Эвтрофикация пахотной почвы: сравнительное влияние минеральной и органической систем удобрения
- Авторы: Семенов В.М.1, Лебедева Т.Н.1, Зинякова Н.Б.1, Соколов Д.А.1, Семенов М.В.2
-
Учреждения:
- Институт физико-химических и биологических проблем почвоведения РАН
- Почвенный институт им. В.В. Докучаева
- Выпуск: № 1 (2023)
- Страницы: 58-73
- Раздел: АГРОХИМИЯ И ПЛОДОРОДИЕ ПОЧВ
- URL: https://journal-vniispk.ru/0032-180X/article/view/137825
- DOI: https://doi.org/10.31857/S0032180X22600676
- EDN: https://elibrary.ru/JKKEYD
- ID: 137825
Цитировать
Полный текст
Аннотация
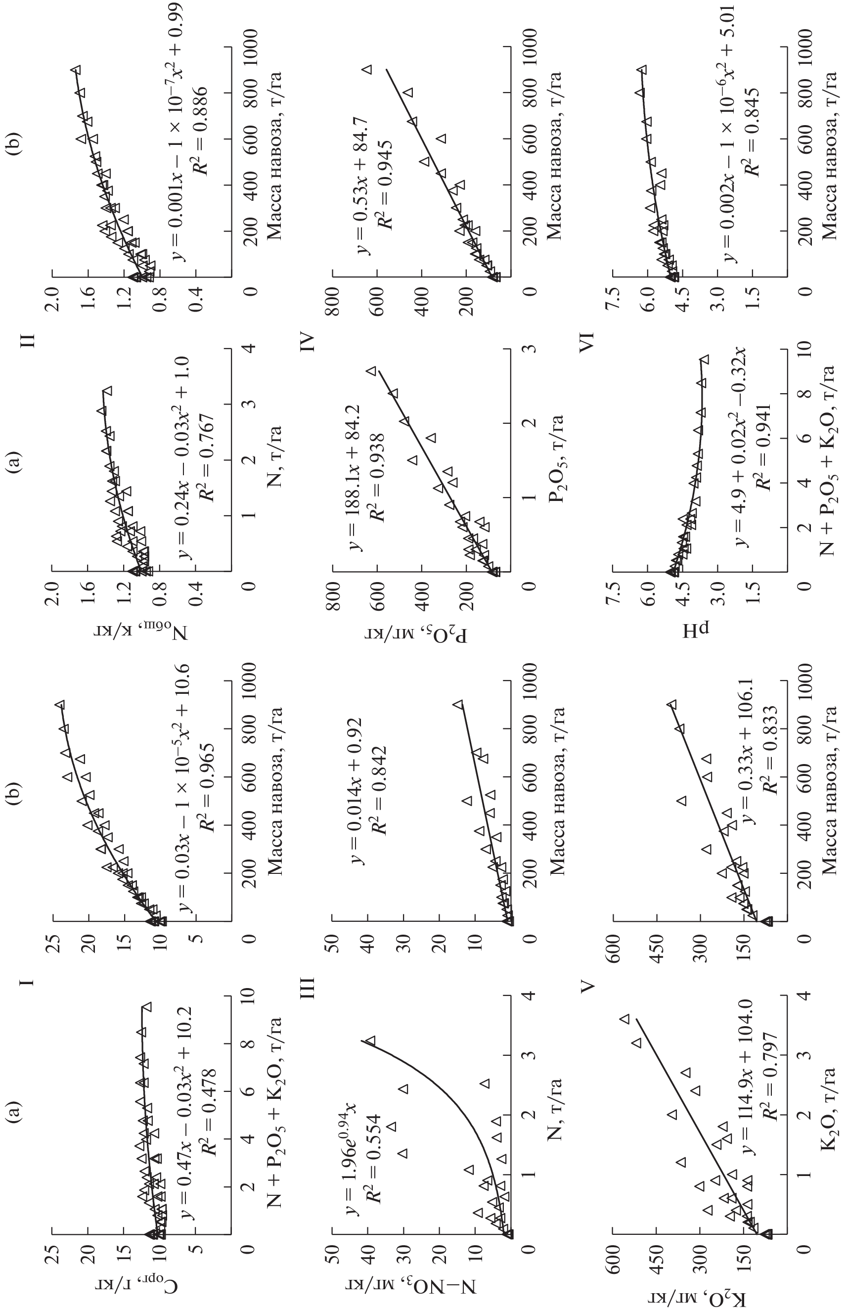
Под агрогенной эвтрофикацией почвы понимается ее искусственное обогащение органическим углеродом и питательными элементами в результате внесения минеральных и органических удобрений с целью повышения плодородия почвы и продуктивности растений. Эвтрофикация серой лесной почвы (Luvic Retic Greyzemic Phaeozems (Loamic)) создавалась ежегодным внесением возрастающих доз минеральных (N 90–360, P2O5 75–300 и K2O 100–400 кг/га) и органических (свежий навоз крупного рогатого скота от 25 до 100 т/га) удобрений под культуры пятипольного севооборота в течение девяти лет микрополевого опыта. Количество внесенного с навозом NPK было приблизительно равным соответствующим дозам минеральных удобрений. Скорость обогащения почвы Сорг при минеральной и органической системах удобрения составляла соответственно 0.29–0.38 и 0.76–1.56 г/(кг год), Nобщ – 0.04–0.06 и 0.06–0.09 г/(кг год), подвижным P2O5 – 4–57 и 11–55 мг/(кг год), подвижным K2O – 5–44 и 6–31 мг/(кг год). Дозы удобрений при обеих системах были самым значимым фактором накопления в почве азота нитратов, подвижных форм фосфора и калия, тогда как накопление Nобщ контролировалось длительностью применения удобрений. Содержание Сорг в почве при органическом и минеральном удобрении зависело от дозы навоза и от длительности внесения NPK соответственно. Эвтрофикация почвы минеральными удобрениями сопровождалась уменьшением pH почвы, а эвтрофикация органическими удобрениями, наоборот, вела к увеличению pH. Подчеркивается, что переудобренность и многолетнее применение удобрений являются главными факторами развития почвенной эвтрофикации и сопутствующего изменения pH почвы.
Ключевые слова
Об авторах
В. М. Семенов
Институт физико-химических и биологических проблем почвоведения РАН
Автор, ответственный за переписку.
Email: v.m.semenov@mail.ru
Россия, 142290, Московская область, Пущино, ул. Институтская, 2
Т. Н. Лебедева
Институт физико-химических и биологических проблем почвоведения РАН
Email: v.m.semenov@mail.ru
Россия, 142290, Московская область, Пущино, ул. Институтская, 2
Н. Б. Зинякова
Институт физико-химических и биологических проблем почвоведения РАН
Email: v.m.semenov@mail.ru
Россия, 142290, Московская область, Пущино, ул. Институтская, 2
Д. А. Соколов
Институт физико-химических и биологических проблем почвоведения РАН
Email: v.m.semenov@mail.ru
Россия, 142290, Московская область, Пущино, ул. Институтская, 2
М. В. Семенов
Почвенный институт им. В.В. Докучаева
Email: v.m.semenov@mail.ru
Россия, 119017, Москва, Пыжевский пер, 7, стр. 2
Список литературы
- Васбиева М.Т. Изменение агрохимических показателей дерново-подзолистой почвы Предуралья при длительном применении удобрений // Почвоведение. 2021. № 1. С. 90–99. https://doi.org/10.31857/S0032180X21010135
- Волынкина О.В., Кириллова Е.В. Формирование агрофона с оптимальным содержанием подвижного фосфора в черноземе выщелоченном // Агрохимия, 2021. № 1. С. 3–11. https://doi.org/10.31857/S0002188121010117
- Зинякова Н.Б., Семенов В.М. Влияние возрастающих доз органических и минеральных удобрений на пулы растворенного, подвижного и активного органического вещества в серой лесной почве // Агрохимия. 2014. № 6. С. 8–19.
- Кудеяров В.Н. Оценка питательной деградации пахотных почв России // Вестник Российской академии наук. 2015. Т. 85. № 9. С. 771–775. https://doi.org/10.7868/S0869587315090078
- Кудеяров В.Н. Почвенно-биогеохимические аспекты состояния земледелия в Российской Федерации // Почвоведение. 2019. № 1. С. 109–121. https://doi.org/10.1134/S0032180X1901009X
- Кудеяров В.Н., Башкин В.Н., Кудеярова А.Ю., Бочкарев А.Н. Экологические проблемы применения минеральных удобрений. М.: Наука, 1984. 214 с.
- Кудеяров В.Н., Семенов В.М. Оценка современного вклада удобрений в агрогеохимический цикл азота, фосфора и калия // Почвоведение. 2004. № 12. С. 1440–1446.
- Кудеяров В.Н., Семенов В.М. Проблемы агрохимии и современное состояние химизации сельскохозяйственного производства в Российской Федерации // Агрохимия. 2014. № 10. С. 3–17.
- Кудеярова А.Ю. Фосфатогенная трансформация почв. М.: Наука, 1995. 288 с.
- Митрофанова Е.М., Васбиева М.Т. Фосфатный режим дерново-подзолистой почвы при длительном применении органических и минеральных удобрений // Агрохимия. 2014. № 9. С. 13–19.
- Мерзлая Г.Е., Еськов А.И., Тарасов С.И. Действие и последействие систем удобрения с использованием навоза // Плодородие. 2011. № 3. С. 16–19.
- Носко Б.С., Бабынин В.И., Гладких Е.Ю. Последействие удобрений на физико-химические и агрохимические свойства чернозема типичного // Агрохимия. 2012. № 4. С. 3–13.
- Паутова Н.Б., Семенова Н.А., Хромычкина Д.П., Лебедева Т.Н., Семенов В.М. Определение активного органического вещества в свежем подстилочном навозе биокинетическим методом // Агрохимия. 2018. № 9. С. 29–39. https://doi.org/10.1134/S0002188118090107
- Романенков В.А., Беличенко М.В., Рухович О.В., Никитина Л.В., Иванова О.И. Эффективность использования азота в длительных и краткосрочных опытах агрохимслужбы и геосети Российской Федерации // Агрохимия. 2020. № 12. С. 28–37. https://doi.org/10.31857/S0002188120120091
- Семенов А.М., Бубнов И.А., Семенов В.М., Семенова Е.В., Зеленев В.В., Семенова Н.А. Ежедневная динамика численности бактерий и эмиссии СО2 почвы и связь их волнообразных колебаний с сукцессией микробного сообщества // Почвоведение. 2013. № 8. С. 963–979. https://doi.org/10.7868/S0032180X13080078
- Семенов В.М., Пругар Я., Кноп К., Пехова Б., Агаев В.А., Соколов О.А. Накопление нитратов растениями при интенсивном применении азотных удобрений // Известия АН СССР. Серия биологическая. 1986. № 2. С. 201–209.
- Сычев В.Г., Шафран С.А., Виноградова С.Б. Плодородие почв России и пути его регулирования // Агрохимия. 2020. № 6. С. 3–13. https://doi.org/10.31857/S0002188120060125
- Тарасов С.И., Кравченко М.Е., Бужина Т.А. Баланс азота, использование биогенных элементов в агроценозах с бессменным возделыванием костреца безостого при длительном применении различных доз бесподстилочного навоза // Агрохимия. 2021. № 2. С. 21–30. https://doi.org/10.31857/S0002188121020125
- Шафран С.А., Кирпичников Н.А., Ермаков А.А., Семенова А.И. Динамика содержания подвижного фосфора в почвах Нечерноземной зоны и его регулирование // Агрохимия. 2021. № 5. С. 14–20. https://doi.org/10.31857/S0002188121050100
- Шишов Л.Л., Тонконогов В.Д., Лебедева И.И., Герасимова М.И. Классификация и диагностика почв России. Смоленск: Ойкумена, 2004. 324 с.
- Albornoz F. Crop responses to nitrogen overfertilization: A review // Scientia Horticulturae. 2016. V. 205. P. 79–83. https://doi.org/10.1016/j.scienta.2016.04.026
- Alvarez R. A review of nitrogen fertilizer and conservation tillage effects on soil organic carbon storage // Soil Use Manag. 2005. V. 21(1). P. 38–52. https://doi.org/10.1111/j.1475-2743.2005.tb00105.x
- Bouwman A.F., van Vuuren D.P., Derwent R.G., Posch M. A global analysis of acidification and eutrophication of terrestrial ecosystems // Water, Air, and Soil Pollution. 2002. V. 141. P. 349–382. https://doi.org/10.1023/A:1021398008726
- Bouwman L., Goldewijk K.K., Van Der Hoek K.W., Beusen A.H.W., Van Vuuren D.P., Willems J., Rufino M.C., Stehfest E. Exploring global changes in nitrogen and phosphorus cycles in agriculture induced by livestock production over the 1900–2050 period // PNAS. 2013. V. 110(52). P. 20882–20887. https://doi.org/10.1073/pnas.1012878108
- Chen X., Yan X., Wang M., Cai Y., Weng X., Su D., Guo J., Wang W., Hou Y., Ye D., Zhang S., Liu D., Tong L., Xu X., Zhou S., Wu L., Zhang F. Long-term excessive phosphorus fertilization alters soil phosphorus fractions in the acidic soil of pomelo orchards // Soil and Tillage Research. 2022. V. 215. Art. № 105214. https://doi.org/10.1016/j.still.2021.105214
- Craine J.M., Elmore A.J., Wang L., Aranibar J., Bauters M., Boeckx P., Crowley B.E., Dawes M.A., Delzon S., Fajardo A., Fang Y., Fujiyoshi L., Gray A., Guerrieri R., Gundale M.J., … Zmudczyńska–Skarbek K. Isotopic evidence for oligotrophication of terrestrial ecosystems // Nature Ecology and Evolution. 2018. V. 2. P. 1735–1744. https://doi.org/10.1038/s41559-018-0694-0
- Dang P., Li C., Lu C., Zhang M., Huang T., Wan C., Wang H., Chen Y., Qin X., Liao Y., Siddique K.H.M. Effect of fertilizer management on the soil bacterial community in agroecosystems across the globe // Agriculture, Ecosystems and Environment. 2022. V. 326. Art. № 107795. https://doi.org/10.1016/j.agee.2021.107795
- Ekblad A., Nordgren A. Is growth of soil microorganisms in boreal forests limited by carbon or nitrogen availability? // Plant and Soil. 2002. V. 242. P. 115–122. https://doi.org/10.1023/A:1019698108838
- Elser J.J., Bracken M.E.S., Cleland E.E., Gruner D.S., Harpole W.S., Hillebrand H., Ngai J.T., Seabloom E.W., Shurin J.B., Smith J.E. Global analysis of nitrogen and phosphorus limitation of primary producers in freshwater, marine and terrestrial ecosystems // Ecology Letters. 2007. V. 10. P. 1135–1142. https://doi.org/10.1111/j.1461-0248.2007.01113.x
- Garske B., Stubenrauch J., Ekardt F. Sustainable phosphorus management in European agricultural and environmental law // Review of European, Comparative and International Environmental Law. 2020. V. 29. P. 107–117. https://doi.org/10.1111/reel.12318
- Good A.G., Beatty P.H. Fertilizing Nature: A Tragedy of Excess in the Commons // PLoS Biol. 2011. V. 9(8). Art. № e1001124. https://doi.org/10.1371/journal.pbio.1001124
- Guo J.H., Liu X.J., Zhang Y., Shen J.L., Han W.X., Zhang W.F., Christie P., Goulding K.W.T., Vitousek P.M., Zhang F.S. Significant Acidification in Major Chinese Croplands // Science. 2010. V. 327(5968). P. 1008–1010. https://doi.org/10.1126/science.1182570
- Ho A., Di Lonardo D.P., Bodelier P.L.E. Revisiting life strategy concepts in environmental microbial ecology // FEMS Microbiology Ecology. 2017. V. 93(3), Art. № fix006. https://doi.org/10.1093/femsec/fix006
- Innes R. Economics of Agricultural Residuals and Overfertilization: Chemical Fertilizer Use, Livestock Waste, Manure Management, and Environmental Impacts // Encyclopedia of Energy, Natural Resource and Environmental Economics. 2013. V. 2. P. 50–57. https://doi.org/10.1016/B978-0-12-375067-9.00118-2
- Ju X.T., Xing G.X., Chen X.P., Zhang S.L., Zhang L.J., Liu X.J., Cui Z.L., Yin B., Christie P., Zhu Z.L., Zhang F.S. Reducing environmental risk by improving N management in intensive Chinese agricultural systems // PNAS. 2009. V. 106(9). P. 3041–3046. https://doi.org/10.1073 pnas.0813417106
- Le Moal M., Gascuel-Odoux C., Ménesguen A., Souchon Y., Étrillard C., Levain A., Moatar F., Pannard A., Souchu P., Lefebvre A., Pinay G. Eutrophication: A new wine in an old bottle? // Science Total Environment. 2019. V. 651. P. 1–11. https://doi.org/10.1016/j.scitotenv.2018.09.139
- Musacchio A., Re V., Mas-Pla J., Sacchi E. EU Nitrates Directive, from theory to practice: Environmental effectiveness and influence of regional governance on its performance // Ambio. 2020. V. 49. P. 504–516. https://doi.org/10.1007/s13280-019-01197-8
- Odland A. Oligotrophic and mesotrophic vegetation in southern Scandinavian mountains. Gradients in species and community distribution extracted by numerical analyses of earlier published vegetation descriptions // Phytocoenologia. 2005. B. 35(4). P. 985–1018. https://doi.org/10.1127/0340-269X/2005/0035-0985
- Raven J.A., Andrews M., Quigg A. The evolution of oligotrophy: implications for the breeding of crop plants for low input agricultural systems // Annals Applied Biology. 2005. V. 146(3). P. 261–280. https://doi.org/10.1111/j.1744-7348.2005.040138.x
- Rodríguez L., Macías F. Eutrophication trends in forest soils in Galicia (NW Spain) caused by the atmospheric deposition of nitrogen compounds // Chemosphere. 2006. V. 63(9). P. 1598–1609. https://doi.org/10.1016/j.chemosphere.2005.08.072
- Roth M., Michiels H.G., Puhlmann H., Sucker C., Hauck M. Multiple soil factors explain eutrophication signals in the understorey vegetation of temperate forests // J. Vegetation Sci. 2021. V. 32. Art. № e13063. https://doi.org/10.1111/jvs.13063
- Roth M., Michiels H.G., Puhlmann H., Sucker C., Winter M.B., Hauck M. Responses of Temperate Forests to Nitrogen Deposition: Testing the Explanatory Power of Modeled Deposition Datasets for Vegetation Gradients // Ecosystems. 2021. V. 24. P. 1222–1238. https://doi.org/10.1007/s10021-020-00579-4
- Schelfhout S., Wasof S., Mertens J., Vanhellemont M., Demey A., Haegeman A., DeCock E., Moeneclaey I., Vangansbeke P., Viaene N., Baeyen S., De Sutter N., Maes M., van der Putten W.H., Verheyen K., De Schrijver A. Effects of bioavailable phosphorus and soil biota on typical Nardus grassland species in competition with fast-growing plant species // Ecological Indicators. 2021. V. 120. Art. № 106880. https://doi.org/10.1016/j.ecolind.2020.106880
- Schimel J.P., Schaeffer S.M. Microbial control over carbon cycling in soil // Front. Microbiol. 2012. V. 3. Art. № 348. https://doi.org/10.3389/fmicb.2012.00348
- Semenov A.M. Physiological bases of oligotrophy of microorganisms and the concept of microbial community // Microbial Ecology. 1991. V. 22. P. 239–247. https://doi.org/10.1007/BF02540226
- Smith V.H., Schindler D.W. Eutrophication science: where do we go from here? // Trends in Ecology and Evolution. 2009. V. 24(4). P. 201–207. https://doi.org/10.1016/j.tree.2008.11.009
- Smith V.H., Tilman G.D., Nekola J.C. Eutrophication: impacts of excess nutrient inputs on freshwater, marine, and terrestrial ecosystems // Environmental Pollution. 1999. V. 100(1–3). P. 179–196. https://doi.org/10.1016/S0269-7491(99)00091-3
- Stevens C.J., Thompson K., Grime J.P., Long C.J., Gowing D.J.G. Contribution of acidification and eutrophication to declines in species richness of calcifuge grasslands along a gradient of atmospheric nitrogen deposition // Functional Ecology. 2010. V. 24. P. 478–484. https://doi.org/10.1111/j.1365-2435.2009.01663.x
- Van Dobben H.F., De Vries W. The contribution of nitrogen deposition to the eutrophication signal in understorey plant communities of European forests // Ecology and Evolution. 2017. V. 7. P. 214–227. https://doi.org/10.1002/ece3.2485
- Wheeler B.D., Proctor M.C.F. Ecological gradients, subdivisions and terminology of north-west European mires // J. Ecology. 2000. V. 88(2). P. 187–203. https://doi.org/10.1046/j.1365-2745.2000.00455.x
- Withers P.J.A., Neal C., Jarvie H.P., Doody D.G. Agriculture and Eutrophication: Where Do We Go from Here? // Sustainability. 2014. V. 6. P. 5853–5875. https://doi.org/10.3390/su6095853
- Xu X., Du X., Wang F., Sha J., Chen Q., Tian G., Zhu Z., Ge S., Jiang Y. Effects of Potassium Levels on Plant Growth, Accumulation and Distribution of Carbon, and Nitrate Metabolism in Apple Dwarf Rootstock Seedlings // Frontiers Plant Sci. 2020. V. 11. Art. № 904. https://doi.org/10.3389/fpls.2020.00904
Дополнительные файлы




