Тиосульфат в верхней части анаэробной зоны Черного моря
- Авторы: Дубинин А.В.1, Римская-Корсакова М.Н.1, Очередник О.А.2, Пахомова С.В.1
-
Учреждения:
- Институт океанологии им. П.П. Ширшова РАН
- Южное отделение Института океанологии им. П.П. Ширшова РАН
- Выпуск: Том 63, № 3 (2023)
- Страницы: 382-391
- Раздел: Химия моря
- URL: https://journal-vniispk.ru/0030-1574/article/view/136251
- DOI: https://doi.org/10.31857/S0030157423030036
- EDN: https://elibrary.ru/SRLYNJ
- ID: 136251
Цитировать
Полный текст
Аннотация
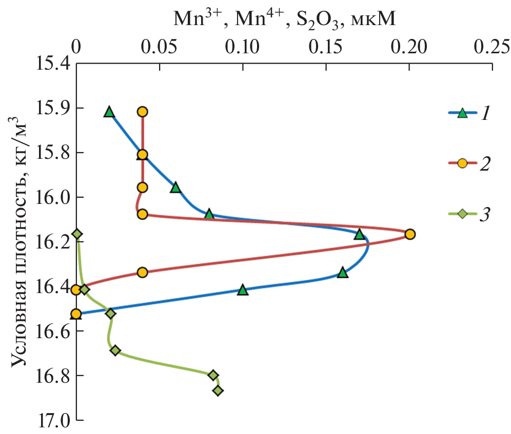
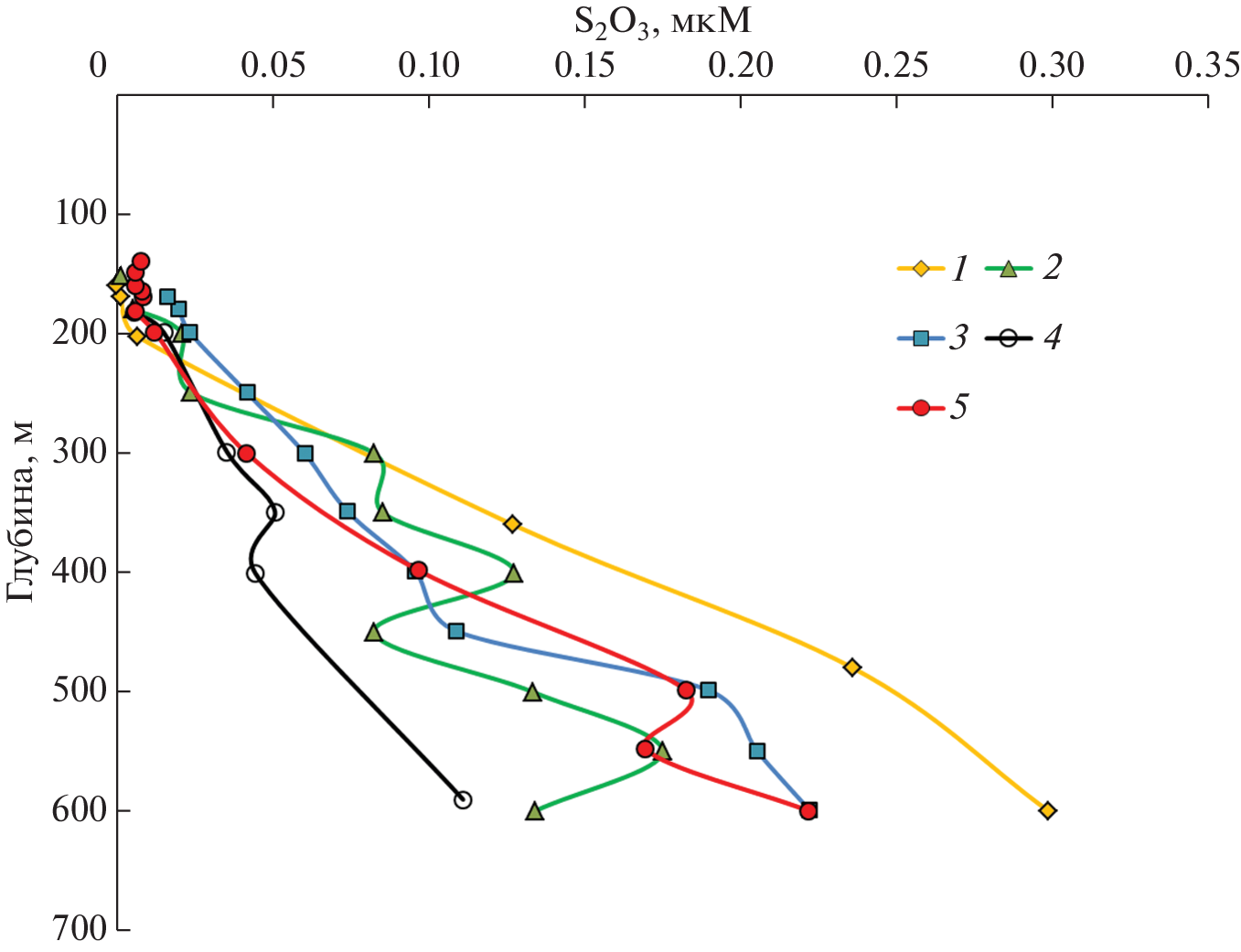
Тиосульфат – соединение серы в промежуточных степенях окисления между сульфидом и сульфатом, появляется в процессах окисления сероводорода бактериальным и химическим путем. Тиосульфат играет заметную роль в процессах окисления сульфидов и его наличие может свидетельствовать о механизме окислительно-восстановительных реакций в биогеохимическом цикле серы и углерода. В настоящей работе представлено распределение тиосульфата, полученное методом дериватизации с 2,2'-дитиобис(5-нитропиридином), в верхней части анаэробной зоны в Черном море в 2018–2021 годах. Наблюдение проводилось ежегодно на станции, расположенной мористее Геленджика в области континентального склона. Вне зависимости от времени наблюдения концентрация тиосульфата растет с глубиной вместе с ростом концентрации сероводорода. Концентрации выше предела обнаружения 0.01 мкМ тиосульфата обнаруживаются в воде с условной плотностью 16.3 и содержанием сероводорода 7–105 мкМ. Максимальных концентраций тиосульфат достигает на максимальной глубине наблюдения 600 м–0.30 мкМ. При отсутствии окислителей сероводорода в анаэробной зоне предполагается, что появление тиосульфата связано с восстановительным циклом серы в процессе сульфат редукции. Исчезновение тиосульфата происходит в верхней части анаэробной зоны раньше сероводорода.
Ключевые слова
Об авторах
А. В. Дубинин
Институт океанологии им. П.П. Ширшова РАН
Автор, ответственный за переписку.
Email: dubinin@ocean.ru
Россия, Москва
М. Н. Римская-Корсакова
Институт океанологии им. П.П. Ширшова РАН
Email: dubinin@ocean.ru
Россия, Москва
О. А. Очередник
Южное отделение Института океанологии им. П.П. Ширшова РАН
Email: dubinin@ocean.ru
Россия, Геленджик
С. В. Пахомова
Институт океанологии им. П.П. Ширшова РАН
Email: dubinin@ocean.ru
Россия, Москва
Список литературы
- Беляев Н.А., Пересыпкин В.И., Поняев М.С. Органический углерод воды, взвеси и верхнего слоя донных осадков западной части Карского моря // Океанология. 2010. Т. 50. № 5. С. 748–757.
- Дубинин А.В., Демидова Т.П., Кременецкий В.В. и др. Определение восстановленных форм серы в анаэробной зоне Черного моря: сравнение методов спектрофотометрии и иодометрии // Океанология. 2012. Т. 52. № 2. С. 200–209.
- Дубинин А.В., Демидова Т.П., Римская-Корсакова М.Н. и др. Определение восстановленных форм серы в воде анаэробных бассейнов // Морской гидрофизический журнал. 2019. Т. 35. № 1 37–51. https://doi.org/10.22449/0233-7584-2019-1-37-51
- Пахомова С.В., Розанов А.Г., Якушев Е.В. Растворенные и взвешенные формы железа и марганца в редокс-зоне Черного моря // Океанология. 2009. Т. 49. № 6. С. 835–850.
- Современные методы гидрохимических исследований океана. М.: ИОАН СССР, 1992. 200 с.
- Dellwig O., Leipe T., März et al. A new particulate Mn-Fe-P-shuttle at the redoxcline of anoxic basins // Geochim. Cosmochim. Acta. 2010. V. 74. P. 7100–7115.
- Findlay A.J., Kamyshny A. Turnover Rates of Intermediate Sulfur Species (, S0, , , ) in Anoxic Freshwater and Sediments // Front. Microbiol. 2017. V. 8. P: 2551. https://doi.org/10.3389/fmicb.2017.0255110.3389/fmicb.2017.02551
- Hayes M.K., Taylor G.T., Astor Y. et al. Vertical distributions of thiosulfate and sulfite in the Cariaco Basin // Limnol. Oceanogr. 2006. V. 51. № 1. P. 280–287.
- Jørgensen B.B. A thiosulfate shunt in the sulfur cycle of marine sediments // Science. 1990. V. 249. P. 152–153.
- Jørgensen B.B., Fossing H., Wirsen C.O. et al. Sulfide oxidation in the anoxic Black Sea chemocline // Deep-Sea Res. 1991. V. 38. № 2. S1083–S1103.
- Li X., Taylor G.T., Astor Y. et al. Relationship of sulfur speciation to hydrographic conditions and chemoautotrophic production in the Cariaco Basin // Marine Chem. 2008. V. 112. P. 53–64.
- Millero F.J. The oxidation of H2S in Framvaren Fjord // Limnol. Oceanogr. 1991. V. 36. № 5. P. 1007–1014.
- Percy D., Li X., Taylor G.T. et al. Controls on iron, manganese and intermediate oxidation cate sulfur compounds in the Cariaco Basin // Marine Chem. 2008. V. 111. P. 47–62.
- Pimenov N.V., Neretin L.N. Composition and activities of microbial communities involved in carbon, sulfur, nitrogen and manganese cycling in the oxic/anoxic interface of the Black Sea // In: Neretin L.N. (Ed.) Past and present water column anoxia. Elsevier, 2006. P. 501–521.
- Vainshtein M.B., Matrosov A.G., Baskunov V.P. et al. Thiosulfate as an intermediate product of bacterial sulfate reduction // Microbiology. 1980. P. 672–675.
- Vairavamurthy A., Mopper K. Determination of sulfite and thiosulfate in aqueous samples including anoxic seawater by liquid chromatography afterderivatization with 2,2'-dithiobis(5-nitropyridine) // Environment Sci. Technol. 1990. V. 24. P. 333–337.
- Volkov I.I., Neretin L.N. Hydrogen sulfide in the Black Sea // In: Kostianoy A.G., Kosarev A.N. (Eds.). The Black Sea environment. Berlin, Heidelberg, New York: Springer-Verlag, 2008. P. 309–331.
- Wakeham S.G., Amann R., Freeman K.H. et al. Microbial ecology of the stratified water column of the Black Sea as revealed by a comprehensive biomarker study // Organic Geochemistry. 2007. V. 38. P. 2070–2097.
- Yakushev E., Pakhomova S., Sørenson K. et al. Importance of the different manganese species in the formation of water column redox zones: Observations and modeling // Marine Chem. 2009. V. 117. P. 59–70.
- Zhang J-Z., Millero F.J. The chemistry of the anoxic waters in the Cariaco Trench // Deep-Sea Research. 1993a. V. 40. № 5. P. 1023–1041.
- Zhang J-Z., Millero F.J. The products from the oxidation of H2S in seawater Geochim. Cosmochim. Acta. 1993b. V. 57. P. 1705–1718.
- Zopfi J., Ferdelman T.G., Fossing H. Distribution and fate of sulfur intermediates – sulfite, tetrathionate, thiosulfate, and elemental sulfur – in marine sediments // In: Amend J.P. (Eds.). Sulfur biogeochemistry—Past and present. Boulder, Colorado, Geological Society of America, 2004. V. 379. P. 97–116.
Дополнительные файлы











