Температуропроводность торфо-песчаных смесей с разным соотношением торфа и песка
- Авторы: Архангельская Т.А.1, Телятникова Е.В.1
-
Учреждения:
- МГУ им. М.В. Ломоносова
- Выпуск: № 4 (2023)
- Страницы: 443-449
- Раздел: ФИЗИКА ПОЧВ
- URL: https://journal-vniispk.ru/0032-180X/article/view/138025
- DOI: https://doi.org/10.31857/S0032180X22601244
- EDN: https://elibrary.ru/HOJKQH
- ID: 138025
Цитировать
Полный текст
Аннотация
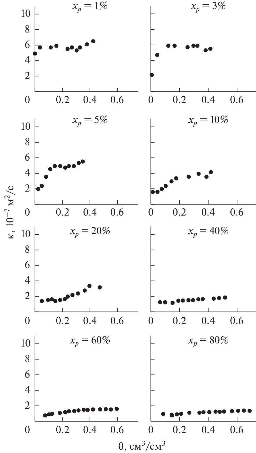
Исследована температуропроводность просеянного карьерного песка с преобладанием фракции 0.05–0.25 мм, низинного пакетированного торфа, а также их смесей. Песок смешивали с торфом в различных долевых соотношениях; содержание торфа в смесях составляло от 1 до 80% по сухой массе. Песком, торфом и их смесями набивали металлические цилиндры высотой 10 см и диаметром 3.8 см. Измерения температуропроводности проводили в лаборатории, используя метод регулярного режима с рабочим интервалом температур 20–26°С. Измеряли скорость нагревания набивных образцов после помещения в жидкостный термостат с постоянной температурой воды. Для каждого образца проводили серию измерений при пошаговом изменении влажности от максимальной после капиллярного насыщения до минимальной при воздушно-сухом состоянии. Зависимость температуропроводности от влажности для торфа оказалась почти линейной, для песка это была кривая с максимумом. Наиболее низкая температуропроводность получена для торфа и смесей с низким содержанием песка; наиболее высокая – для чистого песка. При изменении влажности в исследованном диапазоне температуропроводность разных образцов менялась в 1.3–2.8 раза. Выявлен нелинейный характер зависимости температуропроводности от содержания торфа в образцах. Небольшие добавки торфа к песку приводили к заметному снижению температуропроводности смеси; небольшие добавки песка к торфу практически не влияли на температуропроводность. Температуропроводность изученных субстратов увеличивалась с увеличением плотности образцов и содержания песка; уменьшалась с увеличением содержания органического вещества.
Ключевые слова
Об авторах
Т. А. Архангельская
МГУ им. М.В. Ломоносова
Автор, ответственный за переписку.
Email: arhangelskaia@gmail.com
Россия, 119991, Москва, Ленинские горы, 1
Е. В. Телятникова
МГУ им. М.В. Ломоносова
Email: arhangelskaia@gmail.com
Россия, 119991, Москва, Ленинские горы, 1
Список литературы
- Архангельская Т.А. Параметры зависимости температуропроводности минеральных почв от влажности для различных текстурных классов // Почвоведение. 2020. № 1. С. 44–55. https://doi.org/10.31857/S0032180X20010037
- Архангельская Т.А. Температуропроводность серых лесных почв Владимирского ополья // Почвоведение. 2004. № 3. С. 332–342.
- Архангельская Т.А., Губер А.К., Мазиров М.А., Прохоров М.В. Температурный режим комплексного почвенного покрова Владимирского ополья // Почвоведение. 2005. № 7. С. 832–843.
- Зайдельман Ф.Р., Батраков А.С., Шваров А.П. Изменение физических свойств осушенных торфяных почв после внесения песка разными способами // Почвоведение. 2005. № 2. С. 218–231.
- Зайдельман Ф.Р., Шваров А.П., Банников М.В., Павлова Е.Б. Влияние разных способов внесения песка в осушенные торфяные почвы на их гидротермический режим // Почвоведение. 1995. № 8. С. 969–976.
- Казакевич П.П. Мелиоративная вспашка торфяников и обоснование основных параметров двухъярусного плуга // Proc. of the National Acad. of Sci. of Belarus, agrarian series. 2019. V. 57(4). P. 470–480.
- Когут Б.М., Большаков В.А., Фрид А.С., Краснова Н.М., Бродский Е.С., Кулешов В.И. Аналитическое обеспечение мониторинга гумусового состояния почв. М.: Изд-во РАСХН, 1993. 73 с.
- Куликов Я.К., Гаевский Е.Е. Торфование и землевание почв как научное направление в биоорганическом земледелии // Экологическая культура и охрана окружающей среды. Мат-лы междунар. науч.-пр. конф. Витебск, 2013. С. 270–273.
- Сологуб Н.С. Торфование легких почв как способ защиты их от деградации // Актуальные проблемы экологии. Мат-лы VII междунар. науч.-пр. конф. Гродно, 2012. С. 162.
- Сусленкова М.М. Структурно-функциональная организация модельных конструктоземов разного строения в условиях г. Москвы. Дис. канд. … биол. наук. М., 2019. 147 с.
- Сусленкова М.М., Умарова А.Б., Бутылкина М.А. Микроструктура почв разного генезиса и ее трансформация в составе конструктоземов в условиях г. Москвы // Почвоведение. 2018. № 10. С. 1265–1273. https://doi.org/10.1134/S0032180X1810012X
- Теории и методы физики почв / Под ред. Шеина Е.В., Карпачевского Л.О. М.: Гриф и К, 2007. 616 с.
- Якобюк Л.И., Еремина Д.В., Еремин М.Д. Создание искусственного почвогрунта с использованием оптимизационной модели плодородия черноземных почв // АПК России. 2017. Т. 24. № 2. С. 360–365.
- Arkhangelskaya T.A., Gvozdkova A.A. Thermal diffusivity of peat-sand mixtures at different water contents // IOP Conf. Ser.: Earth Environ. Sci. 2019. V. 368. P. 012005. https://doi.org/10.1088/1755-1315/368/1/012005
- Parikh R.J., Havens J.A., Scott H.D. Thermal diffusivity and conductivity of moist porous media // Soil Sci. Soc. Am. J. 1979. V. 43. P. 1050–1052.
- Schumacher B.A. Methods for the determination of total organic carbon (toc) in soils and sediments. Las Vegas: Ecological Risk Assessment Support Center, 2002. 26 p.
- Walczak R., Rovdan E., Witkowska-Walczak B. Water retention characteristics of peat and sand mixtures // Int. Agrophys. 2002. V. 16. P. 161–165.
- Witkowska-Walczak B., Bieganowski A., Rovdan E. Water-air properties in peat, sand and their mixtures // Int. Agrophys. 2002. V. 16. P. 313–318.
- Zhao Y., Si B. Thermal properties of sandy and peat soils under unfrozen and frozen conditions // Soil Till. Res. 2019. V. 189. P. 64–72.
Дополнительные файлы








