Express Analysis of Vertical Distribution of 137Cs to Assess the Rates of Erosion and Accumulation Processes in the Zone of Intense Radioactive Contamination
- Autores: Ivanov M.M.1,2, Ivanova N.N.2
-
Afiliações:
- Institute of Geography of the Russian Academy of Sciences
- Lomonosov Moscow State University
- Edição: Nº 4 (2023)
- Páginas: 510-520
- Seção: ДЕГРАДАЦИЯ, ВОССТАНОВЛЕНИЕ И ОХРАНА ПОЧВ
- URL: https://journal-vniispk.ru/0032-180X/article/view/138030
- DOI: https://doi.org/10.31857/S0032180X22601104
- EDN: https://elibrary.ru/HNXFYF
- ID: 138030
Citar
Texto integral
Resumo
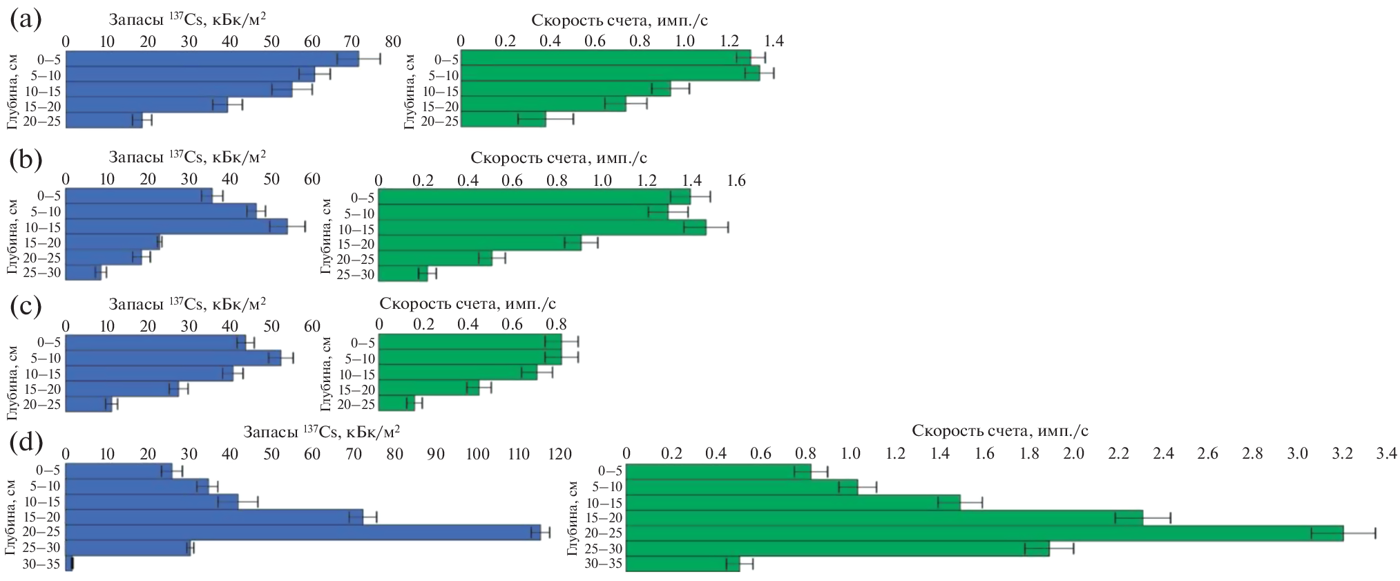
Field gamma-sensing under conditions of intense radioactive contamination has shown high productivity in studying the migration sediment associated pollutants via erosion and accumulation processes. The purpose of the presented work is to evaluate the applicability of compact gamma detectors without a collimator that narrows the area of gamma radiation registration to determine the vertical distribution of Chernobyl-derived 137Cs. Accum-ulative strata of sediments formed within the “Plavsk radioactive hot spot” in the southern part of the Tula region were chosen as the object of research. By comparing the obtained vertical distribution of the gamma quantum counting rate and the actual distribution of 137Cs deposits, the resulting distortions in the estimation of the relative vertical distribution of radionuclides in the soil were considered, limiting the applicability of the proposed measurement scheme. The main prospects for further application of the gamma-sensing technique of soil cover at relatively high concentrations of radionuclides in accumulated sediments were identified.
Palavras-chave
Sobre autores
M. Ivanov
Institute of Geography of the Russian Academy of Sciences; Lomonosov Moscow State University
Autor responsável pela correspondência
Email: ivanovm@bk.ru
Russia, 119017, Moscow; Russia, 119991, Moscow
N. Ivanova
Lomonosov Moscow State University
Email: ivanovm@bk.ru
Russia, 119991, Moscow
Bibliografia
- Атлас современных и прогнозных аспектов по следствий аварии на Чернобыльской АЭС на пострадавших территориях России и Белоруссии. М.–Минск: АСПА Россия–Беларусь, 2009. 139 с.
- Геннадиев А.Н., Голосов В.Н., Чернянский С.С., Маркелов М.В., Беляев В.Р., Иванова Н.Н., Ковач Р.Г. Сравнительная оценка содержания в почвах магнитных сферул, 137Cs и 210Pb для целей индикации эрозионно-аккумулятивных процессов // Почвоведение. 2006. № 10. С. 1218–1234.
- Голосов В.Н., Куксина Л.В., Иванов М.М., Фролова Н.Л., Иванова Н.Н., Беляев В.Р. Оценка перераспределения 137Cs в пойменных отложениях реки Упы (Тульская область) после аварии на Чернобыльской АЭС // Известия РАН. Сер. географическая. 2020. № 1. С. 67–79. https://doi.org/10.31857/S2587556620010082
- Иванов М.М., Гуринов А.Л., Иванова Н.Н., Коноплев А.В., Константинов Е.А., Кузьменкова Н.В., Терская Е.В., Голосов В.Н. Динамика накопления 137Cs в донных осадках Щекинского водохранилища за постчернобыльский период // Радиационная биология. Радиоэкология. 2019. Т. 59. № 6. С. 651–663.
- Иванова Н.Н., Голосов В.Н., Маркелов М.В. Сопоставление методов оценки интенсивности эрозионно-аккумулятивных процессов на обрабатываемых склонах // Почвоведение. 2000. № 7. С. 898–906.
- Иванова Н.Н., Шамшурина Е.Н., Голосов В.Н., Беляев В.Р., Маркелов М.В., Парамонова Т.А., Эврар О. Оценка перераспределения 137Cs экзогенными процессами в днище долины р. Плава (Тульская область) после аварии на Чернобыльской АЭС // Вестник Моск. ун-та. Сер. 5, география. 2014. № 1. С. 24–34.
- Ратников А.И. Геоморфологические и агропочвенные районы Тульской области // Почвенное районирование СССР. М.: Изд-во Моск. ун-та, 1960. С. 92–115.
- Филиппов Е.М. Гамма-гамма-каротаж с генератором гамма-квантов // Известия Томского политехнического ин-та. 1959. № 1 С. 87–95.
- Bertozzi W., Ellis D.V., Wahl J.S. The physical foundation of formation lithology logging with gamma rays // Geophysics. 1981. V. 46. № 10. P. 1439–1455.
- Chesnokov A.V., Govorun A.P., Fedin V.N., Ivanov O.P., Liksonov V.I., Potapov V.N., Shcherbak S.B., Smirnov S.V., Urutskoev L.I. Method and device to measure 137Cs soil contamination in-situ // Nuclear Instruments and Methods in Physics Research Section A: Accelerators, Spectrometers, Detectors and Associated Equipment. 1999. V. 420. № 1–2. P. 336–344. https://doi.org/10.1016/S0168-9002(98)00761-X
- Feng T.C., Jia M.Y., Feng Y.J. Method-sensitivity of in-situ γ spectrometry to determine the depth-distribution of anthropogenic radionuclides in soil // Nuclear Instruments and Methods in Physics Research Section A: Accelerators, Spectrometers, Detectors and Associated Equipment. 2012. V. 661. № 1. P. 26–30. https://doi.org/10.1016/j.nima.2011.09.014
- Fogh C.L., Andersson K.G., Roed J. In situ performance of the CORAD device measuring contamination levels and penetration ratio of 137Cs // Nuclear Instruments and Methods in Physics Research Section B: Beam Interactions with Materials and Atoms. 2000. V. 160. № 3. P. 408–414. https://doi.org/10.1016/S0168-583X(99)00611-4
- Gering F., Kiefer P., Fesenko S., Voigt G. In situ gamma-ray spectrometry in forests: determination of kerma rate in air from 137Cs // J. Environ. Radioactiv. 2002. V. 61. № 1. P. 75–89. https://doi.org/10.1016/S0265-931X(01)00116-3
- Golosov V.N. Special considerations for areas affected by Chernobyl fallout // Handbook for the assessment of soil erosion and sedimentation using environmental radionuclides. Dordrecht: Springer, 2002. P. 164–183.
- Ignatov S.M., Chirkin V.M., Potapov V.N., Ivanov O.P., Stepanov V.E., Meng L.J. Environmental monitoring using large-volume CsI (Tl) scintillation counters // 2001 IEEE Nuclear Science Symposium Conference Record (Cat. No. 01CH37310). 2001. V. 1. P. 380–384. https://doi.org/10.1109/NSSMIC.2001.1008481
- Ivanov M.M., Konoplev A.V., Walling D.E., Konstantinov E.A., Gurinov A.L., Ivanova N.N., Kuzmenkova N.V., Tsyplenkov A.S., Ivanov M.A., Golosov V.N. Using reservoir sediment deposits to determine the longer-term fate of chernobyl-derived 137Cs fallout in the fluvial system // Environ. Poll. 2021. V. 274. P. 116588. https://doi.org/10.1016/j.envpol.2021.116588
- Konoplev A.V., Ivanov M.M., Golosov V.N., Konstantinov E.A. Reconstruction of long-term dynamics of Chernobyl-derived 137Cs in the upa river using bottom sediments in the Scheckino reservoir and semi-empirical modelling // Proceedings IAHS “Land use and climate change impacts on erosion and sediment transport. 2019. V. 381. P. 95–99. https://doi.org/10.5194/piahs-381-95-2019
- Laedermann J.P., Byrde F., Murith C. In-situ gamma-ray spectrometry: the influence of topography on the accuracy of activity determination // J. Environ. Radioactiv. 1998. V. 38. № 1. P. 1–16. https://doi.org/10.1016/S0265-931X(97)00025-8
- Likar A., Omahen G., Vidmar T., Martincic R. Method to determine the depth of Cs-137 in soil from in-situ gamma-ray spectrometry // J. Phys. D: Appl. Phys. 2000. V. 33. № 21. P. 2825.
- Linnik V.G., Brown J.E., Dowdall M., Potapov V.N., Surkov V.V., Korobova E.M., Volosov A.G., Vakulovsky S.M., Tertyshnik E.G. Radioactive contamination of the Balchug (Upper Yenisey) floodplain, Russia in relation to sedimentation processes and geomorphology // Sci. Total Environ. 2005. V. 339. № 1–3. P. 233–251. https://doi.org/10.1016/j.scitotenv.2004.07.033
- Linnik V.G., Brown J.E., Dowdall M., Potapov V.N., Nosov A.V., Surkov V.V., Sokolov A.V., Wright S.M., Borghuis S. Patterns and inventories of radioactive contamination of island sites of the Yenisey River, Russia // J. Environ. Radioactiv. 2006. V. 87. № 2. P. 188–208. https://doi.org/10.1016/j.jenvrad.2005.11.011
- Martynenko V.P., Linnik V.G., Govorun A.P., Potapov V.N. Comparison of the Results of Field Radiometry and Sampling in the Investigation of 137Cs Soil Content in Bryansk Oblast // Atomic Energy. 2003. V. 95. № 4. P. 727–733. https://doi.org/10.1023/b:aten.0000010992.31484.3c
- Potapov V.N., Ivanov O.P., Chirkin V.M., Ignatov S.M. A dip detector for in situ measuring of Cs-137 specific soil activity profiles // IEEE Transactions on Nuclear Science. 2001. V. 48. № 4. P. 1194–1197. https://doi.org/10.1109/23.958749
- Potapov V.N., Danilovich A.S., Ignatov S.M., Volkovich A.G., Ivanov O.P., Stepanov V.E., Volkov V.G. Non-Destructive Measurements of the Characteristics of Radioactive Contamination of Near Surface Layers of Concrete and Ground with Collimated Spectrometric Detectors // Proceedings of the Waste Management Symposia. 2006.
- Povinec P.P., Osvath I., Baxter M.S. Underwater gamma-spectrometry with HPGe and NaI (Tl) detectors // Appl. Radiation Isotopes. 1996. V. 47. № 9–10. P. 1127–1133. https://doi.org/10.1016/S0969-8043(96)00118-2
- Slatt R.M., Jordan D.W., D’Agostino, A.E., Gillespie R.H. Outcrop gamma-ray logging to improve understanding of subsurface well log correlations // Geological Society. 1992. V. 65. № 1. P. 3–19. https://doi.org/10.1144/GSL.SP.1992.065.01.02
- Sowa W., Martini E., Gehrcke K., Marschner P., Naziry M.J. Uncertainties of in situ gamma spectrometry for environmental monitoring // Radiation Protection Dosimetry. 1989. V. 27. № 2. P. 93–101. https://doi.org/10.1093/oxfordjournals.rpd.a080450
- Stepanov A., Ivanov O., Potapov V., Stepanov V., Volkovich A., Semin I., Simirskii I. Development and Application of Collimated Spectrometric Systems for the Characterization of Radioactive Contamination of Decommissioned Facilities // WM2015 Conf. Proceedings-15030. Phoenix, 2015. P. 1–12.
- Tyler A.N. High accuracy in situ radiometric mapping // J. Environ. Radioactiv. 2004. V. 72. № 1–2. P. 195–202. https://doi.org/10.1016/S0265-931X(03)00202-9
- Varley A., Tyler A., Dowdall M., Bondar Y., Zabrotski V. An in situ method for the high resolution mapping of 137Cs and estimation of vertical depth penetration in a highly contaminated environment // Sci. Total Environ. 2017. V. 605. P. 957–966. https://doi.org/10.1016/j.scitotenv.2017.06.067
- Varley A., Tyler A., Bondar Y., Hosseini A., Zabrotski V., Dowdall M. Reconstructing the deposition environment and long-term fate of Chernobyl 137Cs at the floodplain scale through mobile gamma spectrometry // Environ. Poll. 2018. V. 240. P. 191–199. https://doi.org/10.1016/j.envpol.2018.04.112
- Vetrov V.A., Alexeenko V.A., Poslovin A.L., Chereminisov A.A., Nikitin A.A., Bovkun L.A. Radionuclide washout from natural catchments in the Dnieper River basin // J. Hydrology Meteorology. 1990. № 2. P. 120–123.
- Zombori P., Németh I., Andrási A., Lettner H. In-situ gamma-spectrometric measurement of the contamination in some selected settlements of Byelorussia (BSSR), Ukraine (UkrSSR) and the Russian Federation (RSFSR) // J. Environ. Radioactiv. 1992. V. 17. № 2–3. P. 97–106.
Arquivos suplementares







