kida S. Motion of an elliptic vortex in uniform shear flow // Journal of the Physical Society of Japan. 1981. V. 50 (10). P. 3517–3520.
- Koshel K.V., Ryzhov E.A., Zhmur V.V. Ellipsoidal vortex in a nonuniform flow: dynamics and chaotic advections // Journal of Marine Research. 2011. № 69 (2–3). P. 435–461. https://doi.org/10.1357/002224011798765204
- Koshel K.V., Ryzhov E.A., Zhmur V.V. Diffusion-affected passive scalar transport in an ellipsoidal vortex in a shear flow // Nonlinear Processes in Geophysics. 2013. V. 20 (4). P. 437–444. https://doi.org/10.5194/npg-20-437-2013
- Koshel K.V., Ryzhov E.A., Zhmur V.V. Effect of the vertical component of diffusion on passive scalar transport in an isolated vortex model // Physical Review E. 2015. V. 92 (5). P. 053021. https://doi.org/10.1103/PhysRevE.92.053021
- Meacham S.P. Quasigeostrophical ellipsoidal vortices in stratified fluid // Dynamics of Atmospheres and Oceans. 1992. V. 16 (3–4). P. 189–223.
- Meacham S.P., Pankratov K.K., Shchepetkin A.F., Zhmur V.V. The interaction of ellipsoidal vortices with background shear flows in a stratified fluid // Dynamics of Atmospheres and Oceans. 1994. V. 21 (2–3). P. 167–212. https://doi.org/10.1016/0377-0265(94)90008-6
- Pankratov K.K., Zhmur V.V. A dynamics of desinglarized quasigeostrophic vortices // Physics of Fluids A: Fluid Dynamics. 1991. V. 3 (5). P. 1464. https://doi.org/10.1063/1.857998
- Zhmur V.V., Novoselova E.V., Belonenko T.V. Peculiarities of formation of the density field in mesoscale eddies of the Lofoten Basin: Part 1 // Oceanology. 2021. V. 61. № 6. P. 830–838. https://doi.org/10.1134/S0001437021060333
Supplementary files





