Changes in the Microbiological and Physico-Chemical Properties of Soils after Fires in Pine and Birch Forests of Central Regions of the Zabaikal Krai
- Authors: Bogorodskaya A.V.1, Kukavskaya E.A.1, Kalenskaya O.P.2, Buryak L.V.1,2,3
-
Affiliations:
- Sukachev Institute of Forest FRC KSС SB RAS
- Reshetnev Siberian State University of Science and Technology
- The Branch of FBU VNIILM “Centre of Forest Pyrology”
- Issue: No 11 (2023)
- Pages: 1418-1436
- Section: SOIL BIOLOGY
- URL: https://journal-vniispk.ru/0032-180X/article/view/232247
- DOI: https://doi.org/10.31857/S0032180X23600245
- EDN: https://elibrary.ru/YIJSXP
- ID: 232247
Cite item
Full Text
Abstract
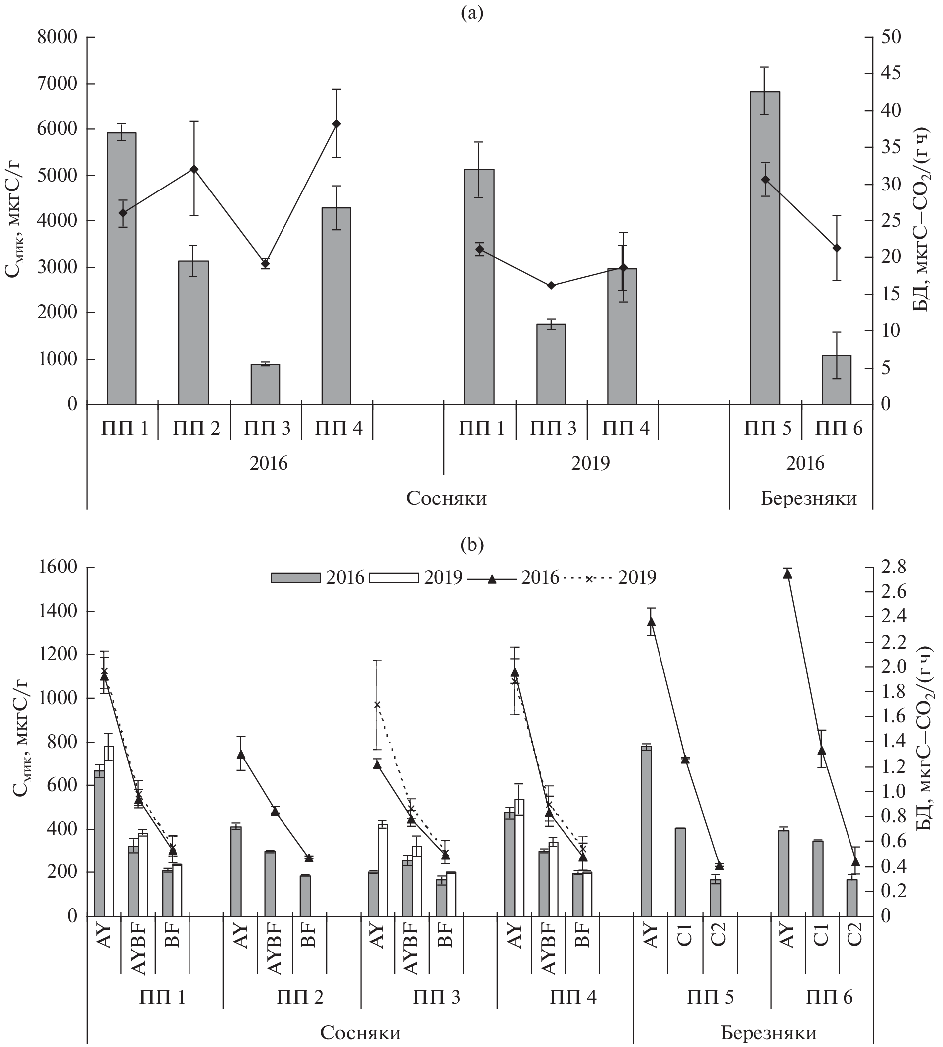
The microbiological and some physico-chemical properties of illuvial-ferruginous soddy-podburs (Entic Rustic Podzols) soils in Scots pine forests and gray-humic typical light loamy soils (Umbrisols) in secondary birch forests of the central regions of the Zabaikal krai have been studied. Fires in soddy-podburs pine forests resulted in decrease in the total exchangeable basis, total nitrogen, mobile forms of potassium and phosphorus, and in increase in the proportion of C : N; while in birch forests, on the contrary, an increase of the mentioned indicators and a narrowing of the C : N proportion in the gray-humic typical soils were observed. The content of humus in the upper soil horizon decreases only in recently burned Scots pine forests after a high-severity fire, while in other sites it increases. A decrease in the soil acidity was observed at all burned sites. High-severity fires lead to a significant decrease in the content of microbial biomass and the intensity of basal respiration, as well as to a change in the structure of ecological and trophic groups of microorganisms in the soils up to a depth of 10 cm of the mineral horizon, while low-severity fires mainly affect the duff. The qCO2 coefficient increased 2–5 times after fires in the duff and 1.5–2 times in the humus horizon only after high-severity fires. In recently burned Scots pine forests, the storage of microbial biomass and microbial production of carbon dioxide significantly decreased up to a depth of 10 cm of the mineral soil layer. In the steppe site formed after the impact of fires in the pine forest, and in the birch forest after a high-severity fire, in the humus horizon the carbon storage of microbial biomass decreased by 15–20%, and the microbial production of CO2 increased by 10–20%, predetermining the predominance of mineralization processes. The considered post-fire transformation of the structural and functional parameters of soil microbiocenosis, as well as a 20–40% decrease in the total carbon storage of microbial biomass in the soils of all sites demonstrate a long recovery period of soils after fires in light coniferous and deciduous forests of the central regions of the Zabaikal krai.
About the authors
A. V. Bogorodskaya
Sukachev Institute of Forest FRC KSС SB RAS
Author for correspondence.
Email: anbog@ksc.krasn.ru
Russia, 660036, Krasnoyarsk
E. A. Kukavskaya
Sukachev Institute of Forest FRC KSС SB RAS
Email: anbog@ksc.krasn.ru
Russia, 660036, Krasnoyarsk
O. P. Kalenskaya
Reshetnev Siberian State University of Science and Technology
Email: anbog@ksc.krasn.ru
Russia, 660049, Krasnoyarsk
L. V. Buryak
Sukachev Institute of Forest FRC KSС SB RAS; Reshetnev Siberian State University of Science and Technology; The Branch of FBU VNIILM “Centre of Forest Pyrology”
Email: anbog@ksc.krasn.ru
Russia, 660036, Krasnoyarsk; Russia, 660049, Krasnoyarsk; Russia, 660062, Krasnoyarsk
References
- Ананьева Н.Д., Сусьян Е.А., Гавриленко Е.Г. Особенности определения углерода микробной биомассы почвы методом субстрат-индуцированного дыхания // Почвоведение. 2011. № 11. С. 1327–1333.
- Ананьева Н.Д., Сусьян Е.А., Рыжова И.М., Бочарникова Е.О., Стольникова Е.В. Углерод микробной биомассы и микробное продуцирование двуокиси углерода дерново-подзолистыми почвами постагрогенных биогеоценозов и коренных ельников южной тайги (Костромская область) // Почвоведение. 2009. № 9. С. 1108–1116.
- Анучин Н.П. Лесная таксация. М.: Лесная промышленность, 1982. 552 с.
- Аринушкина Е.В. Руководство по химическому анализу почв. М.: Изд-во МГУ, 1970. 489 с.
- Безкоровайная И.Н., Иванова Г.А., Тарасов П.А., Сорокин Н.Д., Богородская А.В., Иванов В.А., Конард С.Г., Макрае Д.Дж. Пирогенная трансформация почв сосняков средней тайги Красноярского края // Cибирский экологический журн. 2005. № 1. С. 143–152.
- Богородская А.В., Кукавская Е.А. Состояние микробных сообществ в почвах лиственных и светлохвойных лесов Средней Сибири после рубок и пожаров // Лесоведение. 2016. № 5. С. 383–396.
- Богородская А.В., Пономарева Т.В., Ефимов Д.Ю., Шишикин А.С. Трансформация эколого-функциональных параметров микробоценозов почв на просеках линий электропередач в условиях Средней Сибири // Почвоведение. 2017. № 6. С. 731–743.
- Богородская А.В. Структурно-функциональные параметры микробоценозов почв после пожаров в светлохвойных насаждениях // Воздействие пожаров на светлохвойные леса Нижнего Приангарья. Новосибирск: Наука, 2022. С. 147–167.
- Буряк Л.В., Кукавская Е.А, Каленская О.П., Малых О.Ф., Бакшеева Е.О. Последствия лесных пожаров в южных и центральных районах Забайкальского края // Сибирский лесной журн. 2016. № 6. С. 94–102. https://doi.org/10.15372/SJFS20160609
- Буянтуева Л.Б., Никитина Е.П. Микробиологические исследования каштановых почв юго-западного Забайкалья // Самарский научный вестник 2015. № 2. С 38–40.
- Воробьева Л.А. Химический анализ почв. М.: Изд-во Моск. ун-та, 1998. 272 с.
- Габбасова И.М., Гарипов Т.Т., Сулейманов Р.Р., Комиссаров М.А., Хабиров И.К., Сидорова Л.В., Назырова Ф.И., Простякова З.Г., Котлугалямова Э.Ю. Влияние низовых пожаров на свойства и эрозию лесных почв Южного Урала (Башкирский государственный природный заповедник) // Почвоведение. 2019. № 4. С. 412–421.
- Гениатулин Р.Ф. Энциклопедия Забайкалья. Т. 1. Читинская область. Новосибирск: Наука, 2000. 102 с.
- Герасимов И.П. Предбайкалье и Забайкалье. М.: Наука, 1965. 492 с.
- Горбунова Ю.С., Девятова Т.А., Григорьевская А.Я. Влияние пожаров на почвенный и растительный покров лесов центра русской равнины // Вестник Воронежского гос. ун-та. Сер. Химия, биология, фармация. 2014. № 4. С.52–56.
- Гродницкая И.Д., Карпенко Л.В., Пашкеева О.Э., Гончарова Н.Н., Старцев В.В., Батурина О.А., Дымов А.А. Влияние лесных пожаров на микробиологические свойства торфяных олиготрофных почв и торфяно-подзолов глеевых в болотах северной части Сым-Дубчесского междуречья (Красноярский край) // Почвоведение. 2022. № 4. С. 454–468.
- Гынинова А.Б., Дыржинов Ж.Д., Гончиков Б.-М.Н. Особенности трансформации почв под влиянием пожаров в сосновых лесах Прибайкалья // Вестник Бурятского гос. ун-та. 2018. № 1. С. 44–53. https://doi.org/10.18101/2587-7143-2018-1-44-53
- Дымов А.А., Дубровский Ю.А., Габов Д.Н. Пирогенные изменения подзолов иллювиально-железистых (средняя тайга, Республика Коми) // Почвоведение. 2014. № 2. С. 144–154.
- Евдокименко М.Д. Пирогенные нарушения лесорастительной среды в сосняках Забайкалья и их лесоводственные последствия // Лесоведение. 2014. № 1. С. 3–12.
- Казеев К.Ш., Одабашян М.Ю., Трушков А.В., Колесников С.И. Оценка влияния разных факторов пирогенного воздействия на биологические свойства чернозема // Почвоведение. 2020. № 11. С. 1372–1382.
- Классификация и диагностика почв России. Смоленск: Ойкумена, 2004. 342 с.
- Краснощеков Ю.Н., Чередникова Ю.С. Постпирогенная изменчивость лесных почв в горном Прибайкалье. Новосибирск: СО РАН, 2022. 164 с.
- Курбатский Н.П. Исследование количества и свойств лесных горючих материалов. Вопросы лесной пирологии. Красноярск, 1970. С. 5–58.
- Макарова А.П., Напрасникова Е.В. Микробиологическая и биохимическая характеристика мерзлотных глеевых почв Северного Забайкалья // Известия Иркутского гос. ун-та. Сер.Биология. Экология. 2011. № 1. С. 25–32.
- Максимова Е.Ю., Кудинова А.Г., Абакумов Е.В. Функциональная активность почвенных микробных сообществ постпирогенных островных сосновых лесов г. Тольятти Самарской области // Почвоведение. 2017. № 2. С. 249–255.
- Маслов М.Н., Маслова О.А., Поздняков Л.А., Копеина Е.И. Биологическая активность почв горнотундровых экосистем при постпирогенном восстановлении // Почвоведение. 2018. № 6. С. 728–737.
- Масягина О.В., Евграфова С.Ю., Титов С.В., Прокушкин А.С. Динамика дыхания почвы на разных стадиях послепожарной восстановительной сукцессии на примере разновозрастных гарей Эвенкии // Экология. 2015. № 1. С. 23–32.
- Мишустин Е.Н., Емцев В.Т. Микробиология. М.: Агропромиздат, 1987. 368 с.
- Практикум по микробиологии / Под ред. Нетрусова А.И. М.: Academia, 2005. 603 с.
- Ставрова Н.И., Калимова И.Б., Горшков В.В., Дроздова И.В., Алексеева-Попова Н.В., Баккал И.Ю. Долговременные послепожарные изменения характеристик почв в темнохвойных лесах Европейского Севера // Почвоведение. 2019. № 2. С. 246–256.
- Старцев В.В., Дымов А.А., Прокушкин А.С. Почвы постпирогенных лиственничников Средней Сибири: морфология, физико-химические свойства и особенности почвенного органического вещества // Почвоведение. 2017. № 8. С. 912–925.
- Стольникова Е.В., Ананьева Н.Д., Чернова О.В. Микробная биомасса, ее активность и структура в почвах старовозрастных лесов Европейской территории России // Почвоведение. 2011. № 4. С. 479–494.
- Сукачев В.Н., Зонн С.В. Методические указания по изучению типов леса. М.: Изд-во АН СССР, 1961. 144 с.
- Сусьян Е.А., Ананьева Н.Д., Гавриленко Е.Г., Чернова О.В., Бобровский М.В. Углерод микробной биомассы в профиле лесных почв южной тайги // Почвоведение. 2009. № 10. С. 1233–1240.
- Цибарт А. С., Геннадиев А. Н. Влияние пожаров на свойства лесных почв Приамурья (Норский заповедник) // Почвоведение. 2008. № 7. С. 783–792.
- Чернов Т.И., Семенов М.В. Управление почвенными микробными сообществами: возможности и перспективы (обзор) // Почвоведение. 2021. № 12. С. 1506–1522.
- Шахматова Е.Ю. Изменение свойств подстилки и почв на гарях в сосновых лесах Западного Забайкалья // Наука и образование. 2017. № 3. С. 101–106.
- Anderson J.P.E., Domsch K.H. A physiological method for the quantitative measurement of microbial biomass in soils // Soil Biol. Biochem. 1978. V. 10. P. 314–322. https://doi.org/10.1016/0038-0717(78)90099-8
- Anderson T.-H., Domsch K.H. Application of eco-physiological quotients (qCO2 and qD) on microbial biomasses from soils of different cropping histories // Soil Biol. Biochem. 1990. V. 22. P. 251–255.https://doi.org/10.1016/0038-0717(90)90094-G
- Barrett K., Baxter R., Kukavskaya E., Balzter H., Shvetsov E., Buryak L. Postfire recruitment failure in Scots pine forests of southern Siberia // Remote Sensing of Environment. 2020. V. 237. https://doi.org/10.1016/j.rse.2019.111539
- Certini G. Fire as a soil-forming factor. 2014. Ambio 43. P. 191–195. https://doi.org/10.1007/s13280-013-0418-2
- Certini G., Moya D., Lucas-Borja M.E., Mastrolonardo G. The impact of fire on soil-dwelling biota: A review // Forest Ecology and Management. 2021. V. 488. P. 118989. https://doi.org/10.1016/j.foreco.2021.118989
- Cutler N.A., Arróniz-Crespo M., Street L.E., Jones D.L., L. Chaput D.L., DeLuca T.H. Long-term recovery of microbial communities in the boreal bryosphere following fire disturbance // Microb. Ecol. 2017. V. 73. P. 75–90. https://doi.org/10.1007/s00248-016-0832-7
- Dicen G.P., Rallos R.V., Labides J.L.R., Navarrete I.A. Vulnerability of soil organic matter to microbial decomposition as a consequence of burning // Biogeochemistry. 2020. V. 150. P. 123–137. https://doi.org/10.1007/s10533-020-00688-1
- Dooley S.R., Treseder K.K. The effect of fire on microbial biomass: a meta-analysis of field studies // Biogeochemistry. 2012. V. 109. P. 49–61. https://doi.org/10.1007/s10533-011-9633-8
- Fritze H., Pennanen T., Pietikainen J. Recovery of soil microbial biomass and activity from prescribed burning // Can. J. Forest Research. 1993. V. 23. P. 1286–1290. https://doi.org/10.1139/x93-164
- Insam H., Haselwandter K. Metabolic quotient of the soil microflora in relation to plant succession // Oecologia. 1989. V. 79. P. 174–178. https://doi.org/10.1007/bf00388474
- IUSS Working Group WRB, 2015. World Reference Base for Soil Resources 2014, update 2015. Int. soil Classif. Syst. naming soils creating legends soil maps.
- Kukavskaya E.A., Buryak L.V., Shvetsov E.G., Conard S.G., Kalenskaya O.P. The impact of increasing fire frequency on forest transformations in southern Siberia // Forest Ecology Management. 2016. V. 382. P. 225–235. https://doi.org/10.1016/j.foreco.2016.10.015
- Ludwig S.M., Alexander H.D., Kielland K., Mann P. J., Natali S.M., Ruess R.W. Fire severity effects on soil carbon and nutrients and microbial processes in a Siberian larch forest // Global Change Biology. 2018. V. 24. P. 5841–5852. https://doi.org/10.1111/gcb.14455
- Mataix-Solera J., Guerrero C., García-Orenes F., Bárcenas G.M., Torres M. P. Forest fire effects on soil microbiology // Fire Effects on Soils and Restoration Strategies. Enfield: Cerdà Science Publishers, 2009. P. 133–175.https://doi.org/10.1201/9781439843338n
- Pingree M.R.A., Kobziar L.N., 2019. The myth of the biological threshold: A review of biological responses to soil heating associated with wildland fire // Forest Ecology and Management. V. 432. P. 1022–1029. https://doi.org/10.1016/j.foreco.2018.10.032
- Prendergast-Miller M.T., DeMenezes A.B., Macdonald L.M., Toscas P., Bissett A., Baker G., Farrell M., Richardson A.E., Wark T., Thrall P.H. Wildfire impact: Natural experiment reveals differential short-term changes in soil microbial communities // Soil Biol. Biochem. 2017. V. 109. P. 1–13. https://doi.org/10.1016/j.soilbio.2017.01.027
- Pressler Y., Moore J.C., Cotrufo M.F. Belowground community responses to fire: meta-analysis reveals contrasting responses of soil microorganisms and mesofauna // Oikos. 2019. V. 128. P. 309–327. https://doi.org/10.1111/oik.05738
- Sharma U., Garima, Sharma J.C., Devi M. Effect of forest fire on soil nitrogen mineralization and microbial biomass: A review // J. Pharmacognosy Phytochemistry. 2017. V. 6. P. 682–685.
- Yeager C.M., Northup D.E., Grow C.C., Barns S.M., Kuske C.R. Changes in nitrogen-fixing and ammonia-oxidizing bacterial communities in soil of a mixed conifer forest after wildfire // Appl. Environ. Microbiol. 2005. V. 71. P. 2713–2722. https://doi.org/10.1128/AEM.71.5.2713-2722.2005
Supplementary files








