Soil Bacterial Community during Straw Decomposition Depending on the Amount of Available Organic Matter
- Authors: Orlova O.V.1, Kichko A.A.1, Chirak E.L.2, Zverev A.O.1, Lisina T.O.1, Andronov E.E.1,3
-
Affiliations:
- All-Russian Research Institute for Agricultural Microbiology
- ATG Service Gen LLC
- Dokuchaev Soil Science Institute
- Issue: No 5 (2023)
- Pages: 626-639
- Section: СЕЛЬСКОХОЗЯЙСТВЕННАЯ МИКРОБИОЛОГИЯ
- URL: https://journal-vniispk.ru/0032-180X/article/view/138085
- DOI: https://doi.org/10.31857/S0032180X22601074
- EDN: https://elibrary.ru/IEECPH
- ID: 138085
Cite item
Full Text
Abstract
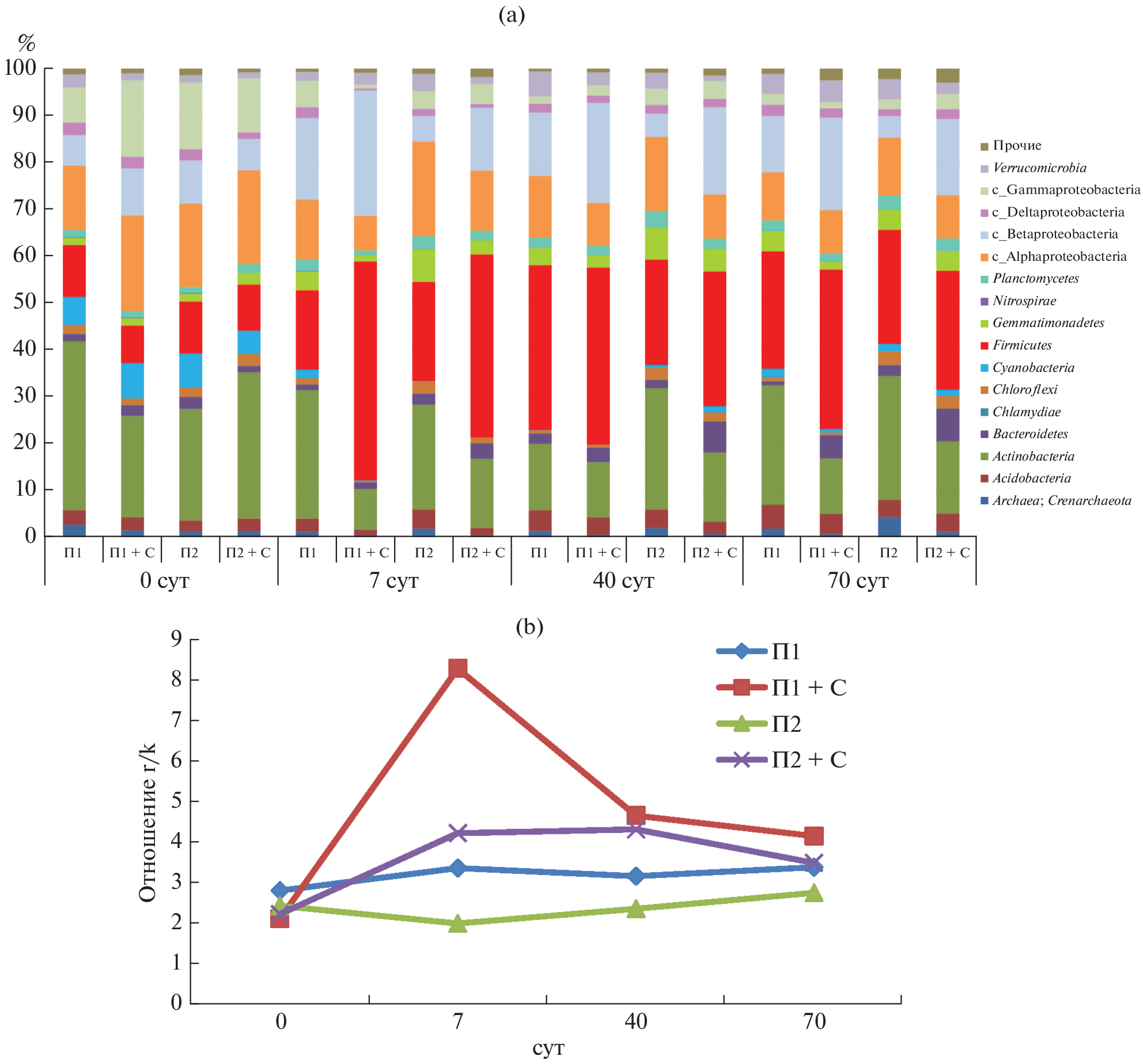
The properties and functions of soils are largely determined by the amount of available organic matter, which is most significant for the vital activity of microorganisms. The influence of the content of soil available organic matter on the composition and functioning of the microbial community during the transformation of barley straw in the soil is considered. A soddy-podzolic soil (Umbric Albic Retisols (Abruptic)), layer 0–20 cm, was incubated (t 25°C, 60% TFC) for 4 months and a model soil with a reduced content of available organic matter was obtained. Next, a laboratory experiment was carried out with the introduction of barley straw into native and model soil. In dynamics (0, 7, 40, and 70 days), soil respiration, microbial biomass (SBI), the number of microorganisms, and the taxonomic composition of the microbial community (16S-rRNA sequencing) were analyzed. The quality of soil organic matter was assessed by the content of total organic carbon (Ctot) and its fractions: available (Cavail), water-soluble (Cwat), labile (Clab). It has been shown that in the model soil the amount of Cwat and Cavail decreases by half in the absence of significant differences in the content of Ctot. In addition, there was a visible deterioration in the aggregate structure of the soil and an acceleration in the transformation of straw in it (25% more than in the native one). The taxonomic composition of the soil bacterial community was influenced by the amount of available organic matter in the soil, the addition of straw, and the time of incubation. A decrease in the content of available organic matter changes the composition of the microbial community: the proportions of the phyla Acidobacteria and Firmicutes decrease, while the proportions of Actinobacteria, Bacteroidetes, Chloroflexi, Planctomycetes, and archaea increase. It was revealed that the dominant part (50% of the total) of the microbial community of the depleted soil is characterized by great diversity and oligotrophy. Indicators are proposed for comparing soils by the oligotrophy of the microbial community based on the taxonomic composition.
About the authors
O. V. Orlova
All-Russian Research Institute for Agricultural Microbiology
Author for correspondence.
Email: falenki@hotmail.com
Russia, 196608, Sant Petersburg
A. A. Kichko
All-Russian Research Institute for Agricultural Microbiology
Email: falenki@hotmail.com
Russia, 196608, Sant Petersburg
E. L. Chirak
ATG Service Gen LLC
Email: falenki@hotmail.com
Russia, 199178 , St. Petersburg
A. O. Zverev
All-Russian Research Institute for Agricultural Microbiology
Email: falenki@hotmail.com
Russia, 196608, Sant Petersburg
T. O. Lisina
All-Russian Research Institute for Agricultural Microbiology
Email: falenki@hotmail.com
Russia, 196608, Sant Petersburg
E. E. Andronov
All-Russian Research Institute for Agricultural Microbiology; Dokuchaev Soil Science Institute
Email: falenki@hotmail.com
Russia, 196608, Sant Petersburg; Russia, 119017, Moscow
References
- Агрохимические методы исследования почв / Под ред. Соколова А.В. М., 1975. 656 с.
- Андронов Е.Е., Пинаев А.Г., Першина Е.В., Чижевская Е.П. Научно-методические рекомендации по выделению высокоочищенных препаратов ДНК из объектов окружающей среды. СПб., 2011. 27 с.
- Бакина Л.Г. Роль фракций гумусовых веществ в почвенно-экологических процессах. Автореф. дис. … докт. биол. наук. СПб., 2012. 50 с.
- Звягинцев Д.Г. Почва и микроорганизмы. М.: Изд-во Моск. ун-та, 1987. 256 с.
- Заварзина А.Г., Данченко Н.Н., Демин В.В., Артемьева З.С., Когут Б.М. Гуминовые вещества – гипотезы и реальность (обзор) // Почвоведение. 2021. № 12. С. 1449–1480. https://doi.org/10.31857/S0032180X21120169
- Еськов А.И., Лукин С.М., Тарасов С.И. Методические подходы к оценке гумусного состояния почв при длительном применении различных систем удобрений // Методы исследований органического вещества почв. М., 2005. С. 111–134.
- Коростик Е.В., Пинаев А.Г., Ахтемова Г.А. и др. Универсальные 16S rRNA праймеры для описания генетического разнообразия сообщества почвенных прокариот // Экологическая генетика. 2006. № 4(4). С. 33–38.
- Когут Б.М. Принципы и методы оценки содержания трансформируемого органического вещества в пахотных почвах // Почвоведение. 2003. № 3. С. 308–316.
- Когут Б.М., Яшин М.А., Семенов В.М., Авдеева Т.Н., Маркина Л.Г., Лукин С.М., Тарасов С.И. Распределение трансформированного органического вещества в структурных отдельностях дерново-подзолистой супесчаной почвы // Почвоведение. 2016. № 1. С. 52–64. https://doi.org/10.7868/S0032180X1601007X
- Новицкий М.В., Илющенко В.А. Содержание и состав лабильного гумуса в дерново-подзолистых супесчаных почвах разной степени окультуренности // Агрохимия. 1997. № 4. С. 19–22.
- Орлова О.В. Кинетический метод оценки содержания в почве и удобрениях органического углерода, доступного для микроорганизмов // Сб. докл. Междунар. науч.-пр. конф. “Агроэкологические функции органического вещества почв и использование органических удобрений и биоресурсов в ландшафтном земледелии”. Владимир, 1–5 июля 2004 г. С. 103–106.
- Паников Н.С., Горбенко А.Ю., Светлов С.В. Способ определения суммарного содержания водорастворимых органических веществ в почве. Пат. № 1318909 (СССР) МКП G 01 N 33/24. 1887.
- Сафонов А.П. К методике подготовки образцов почв для определения гумуса // Гумус и азот в земледелии нечерноземной зоны РСФСР. Л., 1987. С. 14–16.
- Семенов А.М., Семенов В.М., Ван Бругген А.Х.К. Диагностика здоровья и качества почвы // Агрохимия. 2011. № 12. С. 4–20.
- Семенов В.М., Лебедева Т.Н., Зинякова Н.Б., Хромычкина Д.П., Соколов Д.А., де Гереню Л.В.О., Кравченко И.К., Ли Х., Семенов М.В. Зависимость разложения органического вещества почвы и растительных остатков от температуры и влажности в длительных инкубационных экспериментах // Почвоведение. 2022. № 7. С. 860–875. https://doi.org/10.31857/S0032180X22070085
- Семенов В.М., Тулина А.С. Сравнительная характеристика минерализуемого пула органического вещества в почвах природных и сельскохозяйственных экосистем // Агрохимия. 2011. № 12. С. 53–63.
- Справочник по анализу органических удобрений / Под ред. А.И. Еськова М., 2000. 221 с.
- Теппер Е.З., Шильникова В.К., Переверзева Г.И. Практикум по микробиологии. М.: Агропромиздат, 1987. 239 с.
- Тулина А.С., Семенов В.М. Оценка чувствительности минерализуемого пула почвенного органического вещества к изменению температуры и влажности // Почвоведение. 2015. № 8. С. 952–952. https://doi.org/https://doi.org/10.7868/S0032180X15080109
- Чекмарев П.А. Состояние плодородия почв и мероприятия по его повышению в 2012 г. // Агрохимический вестник. 2012. № 1. С. 2–4.
- Шарков И.Н. Концепция воспроизводства гумуса в почвах // Агрохимия. 2011. № 12. С. 21–27.
- Шеин Е.В., Милановский Е.Ю. Роль и значение органического вещества в образовании и устойчивости почвенных агрегатов // Почвоведение. 2003. № 1. С. 53–61.
- Шульц Э., Кершенс М. Характеристика разлагаемой части органического вещества почв и ее трансформации при помощи экстракции горячей водой // Почвоведение. 1998. № 7. С. 890–894.
- Birch H.F. The effect of soil drying on humus decomposition and nitrogen availability // Plant and soil. 1958. № 10(1). P. 9–31.
- Bolyen E., Rideout J.R., Dillon M.R., Bokulich N.A., Abnet C.C., Al-Ghalith G.A., Alexander H. et al. Reproducible, interactive, scalable and extensible microbiome data science using QIIME 2 // Nature Biotechnology. 2019. № 37. P. 852–857. https://doi.org/10.1038/s41587-019-0209-9
- Cleveland C.C., Nemergut D.R., Schmidt S.K., Townsend A.R. Increases in soil respiration following labile carbon additions linked to rapid shifts in soil microbial community composition // Biogeochemistry. 2007. № 82(3). P. 229–240. https://doi.org/10.1007/s10533-006-9065-z
- DeSantis T.Z., Hugenholtz P., Larsen N., Rojas M., Brodie E.L., Keller K. et al. Greengenes, a Chimera-Checked 16S rRNA Gene Database and Workbench Compatible with ARB // Appl. Environ. Microbiol. 2006. V. 72. № 7. P. 5069–5072. https://doi.org/10.1128/AEM.03006-05
- Fierer N., Bradford M.A., Jackson R.B. Toward an ecological classification of soil bacteria // Ecology. 2007. № 88(6) P. 1354–1364. https://doi.org/10.1890/05-1839
- Gregorich E.G., Beare M.H., McKim U.F., Skjemstad J.O. Chemical and biological characteristics of physically uncomplexed organic matter // Soil Sci. Soc. Am. J. 2006. № 70. P. 975–985.
- Haynes R.J. Labile organic matter as an indicator of organic matter quality in arable and pastoral soils in New Zealand // Soil Biol. Biochem. 2000. V. 32. № 2. P. 211–219. https://doi.org/10.1016/S0038-0717(99)00148-0
- Jarvis P., Rey A., Petsikos C., Wingate L., Rayment M., Pereira J., Banza J. et al. Drying and wetting of Mediterranean soils stimulates decomposition and carbon dioxide emission: the “Birch effect” // Tree Physiology. 2007. V. 27. P. 929–940.
- Janzen H.H. Beyond carbon sequestration: soil as conduit of solar energy // Eur. J. Soil Sci. 2015. V. 66. P. 19–32.
- Li H., Yang S., Semenov M.V., Yao F., Ye J., Bu R. et al. Temperature sensitivity of SOM decomposition is linked with a K-selected microbial community // Global Change Biol. 2021. V. 27. № 12. P. 2763–2779.
- Pascault N., Nicolardot B., Bastian F., Thiébeau P., Ranjard L., Maron P.A. In situ dynamics and spatial heterogeneity of soil bacterial communities under different crop residue management // Microbial Ecology. 2010. V. 60. P. 291–303. https://doi.org/10.1007/s00248-010-9648-z
- Paul E.A., Morris S.J., Conant R.T., Plante A.F. Does the Acid Hydrolysis–Incubation Method Measure Meaningful Soil Organic Carbon Pools? // Soil Sci. Soc. Am. J. 2006. № 70. P. 1023–1035. https://doi.org/10.2136/SSSAJ2005.0103
- Rognes T., Flouri T., Nichols B., Quince C., Mahé F. VSEARCH: a versatile open-source tool for metagenomics // Peer J. 2016. V. 4. P. e2584. https://doi.org/10.7717/peerj.2584
- Schlesinger W.H., Andrews J.A. Soil respiration and the global carbon cycle // Biogeochemistry. 2000. V. 48. № 1. P. 7–20. https://doi.org/10.1023/A:1006247623877
- Schmidt S.K., Costello E.K., Nemergut D.R., Cleveland C.C., Reed S.C., Weintraub M.N., Martin A.M. Microbial turnover and seasonal succession drive biogeochemical cycles in the alpine // Ecology. 2007. V. 88. P. 1379–1385.
- Trivedi P., Anderson I.C., Singh B.K. Microbial modulators of soil carbon storage: integrating genomic and metabolic knowledge for global prediction // Trends in Microbiology. 2013. V. 21. № 12. P. 641–651. https://doi.org/10.1016/j.tim.2013.09.005
- West A.W., Sparling G.P. Modification to the substrate-induced respiration method to permit measurement of microbial biomass in soils of different water contents // J. Microbiol. Meth. 1986. № 5. P. 177–189. https://doi.org/10.1016/0167-7012(86)90012-6
- Wickings K., Grandy S., Reed S., Johnson N. The origin of litter chemical complexity during decomposition // Ecology Lett. 2012. № 15(10). P. 1180–1188. https://doi.org/10.1111/j.1461-0248.2012.01837
- Yang S., Wu H., Wang Z., Semenov M.V., Ye J., Yin L., Wang X. et al. Linkages between the temperature sensitivity of soil respiration and microbial life strategy are dependent on sampling season // Soil Biol. Biochem. 2022. V. 172. P. 108758. https://doi.org/10.1016/j.soilbio.2022.108758
Supplementary files








