Diversity of Bacteria Cultured from Arid Soils and Sedimentary Rocks under Conditions of Available Water Deficiency
- Authors: Cheptsov V.S.1,2, Belov A.A.1, Sotnikov I.V.3
- 
							Affiliations: 
							- Lomonosov Moscow State University
- Space Research Institute, Russian Academy of Sciences
- Severtsov Institute of Ecology and Evolution, Russian Academy of Sciences
 
- Issue: No 5 (2023)
- Pages: 525-535
- Section: ТАКСОНОМИЧЕСКОЕ И ФУНКЦИОНАЛЬНОЕ РАЗНООБРАЗИЕ ПОЧВЕННЫХ МИКРОБИОМОВ
- URL: https://journal-vniispk.ru/0032-180X/article/view/138062
- DOI: https://doi.org/10.31857/S0032180X22601372
- EDN: https://elibrary.ru/IFLUFI
- ID: 138062
Cite item
Full Text
Abstract
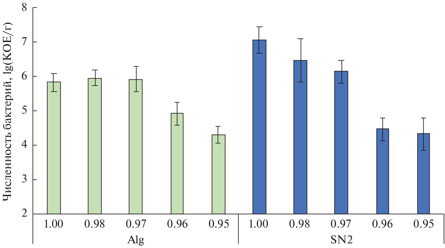
The diversity of bacteria cultured from the soil of the Negev desert (Israel, sample SN2) and the sedimentary rock of the Sahara Desert (Tunisia, sample Alg) has been studied. To assess the ability of bacteria to metabolize at different levels of moisture availability and to reveal bacterial diversity more fully, culturing was carried out on R2A medium with the addition of glycerol to establish a certain level of water activity (Aw) in range from 1.0 to 0.9 (with a step of 0.01 Aw). After incubation, unique morphotypes of cultured bacteria were isolated, described, identified by 16S rRNA sequencing, and tested for the ability to grow in the Aw gradient in pure cultures. After incubation and isolation, 355 strains were identified and tested. Culturable bacteria were found at Aw 0.95 and higher. With a decrease in Aw from 1 to 0.95, the number of cultured bacteria decreased from 105 and 107 CFU/g in samples SN2 and Alg, respectively, to 2 × 104 CFU/g in both studied samples. As a result of culturing, representatives of 34 genera of bacteria were isolated, mainly representatives of the phylum Actinobacteria; representatives of the genera Arthrobacter, Kocuria, and Pseudarthrobacter dominated. At this, 38 strains with low similarity of nucleotide sequences with databases and, probably, being representatives of previously undescribed species of the genera Agrococcus, Arthrobacter, Bacillus, Brachybacterium, Cellulomonas, Conyzicola, Kocuria, Microbacterium, Okibacterium, Rathayibacter, and Sphingomonas were revealed. Testing the strains for their ability to grow in pure culture in a gradient of Aw values revealed 18 strains of the genera Arthrobacter, Kocuria, Brachybacterium, Serratia, and Leucobacter capable of growing at Aw 0.91. The study confirms the data that desert soils and rocks are a depository of previously undescribed bacterial species and can also be a valuable source of biotechnologically promising strains.
About the authors
V. S. Cheptsov
Lomonosov Moscow State University; Space Research Institute, Russian Academy of Sciences
							Author for correspondence.
							Email: cheptcov.vladimir@gmail.com
				                					                																			                												                								Russia, 119991, Moscow; Russia, 117997, Moscow						
A. A. Belov
Lomonosov Moscow State University
														Email: cheptcov.vladimir@gmail.com
				                					                																			                												                								Russia, 119991, Moscow						
I. V. Sotnikov
Severtsov Institute of Ecology and Evolution, Russian Academy of Sciences
														Email: cheptcov.vladimir@gmail.com
				                					                																			                												                								Russia, 119071, Moscow						
References
- Белов А.А., Чепцов В.С., Лысак Л.В. Методы идентификации почвенных микроорганизмов. М.: МАКС Пресс, 2020. 196 с.
- Albdaiwi R.N., Khyami-Horani H., Ayad J.Y., Alananbeh K.M., Al-Sayaydeh R. Isolation and characterization of halotolerant plant growth promoting rhizobacteria from durum wheat (Triticum turgidum subsp. durum) cultivated in saline areas of the dead sea region // Front. Microbiol. 2019. V. 10. P 1639. https://doi.org/10.3389/fmicb.2019.01639
- Belov A.A., Cheptsov V.S., Vorobyova E.A. Soil bacterial communities of Sahara and Gibson deserts: Physiological and taxonomical characteristics // AIMS Microbiol. 2018. V. 4. № 4. P. 685. https://doi.org/10.3934/microbiol.2018.4.685
- Belov A.A., Cheptsov V.S., Vorobyova E.A., Manucharova N.A., Ezhelev Z.S. Stress-tolerance and taxonomy of culturable bacterial communities isolated from a central Mojave Desert soil sample // Geosciences. 2019. V. 9 № 4. P. 166. https://doi.org/10.3390/geosciences9040166
- Belov A.A., Cheptsov V.S., Manucharova N.A., Ezhelev Z.S. Bacterial communities of Novaya Zemlya archipelago ice and permafrost // Geosciences. 2020. V. 10. № 2. P. 67. https://doi.org/10.3390/geosciences10020067
- Bianchi M.A., Bianchi A.J. Statistical sampling of bacterial strains and its use in bacterial diversity measurement // Microb. Ecol. 1982. V. 8. № 1. P. 61–69. https://doi.org/10.1007/BF02011462
- Bose H., Satyanarayana T. Microbial carbonic anhydrases in biomimetic carbon sequestration for mitigating global warming: prospects and perspectives // Front. Microbiol. 2017. V. 8. P. 1615. https://doi.org/10.3389/fmicb.2017.01615
- Brown A. Microbial water stress // Bacteriol. Rev. 1976. V. 40. № 4. P. 803–846. https://doi.org/10.1128/br.40.4.803-846.1976
- Bull A.T. Actinobacteria of the extremobiosphere // Extremophiles Handbook / Ed. K. Horikoshi Springer, 2011. P. 1203–1240. https://doi.org/10.1007/978-4-431-53898-1
- Cervenka L., Vytrasova M., Jelinek D., Brezina P. Determination of minimum water activity values for the survival of bacteria in a culture medium // Bull. Food Res. 2002. V. 41. № 1. P. 59–68. https://agris.fao.org/agris-search/ search.do?recordID=SK2002000296
- Chanal A., Chapon V., Benzerara K., Barakat M., Christen R., Achouak W., Heulin T. The desert of Tataouine: an extreme environment that hosts a wide diversity of microorganisms and radiotolerant bacteria // Environ. Microbiol. 2006. V. 8. № 3. P. 514–525. https://doi.org/10.1111/j.1462-2920.2005.00921.x
- Chen M.S., Li F.N., Chen X.H., Yan X.R., Tuo L. Brachybacterium halotolerans sp. nov., a halotolerant, endophytic actinomycete isolated from branch of Bruguiera gymnoirhiza // Antonie van Leeuwenhoek. 2021. V. 114. № 6. P. 875–884. https://doi.org/10.1007/s10482-021-01565-z
- Cheptsov V.S., Vorobyova E.A., Manucharova N.A., Gorlenko M.V., Pavlov A.K., Vdovina M.A., Bulat S.A. 100 kGy gamma-affected microbial communities within the ancient Arctic permafrost under simulated Martian conditions // Extremophiles. 2017. V. 21. № 6. P. 1057–1067. https://doi.org/10.1007/s00792-017-0966-7
- Cheptsov V., Vorobyova E., Belov A., Pavlov A., Tsurkov D., Lomasov V., Bulat S. Survivability of soil and permafrost microbial communities after irradiation with accelerated electrons under simulated Martian and open space conditions // Geosciences. 2018. V. 8. № 8. P. 298. https://doi.org/10.3390/geosciences8080298
- Chun J., Oren A., Ventosa A., Christensen H., Arahal D.R., da Costa M.S., Trujillo M.E. Proposed minimal standards for the use of genome data for the taxonomy of prokaryotes // Int. J. Syst. Evol. Microbiol. 2018. V. 68. № 1. P. 461–466. https://doi.org/10.1099/ijsem.0.002516
- Cox M.M., Battista J.R. Deinococcus radiodurans – the consummate survivor // Nat. Rev. Microbiol. 2005. V. 3. № 11. P. 882–892. https://doi.org/10.1038/nrmicro1264
- Degré A., van der Ploeg M.J., Caldwell T., Gooren H.P. Comparison of soil water potential sensors: a drying experiment // Vadose Zone J. 2017. V. 16. № 4. P. 1–8. https://doi.org/10.2136/vzj2016.08.0067
- Dieser M., Greenwood M., Foreman C.M. Carotenoid pigmentation in Antarctic heterotrophic bacteria as a strategy to withstand environmental stresses // Arct. Antarct. Alp. Res. 2010. V. 42. № 4. P. 396–405. https://doi.org/10.1657/1938-4246-42.4.396
- Drees K.P., Neilson J.W., Betancourt J.L., Quade J., Henderson D.A., Pryor B.M., Maier R.M. Bacterial community structure in the hyperarid core of the Atacama Desert, Chile // Appl. Environ. Microbiol. 2006. V. 72. № 12. P. 7902–7908. https://doi.org/10.1128/AEM.01305-06
- El-Registan G.I., Mulyukin A.L., Nikolaev Y.A., Suzina N.E., Gal’chenko V.F., Duda V.I. Adaptogenic functions of extracellular autoregulators of microorganisms // Microbiology. 2006. V. 75. № 4. P. 380–389. https://doi.org/10.1134/S0026261706040035
- Fontana Jr A.J. D Minimum Water Activity Limits for Growth of Microorganisms. // Water Activity in Foods. 2020. V. 406. P. 571–572. https://doi.org/10.1002/9781118765982
- Goodfellow M., Nouioui I., Sanderson R., Xie F., Bull A.T. Rare taxa and dark microbial matter: novel bioactive actinobacteria abound in Atacama Desert soils // Antonie van Leeuwenhoek. 2018. V. 111. № 8. P. 1315–1332. https://doi.org/10.1007/s10482-018-1088-7
- Grant W.D. Life at low water activity // Philosophical Transactions of the Royal Society of London. Series B: Biological Sciences. 2004. V. 359. № 1448. P. 1249–1267. https://doi.org/10.1098/rstb.2004.1502
- Gunde-Cimerman N., Plemenitaš A., Oren A. Strategies of adaptation of microorganisms of the three domains of life to high salt concentrations // FEMS Microbiol. Rev. 2018. V. 42. № 3. P. 353–375. https://doi.org/10.1093/femsre/fuy009
- Huang W., Ertekin E., Wang T., Cruz L., Dailey M., DiRuggiero J., Kisailus D. Mechanism of water extraction from gypsum rock by desert colonizing microorganisms // Proc. Natl. Acad. Sci. U.S.A. 2020. V. 117. № 20. P. 10681–10687. https://doi.org/10.1073/pnas.2001613117
- Ishii N., Fuma S., Tagami K., Honma–Takeda S., Shikano S. Responses of the bacterial community to chronic gamma radiation in a rice paddy ecosystem // Int. J. Radiat. Biol. 2011. V. 87. № 7. P. 663–672. https://doi.org/10.3109/09553002.2010.549534
- Karan R., Capes M.D., DasSarma S. Function and biotechnology of extremophilic enzymes in low water activity // Aquat. Biosyst. 2012. V. 8. № 1. P. 1–15. https://doi.org/10.1186/2046-9063-8-4
- Köberl M., Müller H., Ramadan E.M., Berg G. Desert farming benefits from microbial potential in arid soils and promotes diversity and plant health // PLoS One. 2011. V. 6. № 9. P. e24452. https://doi.org/10.1371/journal.pone.0024452
- Lester E.D., Satomi M., Ponce A. Microflora of extreme arid Atacama Desert soils // Soil Biol. Biochem. 2007. V. 39. № 2. P. 704–708. https://doi.org/10.1016/j.soilbio.2006.09.020
- Margesin R., Collins T. Microbial ecology of the cryosphere (glacial and permafrost habitats): current knowledge // Appl. Microbiol. Biotechnol. 2019. V. 103. № 6. P. 2537–2549. https://doi.org/10.1007/s00253-019-09631-3
- McKnight D.T., Huerlimann R., Bower D.S., Schwarzkopf L., Alford R.A., Zenger K.R. Methods for normalizing microbiome data: an ecological perspective // Methods Ecol. Evol. 2019. V. 10. № 3. P. 389–400. https://doi.org/10.1111/2041-210X.13115
- Mohammadipanah F., Wink J. Actinobacteria from arid and desert habitats: diversity and biological activity // Front. Microbiol. 2016. V. 6. P. 1541. https://doi.org/10.3389/fmicb.2015.01541
- Molina-Menor E., Gimeno-Valero H., Pascual J., Peretó J., Porcar M. High culturable bacterial diversity from a European desert: The Tabernas desert // Front. Microbiol. 2021. V. 11. P. 583120. https://doi.org/10.3389/fmicb.2020.583120
- Moyano F.E., Manzoni S., Chenu C. Responses of soil heterotrophic respiration to moisture availability: An exploration of processes and models // Soil Biol. Biochem. 2013. V. 59. 72–85. https://doi.org/10.1016/j.soilbio.2013.01.002
- Musilova M., Wright G., Ward J.M., Dartnell L.R. Isolation of radiation-resistant bacteria from Mars analog Antarctic Dry Valleys by preselection, and the correlation between radiation and desiccation resistance // Astrobiology. 2015. V. 15. № 12. P. 1076–1090. https://doi.org/10.1089/ast.2014.1278
- Nafis A., Raklami A., Bechtaoui N., El Khalloufi F., El Alaoui A., Glick B.R., Hassani L. Actinobacteria from extreme niches in morocco and their plant growth-promoting potentials // Diversity. 2019. V. 11. № 8. P. 139. https://doi.org/10.3390/d11080139
- Narváez–Reinaldo J.J., Barba I., González–López J., Tunnacliffe A., Manzanera M. Rapid method for isolation of desiccation-tolerant strains and xeroprotectants // Appl. Environ. Microbiol. 2010. V. 76. № 15. P. 5254–5262. https://doi.org/10.1128/AEM.00855-10
- Nithya K., Muthukumar C., Biswas B., Alharbi N.S., Kadaikunnan S., Khaled J.M., Dhanasekaran D. Desert actinobacteria as a source of bioactive compounds production with a special emphases on Pyridine-2, 5-diacetamide a new pyridine alkaloid produced by Streptomyces sp. DA3-7 // Microbiol. Res. 2018. V. 207. P. 116–133. https://doi.org/10.1016/j.micres.2017.11.012
- Okoro C.K., Brown R., Jones A.L., Andrews B.A., Asenjo J.A., Goodfellow M., Bull A.T. Diversity of culturable actinomycetes in hyper-arid soils of the Atacama Desert, Chile // Antonie Van Leeuwenhoek. 2009. V. 95. № 2. P. 121–133. https://doi.org/10.1007/s10482-008-9295-2
- Oren A., Garrity G.M. Notification that new names of prokaryotes, new combinations, and new taxonomic opinions have appeared in volume 71, part 10 of the IJSEM // Int. J. Syst. Evol. Microbiol. 2022. V. 72. № 1. P. 005165. https://doi.org/10.1099/ijsem.0.001620
- Osman S., Peeters Z., La Duc M.T., Mancinelli R., Ehrenfreund P., Venkateswaran K. Effect of shadowing on survival of bacteria under conditions simulating the Martian atmosphere and UV radiation // Appl. Environ. Microbiol. 2008. V. 74. № 4. P. 959–970. https://doi.org/10.1128/AEM.01973-07
- Pascual I., Antolín M.C., García C., Polo A., Sánchez–Díaz M. Effect of water deficit on microbial characteristics in soil amended with sewage sludge or inorganic fertilizer under laboratory conditions // Bioresour. Technol. 2007. V. 98. № 1. P. 29–37. https://doi.org/10.1016/j.biortech.2005.11.026
- Patel S., Jinal H.N., Amaresan N. Isolation and characterization of drought resistance bacteria for plant growth promoting properties and their effect on chilli (Capsicum annuum) seedling under salt stress // Biocatal. Agric. Biotechnol. 2017. V. 12. P. 85–89. https://doi.org/10.1016/j.bcab.2017.09.002
- Ramakrishna W., Rathore P., Kumari R., Yadav R. Brown gold of marginal soil: Plant growth promoting bacteria to overcome plant abiotic stress for agriculture, biofuels and carbon sequestration // Sci. Total Environ. 2020. V. 711. P. 135062. https://doi.org/10.1016/j.scitotenv.2019.135062
- Reasoner D.J., Geldreich E.E. A new medium for the enumeration and subculture of bacteria from potable water // Appl. Environ. Microbiol. 1985. V. 49. № 1. P. 1–7. https://doi.org/10.1128/aem.49.1.1-7.1985
- Rebelo Romão I., Rodrigues dos Santos A.S., Velasco L., Martínez–Ferri E., Vilchez J.I., Manzanera M. Seed-Encapsulation of Desiccation-Tolerant Microorganisms for the Protection of Maize from Drought: Phenotyping Effects of a New Dry Bioformulation // Plants. 2022. V. 11. № 8. P. 1024. https://doi.org/10.3390/plants11081024
- Rietz D.N., Haynes R.J. Effects of irrigation-induced salinity and sodicity on soil microbial activity // Soil Biol. Biochem. 2003. V. 35. № 6. P. 845–854. https://doi.org/10.1016/S0038-0717(03)00125-1
- Siebielec S., Siebielec G., Klimkowicz–Pawlas A., Gałązka A., Grządziel J., Stuczyński T. Impact of water stress on microbial community and activity in sandy and loamy soils // Agronomy. 2020. V. 10. № 9. P. 1429. https://doi.org/10.3390/agronomy10091429
- Stanaszek–Tomal E. Environmental factors causing the development of microorganisms on the surfaces of national cultural monuments made of mineral building materials // Coatings. 2020. V. 10. № 12. P. 1203. https://doi.org/10.3390/coatings10121203
- Stevenson A., Burkhardt J., Cockell C.S., Cray J.A., Dijksterhuis J., Fox-Powell M., Hallsworth J.E. Multiplication of microbes below 0.690 water activity: implications for terrestrial and extraterrestrial life // Environ. Microbiol. 2015. V. 17. № 2. P. 257–277. https://doi.org/10.1111/1462-2920.12598
- Stevenson A., Hallsworth J.E. Water and temperature relations of soil Actinobacteria // Environ. Microbiol. Rep. 2014. V. 6. № 6. P. 744–755. https://doi.org/10.1111/1758-2229.12199
- Stevenson A., Hamill P.G., O’Kane C.J., Kminek G., Rummel J.D., Voytek M.A., Hallsworth J.E. Aspergillus penicillioides differentiation and cell division at 0.585 water activity // Environ. Microbiol. 2017. V. 19. № 2. P. 687–697. https://doi.org/10.1111/1462-2920.13597
- Sun Y., Shi Y.L., Wang H., Zhang T., Yu L.Y., Sun H., Zhang Y.Q. Diversity of bacteria and the characteristics of actinobacteria community structure in Badain Jaran Desert and Tengger Desert of China // Front. Microbiol. 2018. V. 9. P. 1068. https://doi.org/10.3389/fmicb.2018.01068
- Warren–Rhodes K.A., Lee K.C., Archer S.D., Cabrol N., Ng-Boyle L., Wettergreen D., Pointing S.B. Subsurface microbial habitats in an extreme desert Mars-analog environment // Front. Microbiol. 2019. V. 69. P. 1–11. https://doi.org/10.3389/fmicb.2019.00069
- Wassmann M., Moeller R., Reitz G., Rettberg P. Adaptation of Bacillus subtilis cells to Archean-like UV climate: relevant hints of microbial evolution to remarkably increased radiation resistance // Astrobiology. 2010. V. 10. № 6. P. 605–615. https://doi.org/10.1089/ast.2009.0455
- Williams J.P., Hallsworth J.E. Limits of life in hostile environments: no barriers to biosphere function? // Environ. Microbiol. 2009. V. 11. № 12. P. 3292–3308. https://doi.org/10.1111/j.1462-2920.2009.02079.x
- Winston P.W., Bates D.H. Saturated solutions for the control of humidity in biological research // Ecology. 1960. V. 41. № 1. P. 232–237. https://doi.org/10.2307/1931961
- Wright P.C., Tanaka T. Physiological modelling of the response of Kocuria rosea exposed to changing water activity // Biotechnol. Lett. 2002. V. 24. № 8. P. 603–609.
- Zenova G.M., Manucharova N.A., Zvyagintsev D.G. Extremophilic and extremotolerant actinomycetes in different soil types // Eurasian Soil Sci. 2011. V. 44. № 4. P. 417–436. https://doi.org/10.1134/S1064229311040132
- Zvyagintsev D.G., Zenova G.M., Sudnitsyn I.I., Gracheva T.A., Lapygina E.V., Napol’skaya K.R., Sydnitsyna A.E. Development of actinomycetes in brown semidesert soil under low water pressure // Eurasian Soil Sci. 2012. V. 45. № 7. P. 717–723. https://doi.org/10.1134/S1064229312030155
- Zvyagintsev D.G., Zenova G.M., Sudnitsyn I.I., Gracheva T.A., Napol’skaya K.R., Belousova M.A. Dynamics of spore germination and mycelial growth of streptomycetes under low humidity conditions // Microbiology. 2009. V. 78. № 4. P. 440–444. https://doi.org/10.1134/S0026261709040079
Supplementary files
 
				
			 
					 
						 
						 
						 
						 
				
 
  
  
  Email this article
			Email this article 




