The Litters and the Living Ground Cover as Informational Characteristics of Biogeocenoses for Moscow Oblast Small-Leaved Forests
- 作者: Telesnina V.М.1, Semenyuk O.V.1, Bogatyrev L.G.1
- 
							隶属关系: 
							- Lomonosov Moscow State University
 
- 期: 编号 7 (2023)
- 页面: 801-814
- 栏目: ГЕНЕЗИС И ГЕОГРАФИЯ ПОЧВ
- URL: https://journal-vniispk.ru/0032-180X/article/view/138130
- DOI: https://doi.org/10.31857/S0032180X2260158X
- EDN: https://elibrary.ru/VOTFEP
- ID: 138130
如何引用文章
全文:
详细
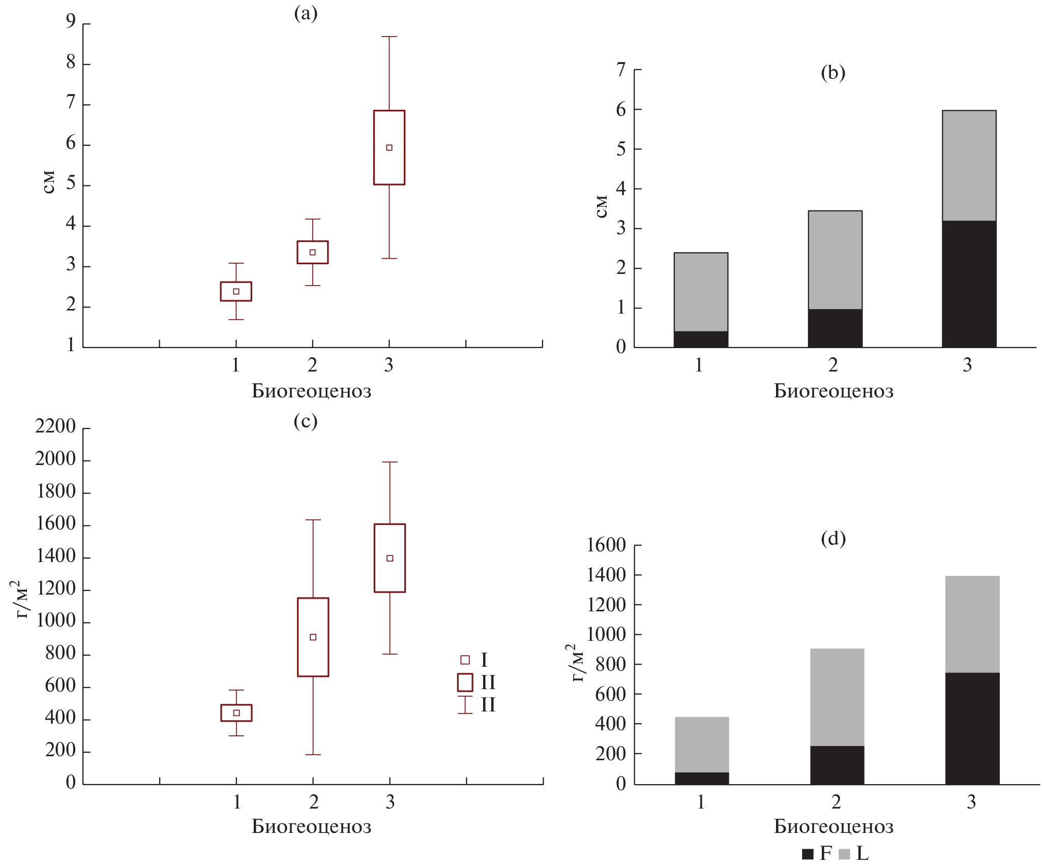
The ecological and coenotic structure of the living ground cover and the structural and functional features of forest litter for three types of forests were studied: hairy-sedge birch forest, birch-aspen hairy-sedge, soddy-pike birch forest, forming a sequential row as hydromorphism increases within the slope, gradually to the center of the drive-dividing depression. The ecological characteristic of the living ground cover is based on the grouping of ecological-coenotic formations according to A.A. Nitsenko and ecological scales L.G. Ramensky and H. Ellenberg. Increasing hydromorphism is accompanied by an increase in ecological and cenotic diversity. The total trophicity score also increases under conditions of increased hydromorphism – in the soddy pike birch forest – in combination with low Ellenberg acidity index. Conversely, the maximum scores for these indicators, with high variation, belong to the birch-aspen forest, which occupies intermediate positions in the series of increasing hydromorphism. It was established that the studied stands are characterized by destructive and fermentative litters. As hydromorphism increases, the litter deposit increases from 400 to 1400 g/m2 with a simultaneous increase of detritus part in L subhorizon. About 60% of total organic matter deposit concentrated the litter of small-leaved plantations is accounted by easily decomposing fractions. With a regular increasing ash content in the system of subhorizons L–F, the maximum ash content is obtained for detritus fraction of L subhorizon. With a regular increase in the ash content in the system of subhorizons L–F, the maximum ash content is characteristic of the detritus fraction of the subhorizon L. The parameters of the ecological characteristics underlying the method of principal components showed a good grouping of the studied phytocenoses according to the degree of moisture, especially when using the general properties of litter (stocks, thickness, detritus content). The expediency of using the properties of litter to establish the similarities and differences of the studied phytocenoses as characteristics that integrally reflect the characteristics of moisture is revealed. The parameters of the living ground cover in conjunction with a number of structural and functional features of forest litter are adequate indicators of the degree of hydromorphism.
作者简介
V. Telesnina
Lomonosov Moscow State University
							编辑信件的主要联系方式.
							Email: vtelesnina@mail.ru
				                					                																			                												                								Russia, 119991, Moscow						
O. Semenyuk
Lomonosov Moscow State University
														Email: vtelesnina@mail.ru
				                					                																			                												                								Russia, 119991, Moscow						
L. Bogatyrev
Lomonosov Moscow State University
														Email: vtelesnina@mail.ru
				                					                																			                												                								Russia, 119991, Moscow						
参考
- Аветов Н.А., Кузнецов О.Л., Шишконакова Е.А. Почвы олиго-мезотрофных и мезотрофных болот бореального пояса Западной Сибири: возможности геоботанической диагностики в рамках типа торфяных мезотрофных почв // Почвоведение. 2021. № 5.
- Аветов Н.А., Шишконакова Е.А. Некоторые аспекты систематики и диагностики торфяных почв бореальных болот // Почвоведение. 2019. № 8. С. 901–909.
- Богатырев Л.Г. О классификации лесных подстилок // Почвоведение. 1990. № 3. С. 118–127.
- Богатырев Л.Г., Бенедиктова А.И., Телеснина В.М., Карпухин М.М., Жилин Н.И., Земсков Ф.И., Демин В.В. Водные вытяжки как критерий оценки геохимической обстановки в условиях монолитной почвенно-геохимической катены в пределах верхнего течения Клязьмы // Вестник Моск. ун-та. 2020. № 4. С. 17–26.
- Ведрова Э.Ф., Решетникова Т.В. Масса подстилки и интенсивность ее разложения в 40-летних культурах основных лесообразующих пород Сибири // Лесоведение. 2014. № 1. С. 42–50.
- Демаков Ю.П., Исаев А.В., Шарафутдинов Р.Н. Роль лесной подстилки в борах Марийского Заволжья и вариабельность ее параметров // Науч. Тр. гос. природного заповедника “Большая Кокшага”. 2018. № 8. С. 15–43.
- Ефремова Т.Т., Аврова А.Ф., Ефремов С.П., Мелентьева Н.В. Стадийность трансформации органического вещества подстилок болотных березняков // Почвоведение. 2009. № 10. С. 1203–1212.
- Ефремова Т.Т., Ефремов С.П., Аврова А.Ф. Зольный состав морфометрических фракций как показатель стадий преобразования подстилок (на примере болотных березняков) // Почвоведение. 2022. № 11. С. 1351–1365. https://doi.org/10.31857/S0032180X2211003X
- Ефремова Т.Т., Секретенко О.П., Аврова А.Ф., Ефремов С.П. Пространственная структура кислотных свойств подстилки в сукцессионном ряду болотных березняков // Известия РАН. Сер. биологическая. 2013. № 5. С. 624–636.
- Карпечко А.Ю., Туюнен А.В., Медведева М.В., М-ошкина Е.В., Дубровина И.А., Геникова Н.В., Сидорова В.А., Мамай А.В., Толстогузов О.В., Кулакова Л.М. Масса тонких корней в почвах лесных сообществ на постагрогенных землях в условиях средней тайги (на примере республики Карелия) // Растительные ресурсы. 2021. Т. 57. Вып. 2. С. 145–157.
- Классификация и диагностика почв России. Смоленск: Ойкумена, 2004.
- Клещева Е.А. Использование экологических шкал для индикации современного состояния лесных сообществ (на примере сосновых лесов) // Экология. 2007. № 2. С. 104–110.
- Копцик Г.Н., Багдасарова Т.В., Горленко О.В. Взаимосвязи видового разнообразия растений и свойств почв в экосистемах южной тайги // Бюл. МОИП. отд. биол. 2001. Т. 106. Вып. 2. С. 31–38.
- Королькова Е.О. Мониторинг рекреационного использования особо охраняемых природных территорий на примере Полистовского государственного природного заповедника // Социально-экологические технологии. 2015. № 1–2. С. 30–39.
- Кузнецов М.А. Влияние условий разложения и состава опада на характеристики и запас подстилки в среднетаежном чернично-сфагновом ельнике // Лесоведение. 2010. № 6. С. 54–60.
- Мошкина Е.В., Мамай А.В. Оценка плодородия и экологического состояния автоморфных почв городских и пригородных лесов // Вестник современной науки. 2016. № 10. С. 31–37.
- Назарюк В.М., Калимуллина Ф.Р. Роль природных экосистем в восстановлении плодородия выпаханных почв Западной Сибири // Проблемы агрохимии и экологии. 2017. № 1. С. 43–50.
- Ниценко А.А. Об изучении экологической структуры растительного покрова // Бот. журн. 1969. Т. 54. № 7. С. 1002–1014.
- Припутина И.В., Фролова Г.Г., Шанин В.Н., Мякшина Т.Н., Грабарник П.Я. Распределение органического вещества и азота в дерново-подбурах приокско-террасного заповедника и его связь со структурой лесных фитоценозов // Почвоведение. 2020. № 8. С. 921–933.
- Пристова Т.А. Биологический круговорот веществ во вторичном лиственно-хвойном насаждении средней тайги // Вестник Института Коми научного центр РАН. 2006. № 8(106). С. 7–12.
- Пристова Т.А. Компоненты углеродного цикла в лиственно-хвойном насаждении средней тайги // Лесоведение. 2010. № 6. С. 12–19.
- Раменский Л.Г., Цаценкин И.А., Чижиков О.Н., Антипов Н.А. Экологическая оценка кормовых угодий по растительному покрову. М.: Сельхозгиз, 1956. 472 с.
- Ревина О.А., Ревин А.Г. Биогеохимические особенности элементарных ландшафтов памятника природы регионального значения “Красный бор” // Природа и общество: в поисках гармонии. 2019. №. 5. С. 217–227.
- Семенюк О.В., Телеснина В.М., Богатырев Л.Г., Бенедиктова А.И., Кузнецова Я.Д. Оценка внутрибиогеоценозной изменчивости лесных подстилок и травяно-кустарничковой растительности в еловых насаждениях // Почвоведение. 2020. № 1. С. 31–43.
- Стома Г.В., Богатырев Л.Г., Макаров М.И., Манахов Д.В. Летняя практика по почвоведению: Уч-метод. Пособие для студентов 1 курса факультета почвоведения МГУ. М.: МАКС-Пресс, 2017. 156 с.
- Тарасов П.А., Тарасова А.В., Иванов В.А. Основные характеристики лесной подстилки производных мелколиственных насаждений // Вестник КрасГУ. 2015. № 2. С. 197–200.
- Телеснина В.М., Богатырев Л.Г., Бенедиктова А.И., Земсков Ф.И., Маслов М.Н. Динамика поступления растительного опада и некоторых свойств лесных подстилок при постагрогенном лесовосстановлении в условиях южной тайги // Вестник Моск. ун-та. Сер. 17, почвоведение. 2019. № 4. С. 3–10.
- Телеснина В.М., Семенюк О.В., Богатырев Л.Г. Свойства лесных подстилок во взаимосвязи с напочвенным покровом в лесных экосистемах Подмосковья (на примере УОПЭЦ “Чашниково”) // Вестник Моск. ун-та. Сер. 17, почвоведение. 2017. № 4. С. 11–20.
- Трефилова О.В., Ефимов Д.Ю. Изменение растительного покрова и почв при естественном зарастании вырубок пихтарников Енисейского кряжа // Почвоведение. 2015. № 8. С. 4–16.
- Coxson D.S., Parkinson D. Winter respiratory activity in aspen woodland forest floor litter and soils // Soil Biol. Biochem. 1987. V. 19. P. 49–59.
- Ellenberg H. Zeigerwerte der Gefasspflanzen Mitteleuropas. Gottingen: Goltze, 1974. 97 p.
- Landolt E., Bäumler B., Erhardt A. Flora indicative. Ökolo-gische Zeigerwerte und biologische Kennze-ichenzur Flora der Schweiz und der Alpen. Haupt-Verlag, 2010. 376 p.
- Lõhmus K., Rosenvald K., Sõber A. Elevated atmospheric humidity shapes the carbon cycle of a silver birch forest ecosystem: A FAHM study // Sci. Total Environ. 2019. V. 661. P. 441–448. https://doi.org/1.1016/j.scitotenv.2019.01.160
- Middleton M., Närhi P., Arkimaa H., Hyvönen Е., Kuosmanen V., Treitz P., Sutinen R. Ordination and hyperspecrtal remote sensing approach to classify peatland biotopes along soil moisture and fertility gradients // Remote Sensing Environ. 2012. V. 124. P. 596–609.
- Nikula S., Vapaavuori E., Manninen S. Urbanization-related changes in European aspen (Populus tremula L.): Leaf traits and litter decomposition // Environ. Poll. 2010. V. 158. № 6. P. 2132–2142. https://doi.org/10.1016/j.envpol.2010.02.025
- Rogers P.C., Pinno B.D., Kulakowski D. A global view of aspen: Conservation science for widespread keystone systems // Global Ecology and Conservation. 2020. V. 21. https://doi.org/10.1016/j.gecco.2019.e00828
- Rosenvald K., Lõhmus K., Tullus A. The initial overreaction of carbon cycle to elevated atmospheric humidity levels off over time – a FAHM study in a young birch forest // Sci. Total Environ. 2021. V. 796. https://doi.org/10.1016/j.scitotenv.2021.148917
- Sekretenko O.P., Efremova T.T., Efremov S.P. Factors influencing the spatial pattern of the ash content of bog birch forest litter // Procedia Environ. Sci. 2011. V. 3. P. 99–104. https://doi.org/10.1016/j.proenv.2011.02.018
- Uri V., Kukumägi M., Karoles K. Litterfall dynamics in Scots pine (Pinus sylvestris), Norway spruce (Picea abies) and birch (Betula) stands in Estonia // Forest Ecology and Management. 2022. V. 520. P. 120417–120424. https://doi.org/10.1016/j.foreco.2022.120417
- Wang Q., Kwak J.-H., Chang S.X. Long-term N and S addition and changed litter chemistry do not affect trembling aspen leaf litter decomposition, elemental composition and enzyme activity in a boreal fores // Environ. Poll. 2019. V. 250. P. 143–154. https://doi.org/10.1016/j.envpol.2019.04.007
补充文件
 
				
			 
						 
						 
						 
						 
					 
				
 
  
  
  电邮这篇文章
			电邮这篇文章 






