Biological Activity of Leached Chernozem under Oil and Sodium Chloride Pollution and the Effect of Treatment with Halotolerant Oil-Destructing Bacteria
- Authors: Kuzina E.V.1, Rafikova G.F.1, Mukhamatdyarova S.R.1, Sharipova Y.Y.1, Korshunova T.Y.1
-
Affiliations:
- Ufa Institute of Biology of the Ufa Federal Research Center of the Russian Academy of Sciences
- Issue: No 1 (2023)
- Pages: 89-101
- Section: DEGRADATION, REHABILITATION, AND CONSERVATION OF SOILS
- URL: https://journal-vniispk.ru/0032-180X/article/view/137828
- DOI: https://doi.org/10.31857/S0032180X22600718
- EDN: https://elibrary.ru/JKECKN
- ID: 137828
Cite item
Full Text
Abstract
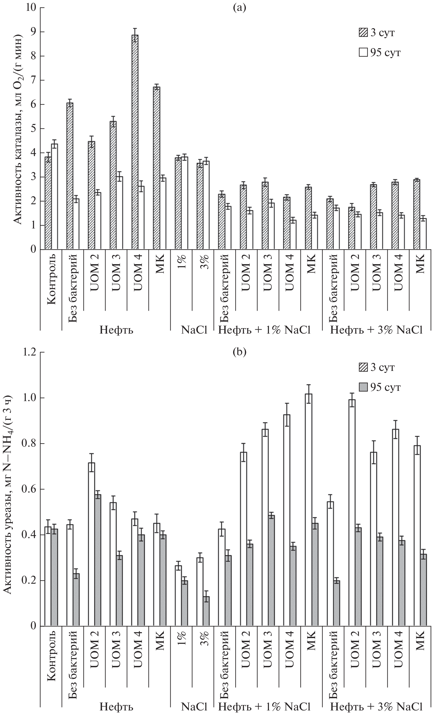
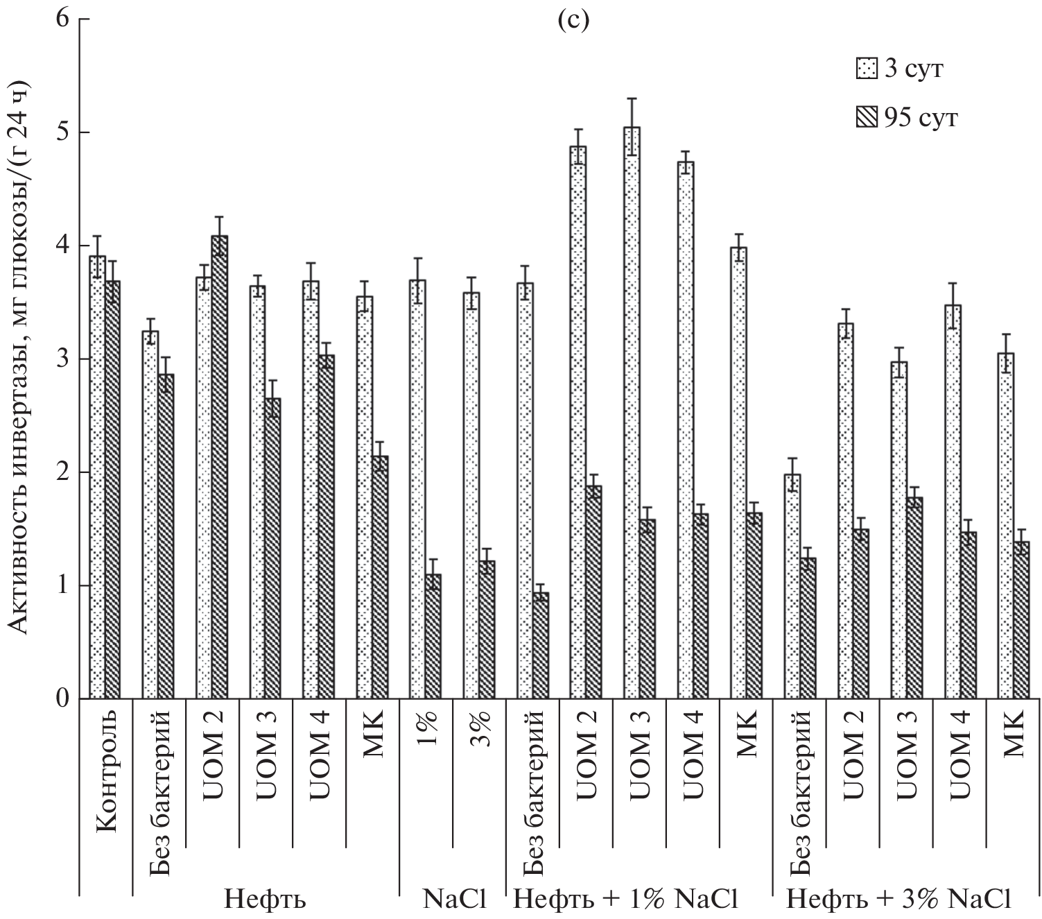
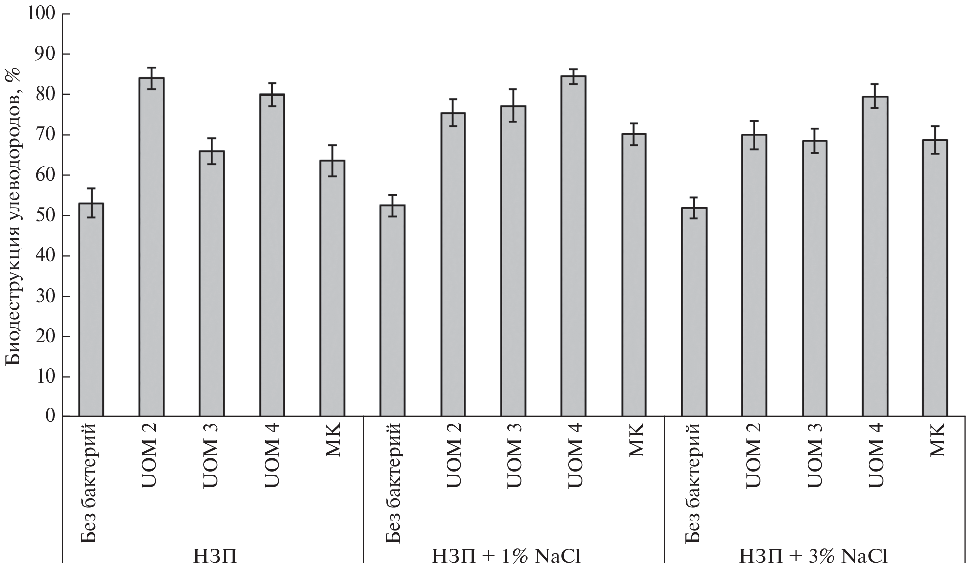
Soil contamination with oil is often accompanied by pollution by oilfield wastewater, which contains a significant amount of NaCl, which enhances the negative impact of hydrocarbons on soil, plants, and soil microbiota. Therefore, for the biotechnological purification of soils subjected to such combined pollution, hydrocarbon-oxidizing bacteria resistant to salinity should be used. In a model experiment, the effect of artificial pollution with oil (5%) and sodium chloride (1 and 3%) and their combinations, as well as bioremediation using halotolerant hydrocarbon-oxidizing bacteria on the biological activity of leached chernozem (Luvic Chernozem) was studied. Soil contamination with all types of pollution increased its phytotoxicity, while bacterization did not have a positive effect on this indicator in the presence of NaCl and with combined pollution, but contributed to a decrease in toxicity for plants of oil-containing soil. The most sensitive to the presence of oil and/or NaCl were actinomycetes, the number of which decreased by 1–2 orders of magnitude. The introduction of microorganisms increased the decomposition of hydrocarbons, including in complex polluted soil by 10.5–31.8%. In general, the presence of pollutants reduced the activity of soil enzymes. Bacterization contributed to some increase in the level of catalase in soil with oil, restored urease activity in oil-containing soil and under the combined action of pollutants, and increased invertase activity under combined pollution.
Keywords
About the authors
E. V. Kuzina
Ufa Institute of Biology of the Ufa Federal Research Center of the Russian Academy of Sciences
Email: korshunovaty@mail.ru
Russia, 450054, Ufa
G. F. Rafikova
Ufa Institute of Biology of the Ufa Federal Research Center of the Russian Academy of Sciences
Email: korshunovaty@mail.ru
Russia, 450054, Ufa
S. R. Mukhamatdyarova
Ufa Institute of Biology of the Ufa Federal Research Center of the Russian Academy of Sciences
Email: korshunovaty@mail.ru
Russia, 450054, Ufa
Yu. Yu. Sharipova
Ufa Institute of Biology of the Ufa Federal Research Center of the Russian Academy of Sciences
Email: korshunovaty@mail.ru
Russia, 450054, Ufa
T. Yu. Korshunova
Ufa Institute of Biology of the Ufa Federal Research Center of the Russian Academy of Sciences
Author for correspondence.
Email: korshunovaty@mail.ru
Russia, 450054, Ufa
References
- Белозерцева И.А. Интегральная оценка экологического состояния почвенного покрова при добыче газа в среднем Приангарье // Почвоведение. 2020. № 2. С. 244–258. https://doi.org/10.31857/S0032180X20020021
- Габбасова И.М., Сулейманов Р.Р. Трансформация серых лесных почв при техногенном засолении и осолонцевании и в процессе их рекультивации в нефтедобывающих районах Южного Приуралья // Почвоведение. 2007. № 9. С. 1120–1128.
- Габбасова И.М., Сулейманов Р.Р., Гарипов Т.Т. Деградация и мелиорация почв при загрязнении нефтепромысловыми сточными водами // Почвоведение. 2013. № 2. С. 226–233. https://doi.org/10.7868/S0032180X13020056
- Гилязов М.Ю., Гайсин И.А. Техногенный галогенез в районах нефтедобычи. М., 2009. 423 с.
- Еремченко О.З., Четина О.А., Лузина Е.В., Сыромятников К.И. Биоиндикация почв при высоком уровне загрязненности в условиях модельного опыта // Вестник Пермского университета. Сер. Биология. 2011. № 3–4. С. 56–59.
- Зенова Г.М., Закалюкина Ю.В., Селянин В.В., Звягинцев Д.Г. Выделение и рост почвенных ацидофильных актиномицетов рода Micromonospora // Почвоведение. 2004. № 7. С. 847‒852.
- Кабиров Р.Р., Киреева Н.А., Кабиров Т.Р., Дубовик И.Е., Якупова А.Б., Сафиуллина Л.М. Оценка биологической активности нефтезагрязненных почв с помощью интегрального показателя // Почвоведение. 2012. № 2. С. 184–188.
- Кайгородов Р.В., Попова Е.И. Хемоэкологические, физико-химические и биохимические свойства почв транспортной зоны урбанизированных экосистем // Вестник Пермского ун-та. Сер. Биология. 2017. № 3. С. 321–327. http://press.psu.ru/index.php/bio/article/view/1872
- Колесников С.И., Казеев К.Ш., Татосян М.Л., Вальков В.Ф. Влияние загрязнения нефтью и нефтепродуктами на биологическое состояние чернозема обыкновенного // Почвоведение. 2006. № 5. С. 616–620.
- Николаева О.В., Терехова В.А. Совершенствование лабораторного фитотестирования для экотоксикологической оценки почв // Почвоведение. 2017. № 9. С. 1141–1152. https://doi.org/10.7868/S0032180X17090052
- Новосeлова Е.И., Киреева Н.А. Ферментативная активность почв в условиях нефтяного загрязнения и ее биодиагностическое значение // Теоретическая и прикладная экология. 2009. № 2. С. 4–12.
- Овсянникова И.В., Пряничникова В.В., Пашкина К.В., Лебедь И.В., Сурина А.Г., Гизетдинов А.Н. Оценка фитотоксичности попутных нефтяных вод // Нефтегазовое дело. 2018. № 4. С. 141–145. https://doi.org/10.17122/ngdelo-2018-4-141-145
- Покатилова А.Н. Динамика буферности чернозема выщелоченного северной лесостепи Челябинской области при длительном орошении // Вестник Оренбургского гос. ун-та. 2017. № 12(212). С. 16–18.
- Поляк Ю.М., Сухаревич В.И. Почвенные ферменты и загрязнение почв: биодеградация, биоремедиация, биоиндикация // Агрохимия. 2020. № 3. С. 83–93. https://doi.org/10.31857/S0002188120010123
- Практикум по микробиологии / Под ред. А.И. Нетрусова. М.: Академия, 2005. 608 с.
- Руденко Е.Ю. Исследование влияния нефти на биологическую активность черноземной почвы // Известия вузов. Прикладная химия и биотехнология. 2020. Т. 10. № 4. С. 719–727. https://doi.org/10.21285/2227-2925-2020-10-4-719-727
- Сангаджиева Л.Х., Самтанова Д.Э. Химический состав пластовых вод и их влияние на загрязнение почвы // Геология, география и глобальная энергия. 2013. № 3(50). С. 168–178.
- Филатов Д.А., Иванов А.А., Сваровская Л.И., Юдина Н.В. Активация биохимических процессов в нефтезагрязненной почве с применением светокорректирующей пленки и гуминовых кислот // Почвоведение. 2011. № 2. С. 226–232.
- Хазиев Ф.Х. Методы почвенной энзимологии. М.: Наука, 2005. 252 с.
- Хазиев Ф.Х. Экологические связи ферментативной активности почв – Обзор // Экобиотех. 2018. № 2. С. 80–92. https://doi.org/10.31163/2618-964X-2018-1-2-80-92
- Четвериков С.П., Бакаева М.Д., Коршунова Т.Ю., Кузина Е.В., Рафикова Г.Ф., Четверикова Д.В., Высоцкая Л.Б., Логинов О.Н. Новый штамм Enterobacter sp. UOM 3 – деструктор нефти и продуцент индолилуксусной кислоты // Естественные и технические науки. 2019. № 7. С. 37–40. https://doi.org/10.25633/ETN.2019.07.13
- Alwan A., Hussein Kh., Jaddoa Kh. Effect of sodium chloride on response of two wheat cultivars (Triticum aestivum L.) at germination and early seedling // Int. J. Appl. Agricult. Sci. 2015. V. 1(3). P. 60–65. https://doi.org/10.11648/j.ijaas.20150103.13
- Amat D., Thakur J.K., Mandal A., Patra A.K., Reddy K.K.K. Microbial indicator of soil health: conventional to modern approaches // Rhizosphere microbes: soil and plant functions. V. 23. Microorganisms for sustainability. Springer Nature, Singapore, 2021. P. 213–233.
- Anderson C.R., Peterson M.E., Frampton R.A., Bulman S.R., Keenan S., Curtin D. Rapid increases in soil pH solubilise organic matter, dramatically increase denitrification potential and strongly stimulate microorganisms from the Firmicutes phylum // Peer. J. 2018. 6. V. e6090 https://doi.org/10.7717/peerj.6090
- Athar H., Ambreen S., Javed M., Hina M., Rasul S., Zafar Z.U., Manzoor H., Ogbaga C.C., Afzal M., Al-Qurainy F, Ashraf M. Influence of sub-lethal crude oil concentration on growth, water relations and photosynthetic capacity of maize (Zea mays L.) plants // Environ. Sci. Pollut. Res. Int. 2018. V. 23. P. 18320–18331. https://doi.org/10.1007/s11356-016-6976-7
- Atoufi D.H., Lampert D.J. Impacts of oil and gas production on contaminant levels in sediments // Curr. Pollut. Rep. 2020. V. 6. P. 43–53. https://www.x-mol.com/paperRedirect/1247933436069613568
- Bakaeva M., Kuzina E., Vysotskaya L., Kudoyarova G., Arkhipova T.Y., Rafikova G., Chetverikov S., Korshunova T., Chetverikova D., Loginov O. Capacity of Pseudomonas strains to degrade hydrocarbons, produce auxins and maintain plant growth under normal conditions and in the presence of petroleum contaminants // Plants. 2020. V. 9. Articale 379. https://doi.org/10.3390/plants9030379
- Baldan E., Basaglia M., Fontana F., Shapleigh J.P., Casella S. Development, assessment and evaluation of a biopile for hydrocarbons soil remediation // Int. Biodeter. Biodegrad. 2015. V. 98. P. 66–72. https://doi.org/10.1016/j.ibiod.2014.12.002
- Bao T., Zhao Y., Yang X., Ren W., Wang S. Effects of disturbance on soil microbial abundance in biological soil crusts on the Loess Plateau, China // J. Arid Environ. 2019. V. 163. P. 59–67. https://doi.org/10.1016/j.jaridenv.2019.01.003
- Børresen M.H., Rike A.G. Effects of nutrient content, moisture content and salinity on mineralization of hexadecane in an Arctic soil // Cold Reg. Sci. Technol. 2007. V. 48. P. 129–138. https://doi.org/10.1016/j.coldregions.2006.10.006
- Bünemann E.K., Bongiorno G., Bai Z., Creamer R.E., de Deyn G., de Goede R., Fleskens L., Geissen V., Kuyper T.W., Mäder. P, Pulleman M., Sukkel W., van Groenigen J.W., Brussaard L. Soil quality – A critical review // Soil Biol. Biochem. 2018. V. 120. P. 105–125. https://doi.org/10.1016/j.soilbio.2018.01.030
- Buzmakov S.A., Khotyanovskaya Y.V. Degradation and pollution of lands under the influence of oil resources exploitation // Appl. Geochem. 2020. V. 113. e104443. https://doi.org/10.1016/j.apgeochem.2019.104443
- Cai B., Ma J., Yan G., Dai X., Li M., Guo S. Comparison of phytoremediation, bioaugmentation and natural attenuation for remediating saline soil contaminated by heavy crude oil // Biochem. Eng. J. 2016. V. 112. P. 170–177. https://doi.org/10.1016/j.bej.2016.04.018
- Camacho-Montealegre C.M., Rodrigues E.M., Morais D.K., Tótola M.R. Prokaryotic community diversity during bioremediation of crude oil contaminated oilfield soil: effects of hydrocarbon concentration and salinity // Braz. J. Microbiol. 2021. V. 52(2). P. 787–800. https://doi.org/10.1007/s42770-021-00476-5
- Charpentier S., Bourrié G. Deformation of saturated clays under mechanical and osmotic stress and its relation with the arrangement of the clays // Eur. J. Soil Sci. 1997. V. 48. P. 49–57.
- Chen M., Xu P., Zeng G., Yang Ch., Huang D., Zhang J. Bioremediation of soils contaminated with polycyclic aromatic hydrocarbons, petroleum, pesticides, chlorophenols and heavy metals by composting: Applications, microbes and future research needs // Biotechnol. Adv. 2015. V. 33. P. 745–755. https://doi.org/10.1016/j.biotechadv.2015.05.003
- Datt N., Singh D. Enzymes in relation to soil biological properties and sustainability // Sustainable management of soil and environment. Springer Nature, Singapore, 2019. P. 383–406.
- Ebadi A., Khoshkholgh Sima N.A., Olamaee M., Hashemi M., Ghorbani Nasrabadi R. Remediation of saline soils contaminated with crude oil using the halophyte Salicornia persica in conjunction with hydrocarbon-degrading bacteria // J. Environ. Manage. 2018. V. 219. P. 260–268. https://doi.org/10.1016/j.jenvman.2018.04.115
- El Fels L., Zamama M., El Asli A., Hafidi M. Assessment of biotransformation of organic matter during co-composting of sewage sludge-lignocelullosic waste by chemical, FTIR analyses, and phytotoxicity tests // Int. Biodeter. Biodegrad. 2014. V. 87. P. 128–137. https://doi.org/10.1016/j.ibiod.2013.09.024
- Ergasheva Y., Egamberdieva D. Impact of salinity on enzyme activities in calcareous soils of Uzbekistan // J. Biol. Chem. Research. 2014. V. 31(2). P. 1072–1077.
- Gamzaeva R.S. Influence of oil pollution on the surface of the microbial community and catalase activity of sod – podzolic soil // IOP Conf. Ser.: Earth Environ. Sci. 2021. V. 723. P. 052023. https://doi.org/10.1088/1755-1315/723/5/052023
- Gao Y., Wang J., Guo S., Hu Y.-L., Li T., Mao R. Effects of salinization and crude oil contamination on soil bacterial community structure in the Yellow River Delta region, China // Appl. Soil Ecol. 2015. V. 86. P. 165–173. https://doi.org/10.1016/j.apsoil.2014.10.011
- Gospodarek J., Rusin M., Barczyk G., Nadgórska-Socha A. The effect of petroleum-derived substances and their bioremediation on soil enzymatic activity and soil invertebrates // Agronomy. 2021. V. 11. P. 80.https://doi.org/10.3390/agronomy11010080
- Haider F.U., Ejaz M., Cheema S.A., Khan M.I., Zhao B., Liqun C., Salim M.A., Naveed M., Khan N., Núñez-Delgado A. Phytotoxicity of petroleum hydrocarbons: Sources, impacts and remediation strategies // Environ. Res. 2021. V. 197. P. 111031.https://doi.org/10.1016/j.envres.2021.111031
- Hu J., Lin X., Wang J., Dai J., Chen R., Zhang J., Wong M.H. Microbial functional diversity, metabolic quotient, and invertase activity of a sandy loam soil as affected by long-term application of organic amendment and mineral fertilizer // J. Soil. Sediment. 2011. V. 11(2). P. 271–280. https://doi.org/10.1007/s11368-010-0308-1
- Huang X., He J., Wei H.-F., Zhao X.-Y., Liu Y., Ji Z.-X. Influence of Suaeda heteroptera – microorganisms – Nereis succinea on soil enzyme activities in oil-contaminated soil // Int. J. Environ. Analytical Chemistry. 2020. https://doi.org/10.1080/03067319.2020.1733542
- Kalami R., Pourbabaee A.-A. Investigating the potential of bioremediation in aged oil-polluted hypersaline soils in the south oilfields of Iran // Environ. Monit. Assess. 2021. V. 193(8). P. 517. https://doi.org/10.1007/s10661-021-09304-7
- Kolesnikov S.I., Myasnikova M.A., Minnikova T.V., Ter-Misakyants T.A., Kazeev R.S., Akimenko Y.V. Assessment of meadow soil resistance of the Azov sea region to pollution with heavy metals and oil // Ecol. Env. Cons. 2017. V. 23(4). P. 2346–2351.
- Minai-Tehrani D., Herfatmanesh A., Azari-Dehkordi F., Minuoi S. Effect of salinity on biodegradation of aliphatic fractions of crude oil in soil // Pakistan J. Biol. Sci. 2006. V. 9(8). P. 1531–1535. https://doi.org/10.3923/pjbs.2006.1531.1535
- Mishra S., Jyot J., Kuhad R.C., Lal B. In situ bioremediation potential of an oily sludge-degrading bacterial consortium // Curr. Microbiol. 2001. V. 43(5). P. 328–335.
- Neina D. The role of soil pH in plant nutrition and soil remediation // Appl. Environ. Soil Sci. 2019. P. 5794869. https://doi.org/10.1155/2019/5794869
- Olkova A.S., Tovstik E. Comparison of natural abiotic factors and pollution influence on the soil enzymative activity // Ecol. Engin. Environ. Technol. 2022. V. 23(1). P. 42–48. https://doi.org/10.12912/27197050/143003
- Ossai I.C., Ahmed A., Hassan A., Hamid F.S. Remediation of soil and water contaminated with petroleum hydrocarbon: a review // Environ. Technol. Innov. 2020. V. 17. P. 100526. https://doi.org/10.1016/j.eti.2019.100526
- Pawar R.M. The effect of soil pH on bioremediation of polycyclic aromatic hydrocarbons (PAHs) // Bioremed. Biodegrad. 2015. V. 6. Article 291. https://doi.org/10.4172/2155-6199.1000291
- Polyak Y.M., Bakina L.G., Chugunova M.V., Mayachkina N.V., Gerasimov A.O., Bure V.M. Effect of remediation strategies on biological activity of oil-contaminated soil – A field study // Int. Biodeterior. Biodegrad. 2018. V. 126. P. 57–68. https://doi.org/10.1016/j.ibiod.2017.10.004
- Qin X., Tang J.C., Li D.S., Zhang Q.M. Effect of salinity on the bioremediation of petroleum hydrocarbons in a saline-alkaline soil // Lett. Appl. Microbiol. 2012. V. 55. P. 210–217. https://doi.org/10.1111/j.1472-765x.2012.03280.x
- Raiesi F., Salek-Gilani S. The potential activity of soil extracellular enzymes as an indicator for ecological restoration of rangeland soils after agricultural abandonment // Appl. Soil Ecol. 2018. V. 126. P. 140–147. https://doi.org/10.1016/j.apsoil.2018.02.022
- Raymond R.L. Microbial oxidation of n-paraffinic hydrocarbons // Dev. Ind. Microbiol. 1961. V. 2. P. 23–32.
- Riffaldi R., Levi-Minzi R., Cardelli R., Palumbo S., Saviozzi A. Soil biological activities in monitoring the bioremediation of diesel oil-contaminated soil // Water Air Soil Pollut. 2006. V. 170. P. 3–15. https://doi.org/10.1007/s11270-006-6328-1
- Rodríguez-Uribe M.L., Peña-Cabriales J.J., Rivera-Cruz M. del C., Délano-Frier J.P. Native bacteria isolated from weathered petroleum oil-contaminated soils in Tabasco, Mexico, accelerate the degradation petroleum hydrocarbons in saline soil microcosms // Environ. Technol. Innov. 2021. V. 23. P. 101781. https://doi.org/10.1016/j.eti.2021.101781
- Sambuu G., Garetova L.A., Imranova E.L., Kirienko O.A., Fischer N.K., Gantumur K., Kharitonova G.V. Biogeochemical characteristics of soils in the Dzunbayan oil-producing area (Eastern Mongolia) // Biogeosystem Technique, 2019. V. 6(1). P. 46–58. https://doi.org/10.13187/bgt.2019.1.46
- Shulaev N.S., Pryanichnikova V.V., Kadyrov R.R., Bykovsky N.A., Damineva R.M., Ovsyannikova I.V. Phytotoxic properties of electrically-cleaned oil-contaminated soils (the use of Lepidium sativum L. biotest) // IOP Conf. Ser.: Mater. Sci. Eng. 2020. V. 862. ID 062021. https://doi.org/10.1088/1757-899X/862/6/062021
- Sivkov Y.V., Nikiforov A.S. Study of oil-contaminated soils phytotoxicity during bioremediation activities // J. Ecol. Engin. 2021. V. 22(3). P. 67–72. https://doi.org/10.12911/22998993/132435
- Sui X., Wang X., Li Y., Ji H. Remediation of petroleum-contaminated soils with microbial and microbial combined methods: advances, mechanisms, and challenges // Sustainability. 2021. V. 13. P. 9267. https://doi.org/10.3390/su13169267
- Wang C.-Y., Zhou X., Guo D., Zhao J.-H., Yan L., Feng G.-Z., Gao Q., Yu H., Zhao L.-P. Soil pH is the primary factor driving the distribution and function of microorganisms in farmland soils in northeastern China // Ann. Microbiol. 2019. V. 69. P. 1461–1473. https://doi.org/10.1007/s13213-019-01529-9
- Wolińska A., Kuźniar A., Szafranek-Nakonieczna A., Jastrzębska N., Roguska E., Stępniewska Z. Biological activity of autochthonic bacterial community in oil contaminated soil // Water Air Soil Pollution. 2016. V. 227. P. 130. https://doi.org/10.1007/s11270-016-2825-z
- Zvyagintseva I.S., Poglazova M.N., Gotoeva M.T., Belyaev S.S. Effect on the medium salinity on oil degradation by nocardioform bacteria // Mикpoбиoлoгия. 2001. T. 70. № 6. C. 759–754.
Supplementary files





