Glyphosate Effects on Some Characteristics of Biological Activity and Phytotoxicity of Sod-Podzolic Soil in a Short-Term Model Experiment
- Authors: Kostina N.V.1, Gorlenko M.V.1, Mazurov K.A.1, Filippova O.I.1, Plyushchenko I.V.1, Rodin I.A.1, Kulikova N.A.1,2
-
Affiliations:
- Lomonosov Moscow State University
- Federal Research Center “Fundamentals of Biotechnology”, Bakh Institute of Biochemistry, Russian Academy of Sciences
- Issue: No 5 (2023)
- Pages: 613-625
- Section: СЕЛЬСКОХОЗЯЙСТВЕННАЯ МИКРОБИОЛОГИЯ
- URL: https://journal-vniispk.ru/0032-180X/article/view/138083
- DOI: https://doi.org/10.31857/S0032180X22601293
- EDN: https://elibrary.ru/IEVLQD
- ID: 138083
Cite item
Full Text
Abstract
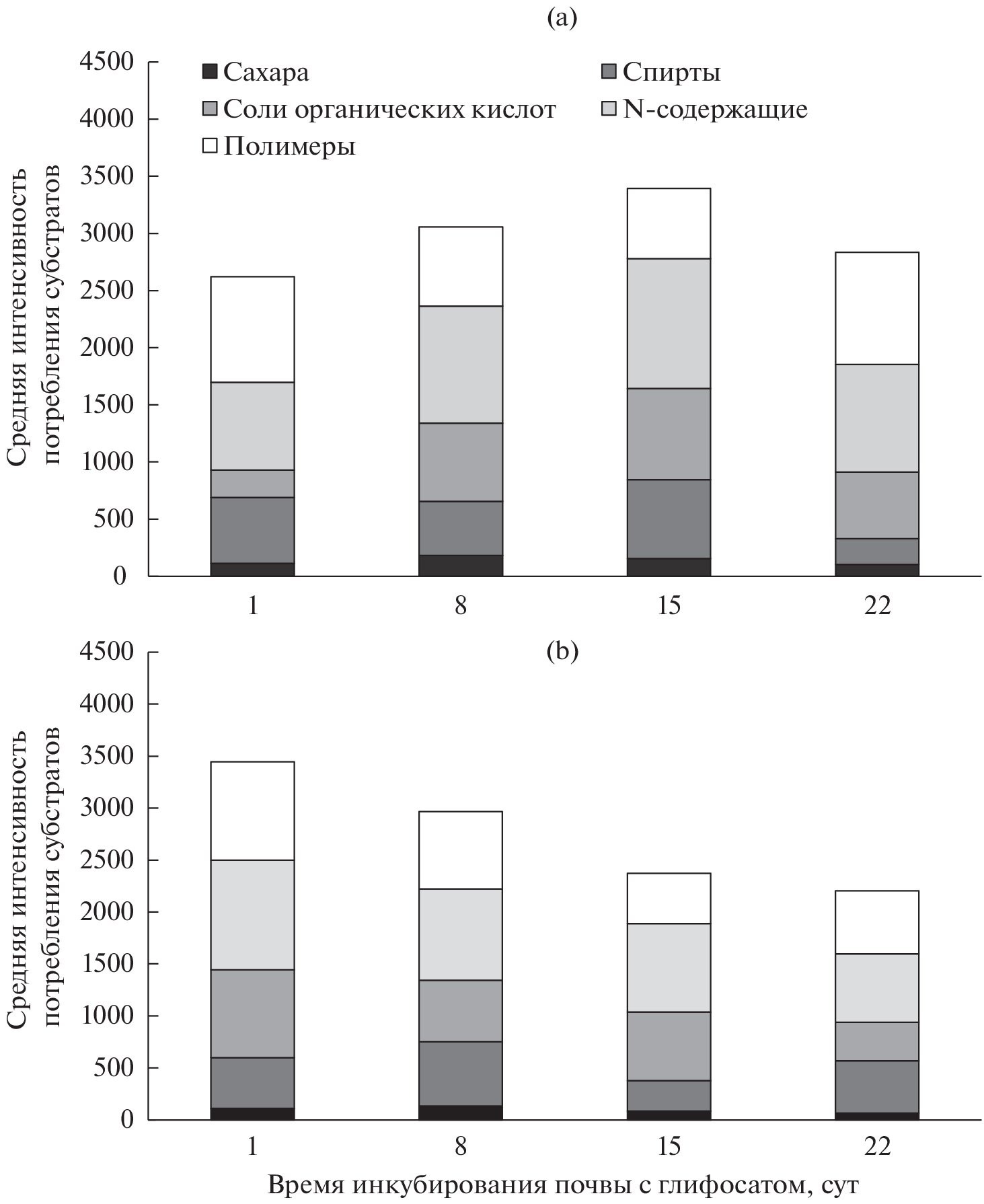
In a model laboratory experiment on infertile arable soil with low biological activity, it was found that the introduction of glyphosate leads to a short-term change in the intensity of the main processes of microbial transformation of nitrogen in the soil. When incubating soil with glyphosate at the maximum recommended dose of 8 l/ha for 22 days, there is an increase in nitrogen-fixing and denitrifying activity by 30–80% and 300% and a decrease in the nitrification process by 20–40%. The effects are of a short-term nature and do not reflect the entire complex of ongoing microbiological processes: no effect of glyphosate was detected on the emission of CO2, which is an integral indicator of biological activity. At the end of incubation in the soil with the introduced glyphosate, there was an increase in the number of bacteria by 40% and a decrease in the number of micromycetes by 70%. In general, under the selected conditions, the introduction of glyphosate led to a marked deterioration in the biological activity of the soil. By the method of multisubstrate testing, it was shown that under the action of the herbicide there is an increase in the value of the coefficient of rank diversity of the consumption spectra of substrates d, accompanied by a decrease in the specific metabolic work W and the integral vitality index G. It was shown for the first time that when glyphosate is introduced into soil with low biological activity and availability of phosphorus and the herbicide is degraded along the sarcosine pathway with a break in the C–P bond, excluding the formation of toxic metabolites, there is a pronounced negative effect of glyphosate on soil microorganisms, which leads to inhibition of wheat plant growth.
Keywords
About the authors
N. V. Kostina
Lomonosov Moscow State University
Author for correspondence.
Email: nvkostina@mail.ru
Russia, 119991, Moscow
M. V. Gorlenko
Lomonosov Moscow State University
Email: nvkostina@mail.ru
Russia, 119991, Moscow
K. A. Mazurov
Lomonosov Moscow State University
Email: nvkostina@mail.ru
Russia, 119991, Moscow
O. I. Filippova
Lomonosov Moscow State University
Email: nvkostina@mail.ru
Russia, 119991, Moscow
I. V. Plyushchenko
Lomonosov Moscow State University
Email: nvkostina@mail.ru
Russia, 119991, Moscow
I. A. Rodin
Lomonosov Moscow State University
Email: nvkostina@mail.ru
Russia, 119991, Moscow
N. A. Kulikova
Lomonosov Moscow State University; Federal Research Center “Fundamentals of Biotechnology”, Bakh Institute of Biochemistry, Russian Academy of Sciences
Email: nvkostina@mail.ru
Russia, 119991, Moscow; Russia, 119071, Moscow
References
- Аринушкина Е.В. Руководство по химическому анализу почв. М.: Изд-во Моск. ун-та, 1970. 488 с.
- Горленко М.В., Якименко О.С., Голиченков М.В., Костина Н.В. Функциональное биоразнообразие почвенных микробных сообществ при внесении органических субстратов различной природы // Вестник Моск. ун-та. Сер. 17, почвоведение. 2012. № 2. С. 20–27.
- Железова А.Д., Манучарова Н.А., Горленко М.В. Структурные и функциональные характеристики прокариотного комплекса дерново-подзолистой почвы под воздействием гербицида глифосата // Вестник Моск. ун-та. Сер. 17, почвоведение. 2018. № 2. С. 48–54.
- Методика выполнения измерений интенсивности потребления тест-субстратов микробными сообществами почв и почвоподобных объектов фотометрическим методом: ФР.1.37.2010.08619; ПНД ФТ 16.1.17-10. М., 2010.
- Методы почвенной микробиологии и биохимии / Под ред. Звягинцева Д.Г. М.: Изд-во Моск. ун-та, 1991. 303 с.
- Свиридов А.В., Шушкова Т.В., Ермакова И.Т., Иванова Е.В., Эпиктетов Д.О., Леонтьевский А.А. Микробная деградация гербицида глифосата (обзор) // Прикладная биохимия и микробиология. 2015. № 2. С. 183–190. https://doi.org/10.7868/S0555109915020221
- Степанов А.Л., Лысак Л.В. Методы газовой хроматографии в почвенной микробиологии. М.: МАКС Пресс, 2002. 88 с.
- Умаров М.М., Кураков А.В., Степанов А.Л. Микробиологическая трансформация азота в почве. М.: ГЕОС, 2007. 138 с.
- Филиппова О.И., Куликова Н.А., Бычкова Я.С., Воликов А.Б., Перминова И.В. Замедленное высвобождение азота из гуминовых веществ, модифицированных аминоорганосиланами // Проблемы агрохимии и экологии. 2015. № 1. С. 42–47.
- Южанинова Л.А. Глифосат: применение на российском и глобальном рынках // Agroxxi.ru: агропромышленный портал. М., 1995–2022. https://www.agroxxi.ru/gazeta-zaschita-rastenii/zrast/glifosat-primenenie-na-rossiiskom-i-globalnom-rynkah.html (дата обращения: 27.07.2022).
- Adero V.O., Raju N.S., Supreeth M. Effect of glyphosate herbicide on nitrogen fixing bacteria – Azotobacter species // J. Environ. Chem. Toxicol. 2020. V. 4. № 2. P. 1–7.
- Aristilde L., Reed M.L., Wilkes R.A., Youngster T., Kukurugya M.A., Katz V., Sasaki C.R.S. Glyphosate-induced specific and widespread perturbations in the metabolome of soil Pseudomonas species // Frontiers Environ. Sci. 2017. V. 5. 34. https://doi.org/10.3389/fenvs.2017.00034
- Atherton F.R., Hall M.J., Hassall C.H., Lambert R.W., Lloyd W.J., Ringrose P.S., Westmacott D. Antibacterial activity and mechanism of action of phosphonopeptides based on aminomethylphosphonic acid // Antimicrobial Agents and Chemotherapy. 1982. V. 22. P. 571–578.
- Borggaard O.K., Gimsing L. Fate of glyphosate in soil and the possibility of leaching to ground and surface waters: a review // Pest Management Sci. 2008. V. 64. P. 441–456. https://doi.org/10.1002/ps.1512
- Bott S., Tesfamariam T., Kania A., Eman B., Aslan N., Römheld V., Neumann G. Phytotoxicity of glyphosate soil residues re-mobilised by phosphate fertilization // Plant and Soil. 2011. V. 342. P. 249–263. https://doi.org/10.1007/s11104-010-0689-3
- Carlisle S.M., Trevors J.T. Effect of the herbicide glyphosate on nitrification, denitrification, and acetylene reduction in soil // Water, Air Soil Poll. 1986. V. 29. P. 189–203. https://doi.org/10.1007/BF00208408
- Chen M.X., Cao Z.Y., Jiang Y., Zhu Z.W. Direct determination of glyphosate and its major metabolite, aminomethylphosphonic acid, in fruits and vegetables by mixed-mode hydrophilic interaction/weak anion-exchange liquid chromatography coupled with electrospray tandem mass spectrometry // J. Chromatography A. 2013. V. 1272. P. 90–99.
- Cherni A.E., Trabelsi D., Chebil S., Barhoumi F., Rodríguez-Llorente I.D., Zribi K. Effect of glyphosate on enzymatic activities, Rhizobiaceae and total bacterial communities in an agricultural Tunisian soil // Water, Air Soil Poll. 2015. V. 226. 145. https://doi.org/10.1007/s11270-014-2263-8
- Dick R.E., Quinn J.P. Glyphosate-degrading isolates from environmental samples: occurrence and pathways of degradation // Appl. Microbiol Biotechnol. 1995. V. 43. P. 545–550. https://doi.org/10.1007/BF00218464
- Druart C., Delhomme O., de Vaufleury A., Ntcho E., Millet M. Optimization of extraction procedure and chromatographic separation of glyphosate, glufosinate and aminomethylphosphonic acid in soil // Analyt. Bioanalyt. Chem. 2011. V. 399. P. 1725–1732. https://doi.org/10.1007/s00216-010-4468-z
- Fuchs B., Laihonen M., Muola A., Saikkonen K., Dobrev P.I., Vankova R., Helander M.A. Glyphosate-based herbicide in soil differentially affects hormonal homeostasis and performance of non-target crop plants // Frontiers Plant Sci. 2022. V. 12. P. 787958. https://doi.org/10.3389/fpls.2021.787958
- Gomes M.P., Smedbol E., Chalifour A., Hénault-Ethier L., Labrecque M., Lepage L., Lucotte M., Juneau Ph. Alteration of plant physiology by glyphosate and its by-product aminomethylphosphonic acid: an overview // J. Experimental Botany. 2014. V. 65. P. 4691–4703. https://doi.org/10.1093/jxb/eru269
- Helander M., Pauna A., Saikkonen K., Saloniemi I. Glyphosate residues in soil affect crop plant germination and growth // Sci. Report. 2019. V. 9. P. 19653. https://doi.org/10.1038/s41598-019-56195-3
- Helander M., Saloniemi I., Saikkonen K. Glyphosate in northern ecosystems // Trends Plant Sci. 2012. V. 17. P. 569–574.
- ISO 10694:1995 Soil quality – Determination of organic and total carbon after dry combustion (elementary analysis).
- Jenkins M.B., Locke M.A., Reddy K.N., McChesney D.S., Steinriede R.W. Impact of glyphosate-resistant corn, glyphosate applications and tillage on soil nutrient ratios, exoenzyme activities and nutrient acquisition ratios // Pest Management Sci. 2017. V. 73. P. 78–86.
- Kulikova N.A., Philippova O.I., Bychkova Y.S., Volikov A.B., Perminova I.V. Nitrogen release from natural and aminoorganosilane-modified humic substances // Functions of Natural Organic Matter in Changing Environment. Dordrecht: Springer, 2013. https://doi.org/10.1007/978-94-007-5634-2_84
- Kyaw K.M., Toyota K. Suppression of nitrous oxide production by the herbicides glyphosate and propanil in soils supplied with organic matter // Soil Sci. Plant Nutrition. 2007. V. 53. P. 441–447. https://doi.org/10.1111/j.1747-0765.2007.00151.x
- Lancaster S.H., Hollister E.B., Senseman S.A., Gentry T.J. Effects of repeated glyphosate applications on soil microbial community composition and the mineralization of glyphosate // Pest Management Sci. 2010. V. 66. P. 59–64. https://doi.org/10.1002/ps.1831
- Leino L., Tall T., Helander M., Saloniemi I., Saikkonen K., Ruuskanen S., Puigbò P. Classification of the glyphosate target enzyme (5-enolpyruvylshikimate-3-phosphate synthase) for assessing sensitivity of organisms to the herbicide // J. Hazardous Materials. 2020. 124556. https://doi.org/10.1016/j.jhazmat.2020.124556
- Milosevic N., Govedarica M. Effect of herbicides on microbiological properties of soil // Matica Srpska J. Natural Sci. 2002. V. 102. P. 5–21.
- Munira S., Farenhorst A., Flaten D., Grant C. Phosphate fertilizer impacts on glyphosate sorption by soil // Chemosphere. 2016. V. 153. P. 471–477. https://doi.org/10.1016/j.chemosphere.2016.03.028
- Nardi S., Pizzeghello D., Gessa C., Ferrarese L., Trainotti L., Casadoro G. A low molecular weight humic fraction on nitrate uptake and protein synthesis in maize seedlings // Soil Biol. Biochem. 2000. V. 32. P. 415–419.
- Newman M.M., Hoilett N., Lorenz N., Dick R.P., Liles M.R., Ramsier C., Kloepper J.W. Glyphosate effects on soil rhizosphere-associated bacterial communities // Sci. Total Environ. 2016. V. 543. P. 155–160. https://doi.org/10.1016/j.scitotenv.2015.11.008
- Nguyen D.B., Rose M.T., Rose T.J., Morris S.G., van Zwieten L. Impact of glyphosate on soil microbial biomass and respiration: a meta-analysis // Soil Biol. Biochem. 2016. V. 92. P. 50–57. https://doi.org/10.1016/j.soilbio.2015.09.014
- Nivelle E., Verzeaux J., Chabot A., Roger D., Chesnais Q., Ameline A., Catterou M. Effects of glyphosate application and nitrogen fertilization on the soil and the consequences on aboveground and belowground interactions // Geoderma. 2018. V. 311. P. 45–57. https://doi.org/10.1016/j.geoderma.2017.10.0
- Nivelle E., Verzeaux J., Chabot A., Roger D., Spicher F., Lacoux J., Nava-Saucedo J.E., Catterou M., Tétu T. Does nitrogen fertilization history affects short-term microbial responses and chemical properties of soils submitted to different glyphosate concentrations // J. PLoS One. 2017. V. 12. e0178342.
- Okada E., Costa J.L., Bedmar F. Glyphosate dissipation in different soils under no-till and conventional tillage // Pedosphere. 2019. V. 29. P. 773–783.
- Silva V., Montanarella L., Jones A., Fernández–Ugalde O., Mol H.G.J., Ritsema C.J., Geissen V. Distribution of glyphosate and aminomethylphosphonic acid (AMPA) in agricultural topsoils of the European Union // Sci. Total Environ. 2018. V. 621. P. 1352–1359. https://doi.org/10.1016/j.scitotenv.2017.10.093
- Stratton G.W., Stewart K.E. Effects of the herbicide glyphosate on nitrogen cycling in an acid forest soil // Water Air Soil Pollution. 1991. V. 60. P. 231–247. https://doi.org/10.1007/BF00282625
- Tenuta M., Beauchamp E.G. Denitrification following herbicide application to a grass sward // Can. J. Soil Sci. 1996. V. 76. P. 15–22.
- Van Bruggen A.H.C., He M.M., Shin K., Mai V., Jeong K.C., Finckh M.R., Morris J.G., Jr. Environmental and health effects of the herbicide glyphosate // Sci. Total Environ. 2018. V. 616–617. P. 255–268. https://doi.org/10.1016/j.scitotenv.2017.10.309
- Zablotowicz R.M., Reddy K.N. Impact of glyphosate on the Bradyrhizobium japonicum symbiosis with glyphosate-resistant transgenic soybean: a mini review // J. Environ. Quality. 2004. V. 33. P. 825–831.
- Zhan H., Feng Y., Fan X., Chen S. Recent advances in glyphosate biodegradation // Appl. Microbiol. Biotechnol. 2018. V. 102. P. 5033–5043. https://doi.org/10.1007/s00253-018-9035-0
- Zhang M., Wang W., Tang L., Heenan M., Xu Z. Effects of nitrification inhibitor and herbicides on nitrification, nitrite and nitrate consumptions and nitrous oxide emission in an Australian sugarcane soil // Biol. Fertil. Soils. 2018. V. 54. P. 697–706. https://doi.org/10.1007/s00374-018-1293-6




