Effects of Forest Reclamation on Carbon Stocks and Respiration in Soils of Natural and Technogenic Ecosystems of Southern Karelia
- Authors: Pridacha V.B.1, Akhmetova G.V.1, Semin D.E.1
-
Affiliations:
- Forest Research Institute, Karelian Research Centre of the Russian Academy of Sciences
- Issue: No 2 (2024)
- Pages: 315-329
- Section: AGRICULTURAL CHEMISTRY AND SOIL FERTILITY
- URL: https://journal-vniispk.ru/0032-180X/article/view/261913
- DOI: https://doi.org/10.31857/S0032180X24020092
- EDN: https://elibrary.ru/XYCGQR
- ID: 261913
Cite item
Full Text
Abstract
The paper presents the results of studies on soil carbon stock dynamics, CO₂emissions and soil microbial respiration during post-industrial succession upon reforestation of a sand and gravel pit in southern Karelia. The soils of the territories of different reforestation options were studied in July 2021 and 2022. In 1991, annual Scots pine (Pinus sylvestris L.) seedlings were planted on the plots: 1) in sand and gravel mineral soil (SP 1, SP 2); 2) in peat-improved substrate (SP 3). Natural soils (Entic Podzol) of an undisturbed lingonberry-type pine forest (SP 4) served as the control. Soil total (organic) carbon, microbial activity (by using the basal and substrate-induced respiration method in the laboratory), and CO₂emission from the soil surface (under field conditions) were determined. The assessment of the properties of post-industrial soils revealed the similarity of the studied parameters in replantozem SP 3 and podzolized podbur SP 4, which indicates a positive effect of peat-enriched substrate on the recovery of the soil and vegetation cover of the sand and gravel pit. The higher values of the carbon stocks (6–10-fold) and CO₂fluxes (2–4-fold) from the surface of the replantozem (Umbric Leptosol (Novic)) SP 3 relative to those in psammozems (Skeletic Leptosol) of SP 1 and SP 2 are due to intensive organic matter accumulation processes and the application of peat substrate rich in nutrients and plant diaspores during planting. SP 1 and SP 2 had the lowest values of soil carbon stocks, CO₂emissions, microbial activity, simultaneously with low stand productivity as compared to SP 3 and SP 4. To make more accurate predictions of the dynamics of the said parameters of disturbed soils, it is necessary to take into account their spatial and temporal variability.
Full Text
ВВЕДЕНИЕ
Почвенный покров, находящийся в непосредственном контакте с атмосферой, гидросферой, литосферой и растительным покровом, занимает ключевую позицию в круговороте биогенных элементов на планете [15]. Являясь крупнейшим хранилищем углерода, лесные почвы играют важную роль в поддержании экосистемных услуг, сохранении биоразнообразия, смягчении последствий глобального изменения климата [51]. Интенсивности депонирования углерода и, напротив, эмиссии CO₂ с поверхности почв являются важнейшими показателями углеродного баланса наземных экосистем [21, 57]. По последним оценкам, глобальное дыхание почв наземных экосистем варьирует от 68 до 109 Гт C/год [49, 52], что вызывает значительную неопределенность вклада составляющих глобального углеродного баланса.
Стабильность углеродного баланса почв определяется климатическими факторами и характером землепользования [25, 53, 58, 60, 64]. Например, в засушливые годы баланс углерода в почвах может быть положительным и приводить к увеличению запасов углерода за счет уменьшения минерализационных потерь [24, 45]. На фоне повышения влагообеспеченности почв в последующие годы потери углерода в результате усиления минерализации могут возрастать, вследствие чего общий баланс в почвах будет отрицательным. Изменение баланса углерода за более продолжительные временные интервалы может быть совсем незначительным, поскольку реагировать на изменение погодных условий в первую очередь будет активный пул почвенного углерода, доля которого невелика [36]. Отмечено, что наличие осадков в засушливый период способствует увеличению скорости гетеротрофного дыхания, а их недостаток приводит к снижению биомассы корней и скорости автотрофного дыхания [47].
Многообразие методических подходов для моделирования динамики почвенного углерода приводит к существенным различиям в оценке его содержания в зависимости от региона и типа почв [3, 60]. Так, запасы углерода в метровой толще почв в естественных лесных биогеоценозах Республики Карелия значительно варьировали в зависимости от их типа и степени гидроморфизма, и составили в сосняках и ельниках 24–434 и 39–402 т/га соответственно [9]. Общий поток CO₂ с поверхности почвы в средневозрастном сосняке черничном в Южной Карелии с мая по сентябрь составил 0.8–6.8 г CO₂/(м² сут), где дыхание почвы (35–76%) преобладало над поглощением CO₂ напочвенным покровом (5–23%) [39]. Кроме того, в условиях среднетаежной подзоны Карелии выявлен вклад гетеротрофного дыхания (55–77%) в общую эмиссию CO₂ с поверхности ненарушенных почв сосняка брусничного [30], а также изменения характеристик микробиологической активности, оказывающих влияние на дыхание почвы, для трансформированных почв [10, 16, 17, 29]. На примере альфегумусовых почв контрастных видов землепользования показано 2–3-кратное увеличение содержания углерода микробной биомассы в почвах средневозрастного сосняка относительно почв пашни и сенокоса [17]. В ходе пирогенной сукцессии хвойного древостоя установлено усиление в 1.3–2.4 раза базального дыхания в верхних горизонтах лесных почв [29]. Отмечено, что после сплошных рубок среднетаежных сосняков наибольшая трансформация органического вещества лесных подстилок подзолов происходит при достижении формирующимися древостоями 7-летнего возраста [10, 16].
Интенсивное антропогенное воздействие на наземные экосистемы вызывает существенные изменения структуры почвенного покрова и свойств почв [2, 7, 28], а также процессов депонирования углерода и его эмиссии с поверхности почвы [19, 53, 58]. Кроме того, нарушенные земли, затронутые интенсивным антропогенным воздействием, становятся более уязвимыми к изменениям климата [57]. Согласно оценкам 2021 г., на территории Арктической зоны Российской Федерации площадь нарушенных горнодобывающими предприятиями земель составляет 185 тыс. га [33]. В Карелии по состоянию на 1 января 2021 г. площадь нарушенных земель, требующих посттехногенной рекультивации почв и восстановления растительных сообществ, составляет 19.4 тыс. га [13]. Известно, что восстановление почвенного и растительного покрова на нарушенных землях после добычи минеральных ископаемых открытым способом представляет собой серьезную проблему [8, 37, 38], поскольку в бореальной зоне даже относительно небольшие изменения режима землепользования могут иметь значительные последствия для глобального цикла углерода.
Восстановление почвенно-растительного покрова техногенных земель тесно связано с процессами образования органического вещества и его накопления в почвах [1, 28], которые наиболее активно происходят на начальных этапах почвообразования. Вместе с тем интенсивность накопления углерода и других биогенных элементов значительно зависит от факторов почвообразования. Использование различных подходов лесной рекультивации может значительно ускорить эти процессы [38, 44, 55]. Отмечают также, что лесовосстановление, как правило, способствует накоплению углерода в почве, смягчая таким образом последствия повышенного содержания CO₂ в атмосфере [44, 63]. Вместе с тем исследования о составляющих углеродного баланса в ходе посттехногенной сукцессии почв таежной зоны немногочисленны [1, 14, 26, 34].
Цель исследования – оценка динамики запасов почвенного углерода, эмиссии CO₂ и микробного дыхания почвы в ходе посттехногенной сукцессии при проведении лесной рекультивации песчано-гравийного карьера (ПГК) в условиях среднетаежной подзоны Карелии. Экспериментальные данные, полученные в условиях начального почвообразования на посттехногенных землях, позволят оценить интенсивность процессов образования, депонирования и эмиссии почвенного углерода при использовании различных методов рекультивации.
ОБЪЕКТЫ И МЕТОДЫ
Природно-климатические условия и почвы. Исследование проводили в европейской части средней тайги на территории отработанного карьера по добыче песчано-гравийного материала (Южная Карелия, 62.101917 N, 33.969944 E) в июле 2021–2022 гг. Климат в районе исследования относится к субарктическому типу [61] с преобладанием воздушных масс атлантического и арктического происхождения. На территории Карелии в среднем за год выпадает 550–750 мм осадков [31], их максимум приходится на теплый период (350–400 мм). Среднегодовая температура воздуха составляет +3.6°C, колеблется от +17.1°C (июль) до –8.4°C (январь) для периода с 1991 по 2020 гг. [31]. Средняя температура воздуха за вегетационный период (май–сентябрь) составляет +13°C. В районе проведения исследований вегетационный период 2021 г. характеризовался в июне–июле высокими аномалиями температуры воздуха от климатической нормы (3.2 < ΔТмес < 5.1) и дефицитом осадков (31–39%) на фоне длительной атмосферной засухи (табл. 1). Теплый в целом сезон 2022 г. (0.7 < ΔТсез < 0.8) отличался избытком осадков (128%) относительно предыдущего года (82%).
Таблица 1. Температура воздуха и количество осадков в районе исследования в период с мая по сентябрь 2021 и 2022 гг. по данным метеостанции “Кондопога” (https://rp5.ru)
Месяц | Температура воздуха, °С | Осадки | ||||||
среднемесячная | отклонение (Δ) от нормы | сумма, мм | % от нормы | |||||
2021 | 2022 | 2021 | 2022 | 2021 | 2022 | 2021 | 2022 | |
Май | 9.4 | 7.6 | 0.5 | –1.3 | 78 | 74 | 163 | 154 |
Июнь | 19.2 | 15.3 | 5.1 | 1.2 | 19 | 79 | 31 | 130 |
Июль | 20.3 | 19.1 | 3.2 | 2.0 | 32 | 77 | 39 | 94 |
Август | 15.4 | 18.3 | 0.4 | 3.3 | 103 | 81 | 127 | 100 |
Сентябрь | 8.3 | 8.8 | –1.7 | –1.2 | 62 | 97 | 105 | 164 |
Среднее за сезон | 14.5 | 13.8 | 1.5 | 0.8 | 59 | 82 | 93 | 128 |
Район исследования расположен в юго-восточной краевой части древнего докембрийского Фенноскандинавского кристаллического щита [35]. Четвертичные отложения представлены флювиогляциальными формами рельефа – узкими озовыми грядами, сложенными песком и гравием. По почвенно-географическому районированию территория относится к Карельской провинции зоны подзолистых почв, глееземов и подзолов средней тайги Европейско-Западно-Сибирской таежно-лесной почвенно-климатической области [32].
Рис. 1. Местоположение пробных площадей в районе исследования.
Объект исследования – почвы отработанного ПГК общей площадью 4 га и сопредельного ненарушенного 110-летнего сосняка брусничного. После окончания эксплуатации карьера в мае 1991 г. проведена рекультивация территории – посадка однолетних сеянцев сосны обыкновенной (Pinus sylvestris L.) на предварительно выровненном участке площадью 2 га [20]. Тогда же на участке площадью около 0.5 га сеянцы высаживали в песчаный техногенный грунт, на поверхность которого предварительно вносили торфяной субстрат. Оценку физико-химических свойств и биологической активности почвы проводили спустя 30 лет в июле 2021–2022 гг. на трех модельных участках (размер каждого 25 × 40 м) с разными вариантами рекультивации:
1) посадка сосны в песчано-гравийный минеральный грунт – пробные площади (ПП) 1 и 2;
2) в улучшенный торфом субстрат – ПП 3 (рис. 1). Из-за неоднородности напочвенного покрова ПП 3, дополнительно выделяли микросайты с доминированием зеленых мхов и черники (ПП 3-1), и злаковой растительности (ПП 3-2) (табл. 2).
Таблица 2. Характеристика древостоя и почвенно-растительного покрова исследуемых пробных площадей
ПП | Древостой (состав, возраст) | Живой напочвенный покров | Почвенный покров, строение профиля |
1 | Сосняк лишайниковый (10С, 30 лет), бонитет V.9, густота 2680 экз./га, запас древесины 12 м³/га | Общее проективное покрытие (ОПП) 60%, доминируют лишайники Stereocaulon tomentosum и Cladonia sp. | Псаммозем серогумусовый на песчано-гравийном грунте: AY(0–10 см)– BC(10–20 см)– C(ниже 20 см) |
2 | С. лишайниковый (10С, 30 лет), бонитет V.2, густота 3280 экз./га, запас древесины 20 м³/га | ОПП 50%, доминируют лишайники Cladonia sp. и Stereocaulon tomentosum | |
3-1 | С. черничный (10С, 30 лет), бонитет II.5, густота 2990 экз./га, запас древесины 144 м³/га | ОПП 90%, доминируют Vaccinim myrtillus L., Pleurozium schreberi (Brid.) Mitt, Dicranum scoparium Hedw. | Реплантозем серогумусовый на песчано-гравийном грунте при поверхностном внесении торфяного субстрата: О(0+1/0+0.2 см)– AY(0–10 см)– BC(10–25 см)– C(ниже 25 см) |
3-2 | ОПП 90%, доминируют Calamagrostis arundinacea (L.) Roth, Deschampsia cespitosa (L.) Beauv., Filipendula ulmaria (L.) Maxim., Dicranum sp. | ||
4 | С. брусничный (9С1Б+Е ед., 110 лет), бонитет IV.0, густота 1170 экз./га, запас древесины 346 м³/га | ОПП 60%, доминируют Vaccinim vitis-idaea L., Pleurozium schreberi (Brid.) Mitt | Подбур оподзоленный на песчано-гравийных флювиогляциальных отложениях: О(0+2 см)– BFe(0–5см)– BF(5–25 см)– BC(25–50 см) |
Примечание. Глубина минеральных горизонтов приведена без учета мощности лесной подстилки.
Контролем послужили естественные почвы ненарушенного 110-летнего сосняка брусничного (ПП 4, 30 × 40 м), оставшегося от существовавшего на данной территории до начала разработки карьера лесного насаждения. Характеристика пробных площадей – информация о полноте древостоя, видовом составе напочвенного покрова, морфологическое описание почв, приведена в работе [20].
Методы исследования почвенных свойств. Для исследования физико-химических свойств почв на каждой ПП были заложены полнопрофильные почвенные разрезы (до материнской породы) в 3-кратной повторности и ряд прикопок (охватывающие два верхних минеральных горизонта) в 7-кратной повторности. Отбор почвенных образцов проводили по генетическим горизонтам. В лабораторных условиях почвенные образцы высушивали до воздушно сухого состояния и просеивали через сито 2 мм. Определение плотности почвы, в связи с ее высокой степенью каменистости (табл. 3), проводили с учетом доли крупнозема согласно предложенному Ф.Р. Зайдельманом методу [12]. Отбор образцов лесной подстилки для определения ее запасов проводили в 7-кратной повторности при помощи рамки размером 20 × 20 см. В лабораторных условиях подстилку высушивали до воздушно сухого состояния и взвешивали. Рассчитывали коэффициент гигроскопичности для перевода в абсолютно сухой вес.
Таблица 3. Физические показатели почв исследуемых пробных площадей природно-техногенных территорий среднетаежной подзоны Карелии
Показатель | ПП 1 | ПП 2 | ПП 3 | ПП 4 | ||||||||
горизонт | ||||||||||||
AY | BC | C | AY | BC | C | AY | BC | C | BFe | BF | BC | |
Каменистость, % | 31 | 42 | 36 | 34 | 45 | 38 | 17 | 19 | 37 | 5 | 11 | 25 |
Плотность, г/см³ | 1.5 | 1.6 | 1.7 | 1.6 | 1.7 | 1.8 | 0.9 | 1.5 | 1.6 | 0.8 | 1.2 | 1.4 |
Примечание. Названия почв и мощность их горизонтов приведены в табл. 2.
Определение содержания органического углерода (soil organic carbon, SOC, %) и общего азота (total nitrogen, TN, %) в почвенных образцах проводили с помощью элементного анализатора РЕ-2400 (Perkin Elmer, США). Поскольку в исследуемых почвах карбонаты отсутствуют, то содержание SOC можно принять равным содержанию общего С [36]. Запасы углерода (SOCstock, т/га) лесной подстилки рассчитывали с помощью умножения запасов каждого выделенного слоя подстилки на содержание в ней углерода. Величины SOCstock (т/га) минеральной части почвы рассчитывали для каждого горизонта с учетом его плотности (ρ, г/см³), мощности (h, см) и содержания углерода (SOC, %). Также учитывали степень каменистости почв (st, %), так как изучаемые почвы отличаются высоким содержанием механических частиц более 2 мм:
(1)
Поскольку мощность горизонтов почв разных ПП различается, сравнивали SOCstock в фиксированном слое (0–10, 10–30, 30–50 см) всех экспериментальных участков.
Микробиологический анализ почв. Скорость базального (микробного) дыхания почвы (basal respiration, BR, мкг C/(г ч)) определяли по величине выделения CO₂почвой (корни удалены просеиванием через сито с ячейками 2 мм) после 7 сут предварительной инкубации при температуре воздуха 22°C и 60% полевой влагоемкости [5, 6] с помощью портативного газоанализатора на базе инфракрасного сенсора AZ 7722 (AZ Instrument Corp., Тайвань). Содержание углерода микробной биомассы в почве (Сmic, мкг С/г почвы) определяли методом субстрат-индуцированного дыхания с учетом величины выделения CO₂ из почвы после обогащения ее глюкозой из расчета 10 мг/г почвы (substrate-induced respiration, SIR, мкл CO₂/(г почвы ч)) и рассчитывали по формуле [40]:
. (2)
Коэффициент микробного дыхания (QR) рассчитывали согласно работе [11] как отношение скоростей выделения CO₂ из необогащенной почвы (BR) и почвы, в которую внесен избыток глюкозы (SIR).
Эмиссию CO₂ с поверхности почвы измеряли методом закрытых камер c помощью портативного инфракрасного газоанализатора LI-8100А (LI–Cor Inc., США). Полевые исследования почвенной эмиссии на всех ПП проводили с 12 до 16 ч в июле 2021 и 2022 гг. в дни без осадков с периодичностью 4 раза в месяц. Для проведения измерений на каждой ПП устанавливали по 6 колец из поливинилхлорида диаметром 20 см и высотой 12 см на глубину 6 см. Кольца устанавливали в межкроновой зоне деревьев между растениями травяно-кустарничкового яруса. Расстояние между кольцами составляло 3–5 м. Измерения величины потока CO₂ с поверхности почв проводили в течение 90 с с интервалом в 30 с между измерениями согласно штатной конфигурации прибора [54] в 3-кратной повторности для каждого кольца. Температуру почвы и объемную влажность почвы в корнеобитаемом слое (0–20 см) регистрировали с помощью датчиков температуры почвы (Omega, США) и объемной влажности почвы ЕСН₂О ЕС-5 (Decagon Devices, Inc., США) возле каждого кольца в момент измерения эмиссии CO₂. Принцип работы датчиков влажности почвы ЕСН₂О ЕС-5 (Decagon Devices, Inc., США) основан на регистрации диэлектрической проницаемости почвы [54].
Статистический анализ. Статистическую обработку данных проводили с использованием программы Statistica 13.3 (TIBCO Software Inc., США). Статистически значимыми считали различия при р < 0.05. Для оценки существенных различий между средними величинами использовали критерий Тьюки и непараметрический критерий Мана-Уитни. Оценку влияния фитоценотических условий и года исследования на почвенную эмиссию CO₂, температуру и объемную влажность почв проводили с помощью двухфакторного дисперсионного анализа. Анализ взаимосвязи между почвенной эмиссией CO₂ и температурой почв проводили с помощью коэффициентов корреляции Пирсона. На диаграммах и в таблицах приведены средние значения и их стандартные ошибки.
РЕЗУЛЬТАТЫ И ОБСУЖДЕНИЕ
Содержание углерода и азота в почве. Применение различных методов рекультивации территории ПГК оказало значительное влияние на содержание в почве главных биофильных элементов – С и N. Для псаммоземов ПП 1 и ПП 2 по сравнению с почвами ПП 3 и ПП 4 отмечены наименьшие значения SOC (табл. 4) в верхнем минеральном горизонте (р < 0.05), его распределение по профилю носит равномерно-аккумулятивный характер – постепенное снижение с глубиной. Величины SOC в исследуемых посттехногенных почвах соотносятся со значениями таковых в почвах, формирующихся на отвалах песчаных карьеров в Республике Коми в условиях искусственного лесовосстановления сосны [27]. Отмечено, что содержание углерода в посттехногенных почвах может быть использовано в качестве индикатора восстановления экосистемы [48, 62]. По сравнению с почвами контрольного участка ПП 4, в почвах ПП 1 и ПП 2 по прошествии 30 лет после начала восстановления в верхних минеральных горизонтах содержание SOC и TN на порядок ниже, что связано с небольшим количеством опада и скудной напочвенной растительностью. Соотношение SOC/TN в почвах ПП 1 и ПП 2 широкое – более 30, что, очевидно, связано с низким качеством опада, который представлен хвоей и лишайниковой растительностью.
Таблица 4. Химические и микробиологические свойства почвы исследуемых участков природно-техногенных территорий среднетаежной подзоны Карелии
Горизонт (глубина, см) | SOC, % | TN, % | SOC/ TN | BR, мкг C/(г ч) | QR | Сmic, мкг C/г | Сmic/ SOC, % |
ПП 1 (Псаммозем серогумусовый) | |||||||
AY (0–10) | 0.5±0.06 А | 0.01±0.002 A | 31±1.2 A | 0.25±0.02 A | 0.03±0.0 A | 271±10.4 A | 5.63±0.48 A |
ВС (10–20) | 0.4±0.03 А* | 0.01±0.0 A* | 31±2.7 A* | 0.12±0.02 A* | 0.06±0.01 A* | 71±2.6 A* | 1.64±0.36 A* |
С (>20) | 0.3±0.03 А** | 0.01±0.0 A** | 24±2.3 A** | 0.14±0.02 A** | 0.21±0.05 A** | 18±1.9 A** | 0.59±0.15 A** |
ПП 2 (Псаммозем серогумусовый) | |||||||
AY (0–10) | 0.7±0.04 A | 0.04±0.005 B | 21±4.6 A | 0.28±0.03 A | 0.04±0.0 A | 264±8.0 A | 3.60±0.11 B |
ВС (10–20) | 0.6±0.06 В* | 0.02±0.004 B* | 34±9.3 A* | 0.22±0.0 2 B* | 0.11±0.01 B* | 80±3.5 A* | 1.39±0.10 B* |
С (>20) | 0.4±0.02 В** | 0.01±0.0 A** | 35±1.4 B** | 0.25±0.002 B** | 0.47±0.13 A** | 27±7.3 A** | 0.34±0.18 A** |
ПП 3-1 (Реплантозем серогумусовый) | |||||||
О (0+1) | 27.0±1.1 a | 1.11±0.07 a | 21±1.4 a | 31.43±1.62 a | 0.37±0.02 a | 3442±187 a | 1.28±0.08 a |
AY (0–10) | 6.7±0.63 B | 0.34±0.03 C | 17±1.0 B | 2.72±0.12 B | 0.26±0.02 B | 416±26 B | 0.64±0.04 C |
ВС (10–25) | 0.8±0.18 В* | 0.04±0.01 B* | 23±5.0 AB* | 0.32±0.03 B* | 0.17±0.01 C* | 75±6.1 A* | 1.12±0.16 B* |
С (>25) | 0.4±0.05 AB** | 0.01±0.0 A** | 33±5.6 AB** | 0.30±0.07 C** | 0.21±0.05 A** | 72±5.5 B** | 0.68±0.32 C** |
ПП 3-2 (Реплантозем серогумусовый) | |||||||
O (0+0.2) | 32.8±0.57 b | 1.13±0.063 a | 25±1.3 a | 41.13±3.26 b | 0.28±0.01 b | 5768±417 b | 1.76±0.11 b |
AY (0–10) | 8.3±0.53 B | 0.57±0.04 D | 13±0.5 C | 2.49±0.18 B | 0.19±0.01 C | 533±52 B | 0.64±0.04 C |
ВС (10–25) | 2.7±0.52 C* | 0.19±0.05 C* | 14±1.7 A* | 0.85±0.11 C* | 0.29±0.01 D* | 113±13 В* | 0.41±0.11 D* |
С (>25) | 0.3±0.0 A** | 0.04±0.0 B** | 7±0.0 C** | 0.34±0.04 C** | 0.41±0.05 A** | 32±2.2 AB** | 0.99±0.06 C** |
ПП 4 (Подбур оподзоленный) | |||||||
O (0+2) | 38.3±0.98 c | 0.78±0.016 b | 42±0.6 b | 39.53±3.02 ab | 0.22±0.01 b | 6491±327 c | 1.77±0.08 b |
BFe (0–5) | 8.0±1.51 B | 0.16±0.006 E | 24±0.1 A | 5.35±0.4 C | 0.24±0.02 B | 758±34 C | 1.02±0.14 D |
BF (5–25) | 1.3±0.17 C* | 0.04±0.0 B* | 24±3.4 B* | 1.21±0.14 C* | 0.23±0.02 D* | 247±51 C* | 1.34±0.33 A* |
BC (25–50) | 0.9±0.07 C** | 0.03±0.004 B** | 22±4.4 AB** | 0.50±0.05 C** | 0.56±0.06 A** | 38±9 A** | 0.41±0.06 A** |
Примечание. Различные буквы указывают на значимые различия средних (р < 0.05) при сравнении свойств каждого горизонта между ПП (a, b, c – для лесной подстилки; A, B, C – для горизонта AY/BFe; A*, B*, C* – для ВС/BF; A**, B**, C** – для С/ВС).
В реплантоземах ПП 3-1 и ПП 3-2, напротив, отмечено высокое содержание SOC относительно такового на ПП 1 и ПП 2. Однако относительно контрольных почв ПП 4, маломощная лесная подстилка ПП 3-1 и ПП 3-2 отличается более низкими значениями содержания SOC – в 1.4 и 1.2 раза соответственно (р < 0.05). При этом в верхних минеральных горизонтах почв ПП 3-1 и ПП 3-2 содержание SOC достигает схожих значений с природными фоновыми почвами ПП 4 (p > 0.05). Распределение SOC по профилю почв ПП 3-1 и ПП 3-2 носит регрессивно-аккумулятивный характер – резкое снижение с глубиной. Подобная закономерность характерна и для TN – максимальные значения отмечены в подстилке (1%) и верхнем подподстилочном минеральном горизонте (0.3–0.6%) ПП 3-1 и ПП 3-2. Величина соотношения SOC/TN в почвах ПП 3 меньше относительно таковой на ПП 1 и ПП 2, что также свидетельствует о лучших условиях трансформации органического материала и обогащении его биогенными элементами. Отмеченное более высокое накопление SOC и TN в корнеобитаемом слое реплантоземов ПП 3-1 и ПП 3-2 относительно псаммоземов ПП 1 и ПП 2 обусловлено, очевидно, положительным действием внесенного на начальном этапе формирования почв торфяного субстрата, а также доминированием высших растений в составе напочвенного покрова [20]. Как известно, появление видов сосудистых растений значительно стимулирует накопление гумуса в почве, по сравнению с участками, занятыми лишайниковой и моховой растительностью [28].
Запасы почвенного углерода. Сравнительная оценка SOCstock на разных ПП показала его значительное варьирование в зависимости от способа рекультивации (рис. 2). В корнеобитаемом слое (0–50 см) почв ПП 1 и ПП 2 значения SOCstock наиболее низкие (12–16 т С/га) относительно таковых в почвах ПП 3-1, ПП 3-2 и ПП 4 (р < 0.05). При этом сопоставление величин SOCstock в псаммоземах выявило сходство показателя (p > 0.05) в верхних минеральных слоях (0–10 см) почв ПП 1 и ПП 2, и, напротив, в 1.5 раза более высокие значения SOCstock в слое 10–30 см почв ПП 2 относительно таковых для ПП 1 (р < 0.05). Этот факт можно объяснить более высокими показателями продуктивности 30-летних культур сосны на ПП 2 [20] на фоне большей обеспеченности азотом верхних минеральных слоев, следовательно, бо́льшим количеством растительного опада относительно таковых на ПП 1.
Рис. 2. Запасы углерода (SOCstock) посттехногенных (ПП 1, ПП 2, ПП 3-1, ПП 3-2) и природных почв (ПП 4) среднетаежной подзоны Карелии. Различные буквы указывают на значимые различия средних (р < 0.05) при сравнении каждого горизонта между ПП (a, b – для слоя лесной подстилки; A, B, C, D – для слоя 0–10 см; A*, B*, C* – для слоя 10–30 см; A**, B**, C**, D** – для слоя 30–50 см).
В реплантоземе ПП 3-1 по сравнению с псаммоземами ПП 1 и ПП 2 величина SOCstock значительно выше (р < 0.05) и сопоставима с таковой почв контроля ПП 4 (около 60–70 т/га). Важно отметить внутрипрофильные различия в накоплении углерода для природных и посттехногенных почв. Так, если для почв ПП 3-1 на долю подстилки приходится 8% SOCstock, то в лесной подстилке ненарушенных почв ПП 4 величина SOCstock была значимо выше (р < 0.05) и составила 37%, что характерно для естественных лесных биогеоценозов [22, 56]. При этом в условиях ПП 3-1 бо́льшая часть углерода накапливается в верхнем минеральном наиболее гумусированном слое почвы.
Высокие значения SOCstock выявлены и в почвах ПП 3-2 (около 120 т С/га). Однако на лесную подстилку на ПП 3-2 также, как на ПП 3-1, приходится небольшая доля (4%) от общих запасов. Низкий уровень SOCstock в подстилках формирующихся почв ПП 3-1 и ПП 3-2, очевидно, связан с меньшей мощностью органогенного горизонта и плотностью его сложения относительно таковых для природных ненарушенных почв ПП 4. Вместе с тем половина запасов SOCstock почв ПП 3-2 сосредоточена в минеральном слое 0–10 см. Высокие значения SOCstock отмечены и для нижележащего слоя ПП 3-2 (10–30 см), что свидетельствует о большей мощности слоя почвы, в котором происходят активные процессы гумусонакопления органического вещества. Ниже 30 см эти процессы резко снижают свою активность и различия в запасах углерода в слое 30–50 см всех изученных почв менее значительные. Важно отметить, что, несмотря на одинаковые начальные условия почвообразования для ПП 3-1 и ПП 3-2, более высокое накопление SOC выявлено в почвах ПП 3-2, где в составе живого напочвенного покрова доминирует злаковая растительность. Ранее показано [28], что из травянистых растений именно под злаковой растительностью с густой сетью мелких корней гумусонакопление происходит наиболее активно.
Многие исследователи процессов почвообразования в посттехногенных экосистемах [1, 7, 28] также отмечают наиболее быстрое накопление органического вещества на первых этапах восстановления почвенного покрова. Однако длительность этого периода может значительно варьировать в зависимости от различных факторов, к главным из которых относят литогенные особенности отвалов [28]. Например, на более бедных отвалах или породах почвообразовательный процесс будет более длительным, что хорошо согласуется с полученными данными о наиболее низких значениях SOCstock в псаммоземах ПП 1 и ПП 2.
Скорость базального дыхания. Сопоставление интенсивности микробного (базального) дыхания почвенных образцов участков постехногенной и ненарушенной территории выявило значительное варьирование данного показателя (табл. 4). Так, наиболее высокие значения BR отмечены для подстилок реплантоземов ПП 3, достигающие таковых для лесных подстилок естественных почв ПП 4. Вместе с тем в подстилке реплантозема ПП 3-1, сформированной под типичной для среднетаежной зоны растительностью, величина BR в 1.3 раза значимо ниже (p < 0.05), чем в маломощной задернованной подстилке ПП 3-2. В минеральных горизонтах посттехногенных почв диапазон значений BR значительно меньше, чем в почвах ПП 4 и составляет от 0.25–0.28 (ПП 1 и ПП 2) до 2.5–2.7 мкг С/(г ч) (ПП 3-1 и ПП 3-2). В условиях всех ПП отмечена тенденция преимущественного снижения величины BR вниз по почвенному профилю. Данные о BR микробоценоза почв позволяют оценить их потенциальную биологическую активность [4, 40]. Полученные нами результаты о BR в целом отражают ожидаемо наиболее высокую микробиологическую активность естественных почв ненарушенного сосняка брусничного относительно посттехногенных почв территории ПГК.
Углерод микробной биомассы. Как известно, Сmic тесно связан с SOC, так как является функционально активной частью органического вещества почвы [5, 6, 23], поэтому наблюдаются сходные закономерности изменения содержания данного показателя. В верхних минеральных слоях псаммоземов ПП 1 и ПП 2 значения Сmic составляют 260–270 мкг С/г, тогда как в реплантоземах ПП 3-1 и ПП 3-2 – почти в два раза выше и приближаются к значениям, характерным для почв контрольного участка ПП 4 (табл. 4). Ранее была показана чувствительность показателя Сmic к смене землепользования [23]. В нижележащих горизонтах почв всех исследуемых ПП уровень содержания Сmic, также, как SOC, резко снижается.
Доля Сmic в составе SOC (Cmic/SOC) служит показателем доступности углерода для почвенных микроорганизмов [4]. Установлено, что для почв контрольного участка ПП 4 этот показатель составляет около 1%, что считается довольно низким значением [18]. Бóльшие значения Сmic/SOC говорят о высокой потенциальной доступности углерода и закреплении его в микробной биомассе [41]. Максимальное закрепление SOC в микробной биомассе выявлено в верхних горизонтах почв ПП 1 и ПП 2 (4–5%). В условиях ПП 3-1 и ПП 3-2 этот показатель значимо ниже (p < 0.05) и близок к показателям контрольного участка ПП 4. Отмечают также, что со временем при посттехногенном восстановлении почв отношение Сmic/SOC может уменьшаться [50].
Коэффициент микробного дыхания (QR) является интегральным показателем биологической активности почв, поскольку отражает одновременно изменения базального (BR) и субстрат-индуцированного дыхания (SIR), может применяться для оценки неблагоприятных условий почвы и окружающей среды [11, 42]. Для почв ПП 1 и ПП 2 получены самые низкие величины QR относительно таковых для ПП 3 и ПП 4 (p < 0.05), что связано с дефицитом элементов минерального питания. Самые оптимальные величины QR отмечены для минеральных горизонтов реплантоземов ПП 3-1 и 3-2 (табл. 4). Более высокие значения коэффициента (более 0.3) могут свидетельствовать о нестабильном состоянии почвенного микробного сообщества [11]. Повышенные значения QR подстилок, вероятно, можно объяснить тем, что микробное сообщество подстилки функционирует в условиях постоянного избытка доступного субстрата, поэтому величины BR и SIR органогенных горизонтов различаются в меньшей степени относительно таковых в минеральных горизонтах почв. Тогда как повышение величины QR в нижних горизонтах почв может свидетельствовать о неблагоприятных условиях функционирования микробоценоза.
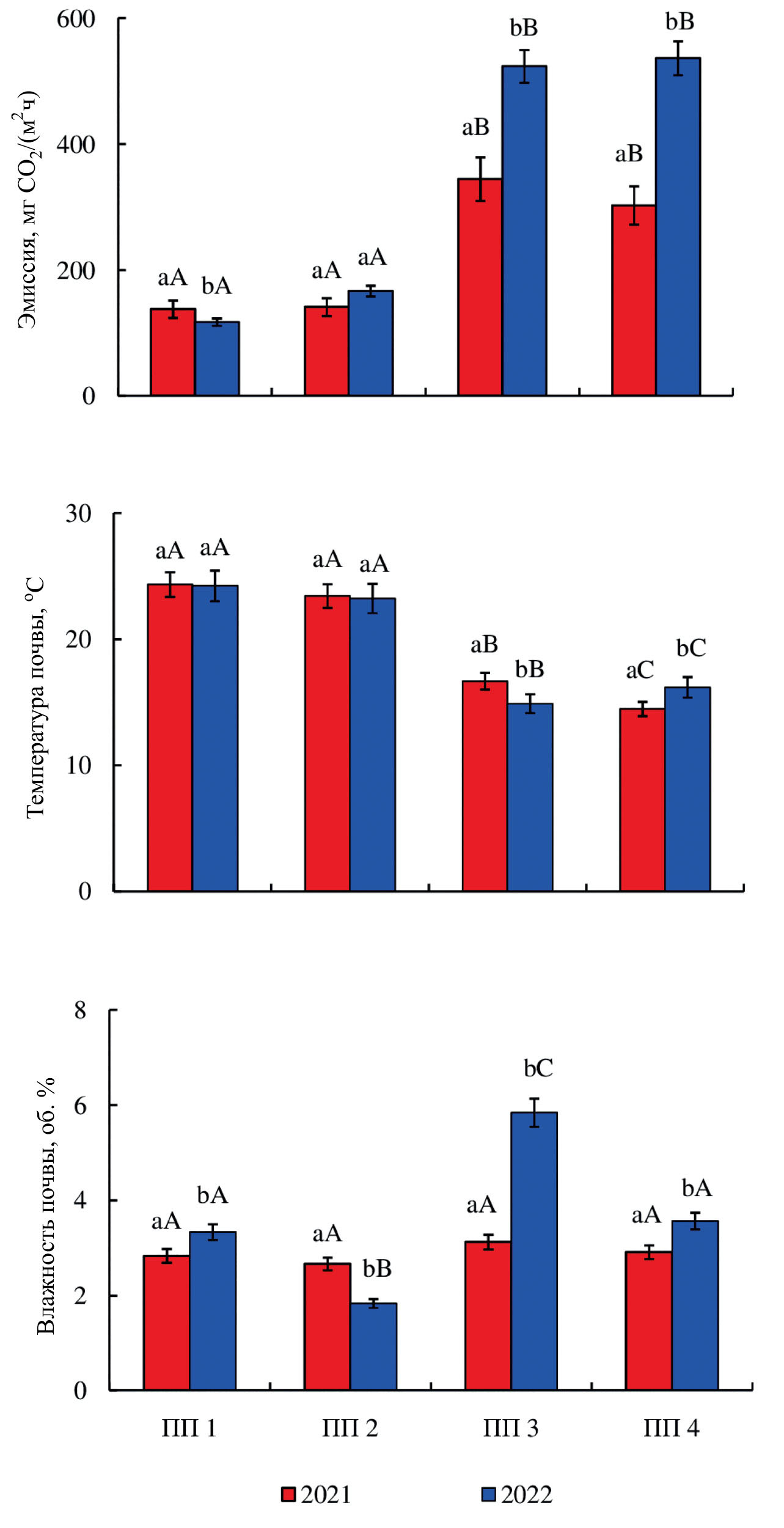
Эмиссия CO₂ с поверхности почв. Проведенный анализ результатов полевых исследований дыхания с поверхности почвы и ее гидротермических характеристик в июле 2021 и 2022 гг. выявил значимое влияние как фитоценотических условий, так и года исследований на величину почвенной эмиссии CO₂ и объемную влажность почвы (табл. 5). Исключение составила температура почвы, которая была более стабильной (p > 0.05) в межгодовой динамике относительно других показателей. Следует отметить, что во всех случаях на исследуемые показатели наибольшее влияние оказали фитоценотические условия, степень влияния которых составила для дыхания почвы, температуры и объемной влажности почвы 55, 82 и 21% соответственно. Наибольшая зависимость температуры почвы от фитоценотических условий по сравнению с другими показателями может быть обусловлена разной полнотой [20] и, соответственно, сомкнутостью полога древостоев на разных ПП, которая обеспечивает более высокую степень прогрева почвы на ПП 1 и ПП 2 с низкой сомкнутостью крон (0.3–0.4) относительно ПП 3 и ПП 4 с высокими значениями таковой (1.0–1.1).
Таблица 5. Результаты двухфакторного дисперсионного анализа влияния фитоценотических условий и года исследований на почвенную эмиссию CO₂ (ЭМCO₂), температуру почвы (Ts) и объемную влажность почвы (VWC) (слой 0–20 см)
Показатель | Фактор | |||||
фитоценотические условия | год исследования | взаимодействие факторов | ||||
p | η2 | p | η2 | p | η2 | |
ЭМCO₂, мг CO₂/(м² ч) | *** | 55.0 | *** | 6.9 | *** | 7.6 |
Ts, °С | *** | 82.4 | ns | 0.1 | *** | 1.8 |
VWC, об.% | *** | 21.2 | *** | 4.8 | *** | 13.4 |
Примечание. * р < 0.05, ** р < 0.01, *** р < 0.001, ns– не значимо (p > 0.05); η2 – сила влияния фактора.
Значимо меньшие (p < 0.05) величины почвенной эмиссии (рис. 3) отмечены в условиях псаммоземов ПП 1 (138.6–117.9 мг CO₂/(м² ч)) и ПП 2 (141.7–167.2 мг CO₂/(м² ч)) по сравнению с реплантоземом ПП 3 (344.9–523.5 мг CO₂/(м² ч)) и естественными почвами ПП 4 (302.9–536.4 мг CO₂/(м² ч)). Вместе с тем значения потока CO₂ с поверхности почв ПП 3 были схожими (p > 0.05) с таковыми на ПП 4 в оба года исследования. Факт более высоких значений дыхания почвы в посттехногенных (ПП 3) и фоновых природных условиях (ПП 4) можно объяснить как лучшим плодородием почв ПП 3 и ПП 4 относительно ПП 1 и ПП 2, так и вкладом лесной подстилки [46, 59], а также бо́льшим вкладом корневого дыхания вследствие большей биомассы корней более высокопродуктивных древостоев. Представляется вероятным и больший вклад гетеротрофного дыхания в общую эмиссию CO₂ [43, 57] с поверхности почв ПП 3 и ПП 4, что хорошо согласуется с полученными более высокими значениями показателей функциональной активности микробоценоза почв ПП 3 и ПП 4 относительно таковых для ПП 1 и ПП 2, в частности измеренного в лабораторных условиях почвенного BR, содержания Cmic и коэффициента QR.
Рис. 3. Пространственно-временные изменения эмиссии CO₂ с поверхности почв, температуры и объемной влажности почвы (слой 0–20 см) посттехногенных (ПП 1, ПП 2, ПП 3) и природных почв (ПП 4) среднетаежной подзоны Карелии в июле 2021 и 2022 г. Различные строчные буквы (a, b) указывают на значимые различия средних (р < 0.05) при сравнении одной ПП в разные годы; различные прописные буквы (А, В, С) указывают на значимые различия (р < 0.05) между разными ПП за один год.
Кроме того, отмеченные различия могут быть связаны с термическим режимом почвы ПП 1 и ПП 2, температура которых в июле 2021 и 2022 г. в 1.6 раза превышала таковую почв ПП 3 и ПП 4. Проведенная оценка сопряженности изменчивости величины почвенной эмиссии CO₂ на разных ПП и температуры почвы в июле 2021 и 2022 гг. выявила значимую обратную зависимость показателей (r = –0.65, p < 0.05), ранее отмеченную и другими исследователями [57]. При этом значимой взаимосвязи величины потока CO₂ с поверхности почв и объемной влажности почвы в исследуемом градиенте экологических условий за отмеченный период выявлено не было (p > 0.05). Вместе с тем важно отметить значимое увеличение (p < 0.05) почвенного дыхания в условиях ПП 3 и ПП 4 (в 1.5 и 1.8 раза соответственно) во влажный сезон 2022 г. относительно засушливого 2021 г. Бо́льшая стабилизация значений почвенной эмиссии в межгодовой динамике в условиях ПП 1 и ПП 2, вероятно, может быть обусловлена более высоким испарением влаги вследствие большего прогрева почвы на фоне отсутствия лесной подстилки по сравнению с показателями ПП 3 и ПП 4.
Проведенная в июле 2022 г. сравнительная оценка величины потока CO₂ с поверхности почв ПП 3 с учетом доминирования в составе напочвенного покрова зеленых мхов и черники (ПП 3-1) и злаковой растительности (ПП 3-2) выявила их значимое различие (p < 0.05). Так, на фоне схожих внешних условий почвенная эмиссия CO₂ на ПП 3-2 превышала в 1.6 раза таковую на ПП 3-1 и составила 617.9 мг CO₂/м² ч. При этом величина BR в верхнем наиболее активном минеральном горизонте (0–10 см) была схожей (p > 0.05) для микросайта ПП 3-1 и ПП 3-2 и составила 234–257 мг CO₂/(м² ч). Отмеченный более высокий уровень почвенного дыхания на ПП 3-2, очевидно, может быть обусловлен бо́льшим вкладом автотрофного дыхания вследствие большей биомассы корней злаковой растительности относительно ПП 3-1.
ЗАКЛЮЧЕНИЕ
Исследование влияния различных приемов лесной рекультивации посттехногенной территории ПГК на составляющие углеродного баланса показало существенные различия в интенсивности процессов образования и депонирования почвенного углерода и эмиссии CO₂ с поверхности почвы. Рост сосны на песчано-гравийных минеральных грунтах без удобрения торфяным субстратом (ПП 1 и ПП 2) способствовал образованию и накоплению органического вещества. Однако интенсивность процессов почвообразования была невысокой, о чем свидетельствуют низкие параметры депонирования углерода в почвах, минимальные значения почвенной эмиссии CO₂ и нестабильное состояние микробного сообщества, которое функционирует в неблагоприятных условиях. Прежде всего, это связано с низкой обеспеченностью техногенных грунтов питательными веществами, необходимыми для роста и развития микробоценоза, напочвенного покрова и древесных растений. Вместе с тем использование богатого питательными веществами и диаспорами растений торфяного субстрата при посадке саженцев сосны значительно ускорило процессы восстановления почвенно-растительного покрова и формирования высокопродуктивного древостоя (ПП 3). Значительное накопление органического углерода в реплантоземах индуцирует усиление дыхательной активности почв, в частности увеличение показателей функциональной активности микробоценоза, до значений, характерных для природных ненарушенных почв (ПП 4). Таким образом, превращение нарушенных земель в лесные экосистемы позволяет значительно увеличить депонирование углерода в почве и улучшить свойства техногенных грунтов для более эффективного землепользования. Полученные результаты могут быть использованы для прогнозных оценок трансформации почвенно-растительного покрова посттехногенных экосистем в различных пространственных и временных масштабах.
ФИНАНСИРОВАНИЕ РАБОТЫ
Финансовое обеспечение исследований осуществлялось из средств федерального бюджета на выполнение государственного задания КарНЦ РАН (Институт леса КарНЦ РАН). Исследования выполнены на научном оборудовании Центра коллективного пользования Федерального исследовательского центра “Карельский научный центр Российской академии наук”.
КОНФЛИКТ ИНТЕРЕСОВ
Авторы заявляют, что у них нет конфликта интересов.
About the authors
V. B. Pridacha
Forest Research Institute, Karelian Research Centre of the Russian Academy of Sciences
Author for correspondence.
Email: pridacha@krc.karelia.ru
Russian Federation, Petrozavodsk, 185910
G. V. Akhmetova
Forest Research Institute, Karelian Research Centre of the Russian Academy of Sciences
Email: akhmetovagv@gmail.com
Russian Federation, Petrozavodsk, 185910
D. E. Semin
Forest Research Institute, Karelian Research Centre of the Russian Academy of Sciences
Email: pridacha@krc.karelia.ru
Russian Federation, Petrozavodsk, 185910
References
- Абакумов Е.А., Гагарина Э.И. Гумусовое состояние почв заброшенных карьерно-отвальных комплексов Ленинградской области // Почвоведение. 2008. № 3. С. 287–298.
- Абакумов Е.А., Гагарина Э.И. Почвообразование в посттехногенных экосистемах карьеров на Северо-Западе русской равнины. СПб.: Изд-во СПбГУ, 2006. 208 с.
- Абакумов Е.В., Поляков В.И., Чуков С.Н. Подходы и методы изучения органического вещества почв карбоновых полигонов России (обзор) // Почвоведение. 2022. № 7. С. 773–786. https://doi.org/10.31857/S0032180X22070024
- Ананьева Н.Д. Микробиологические аспекты самоочищения и устойчивости почв. М.: Наука, 2003. 223 с.
- Ананьева Н.Д., Сусьян Е.А., Рыжова И.М., Бочарникова Е.О., Стольникова Е.В. Углерод микробной биомассы и микробное продуцирование двуокиси углерода дерново-подзолистыми почвами постагрогенных биоценозов и коренных ельников Южной тайги (Костромская область) // Почвоведение. 2009. № 9. С. 1109–1116.
- Ананьева Н.Д., Сушко С.В., Иващенко К.В., Васенев В.И. Микробное дыхание почв подтайги и лесостепи европейской части России: полевой и лабораторный подходы // Почвоведение. 2020. № 10. С. 1276–1286. https://doi.org/10.31857/S0032180X20100044
- Андроханов В.А., Курачев В.М. Почвенно-экологическое состояние техногенных ландшафтов: динамика и оценка. Новосибирск: Изд-во СО РАН, 2010. 224 с.
- Арчегова И.Б., Кузнецова Е.Г., Лиханова И.А., Панюков А.Н., Хабибуллина Ф.М., Виноградова Ю.А. Формирование лесных экосистем на посттехногенных территориях в таежной зоне. Сыктывкар: Изд-во Коми НЦ УрО РАН, 2015. 140 с.
- Бахмет О.Н. Запасы углерода в почвах сосновых и еловых лесов Карелии // Лесоведение. 2018. № 1. С. 48–55. https://doi.org/10.7868/S0024114818010047
- Бахмет О.Н., Медведева М.В. Изменение свойств почв Карелии в процессе искусственного лесовосстановления // Лесоведение. 2013. № 3. С. 38–45.
- Благодатская Е.В., Ананьева Н.Д., Мякишина Т.Н. Характеристика состояния микробного сообщества почвы по величине метаболического коэффициента // Почвоведение. 1995. № 2. С. 205–210.
- Вадюнина А.Ф., Корчагина З.А. Методы исследования физических свойств почв. М.: Агропромиздат, 1986. 416 с.
- Государственный доклад о состоянии окружающей среды Республики Карелия в 2021 г. Петрозаводск, 2022. 263 с.
- Гродницкая И.Д., Трефилова О.В., Шишикин А.С. Агрохимические и микробиологические свойства техногенных почв отвалов (Канско-Рыбинская котловина) // Почвоведение. 2010. № 7. С. 867–878.
- Добровольский Г.В., Бабьева И.П., Богатырев Л.Г. и др. Структурно-функциональная роль почв и почвенной биоты в биосфере. М.: Наука, 2003. 364 с.
- Долгая В.А., Бахмет О.Н. Свойства лесных подстилок на ранних этапах естественного лесовозобновления после сплошных рубок в средней тайге Карелии // Лесоведение. 2021. № 1. С. 65–77. https://doi.org/10.31857/S0024114821010022
- Дубровина И.А., Мошкина Е.В., Туюнен А.В., Геникова Н.В., Карпечко А.Ю., Медведева М.В. Динамика свойств почв и экосистемные запасы углерода при разных типах землепользования (средняя тайга Карелии) // Почвоведение. 2022. № 9. C. 1112–1125. https://doi.org/10.31857/S0032180X22090052
- Завьялова Н.Е., Васбиева М.Т., Фомин Д.С. Микробная биомасса, дыхательная активность и азотфиксация в дерново-подзолистой почве Предуралья при различном сельскохозяйственном использовании // Почвоведение. 2020. № 3. С. 372–378. https://doi.org/10.31857/S0032180X20030120
- Кадулин М.С., Копцик Г.Н. Изменения потока диоксида углерода из почв лесных экосистем под воздействием техногенного загрязнения в Кольской Субарктике // Почвоведение. 2021. № 10. С. 1281–1292. https://doi.org/10.31857/S0032180X21100075
- Костина Е.Э., Ахметова Г.В., Пеккоев А.Н., Харитонов В.А., Крышень А.М. Формирование растительного покрова при лесной рекультивации песчано-гравийного карьера в Республике Карелия // Растительные ресурсы. 2022. № 3. С. 290–310. https://doi.org/10.31857/S0033994622030074
- Кудеяров В.Н., Заварзин Г.А., Благодатский С.А., Борисов А.В., Воронин П.Ю., Демкин В.А., Демкина Т.С., Евдокимов И.В., Замолодчиков Д.Г., Карелин Д.В., Комаров А.С., Курганова И.Н., Ларионова А.А., Лопес де Гереню В.О., Уткин А.И., Чертов О.Г. Пулы и потоки углерода в наземных экосистемах России. М.: Наука, 2007. 315 с.
- Кузнецова А.И., Лукина Н.В., Горнов А.В., Горнова М.В., Тихонова Е.В., Смирнов В.Э., Данилова М.А., Тебенькова Д.Н., Браславская Т.Ю., Кузнецов В.А., Ткаченко Ю.Н., Геникова Н.В. Запасы углерода в песчаных почвах сосновых лесов на западе России // Почвоведение. 2020. № 8. С. 959–969. https://doi.org/10.31857/S0032180X20080109
- Курганова И.Н., Лопес де Гереню В.О., Мостовая А.С., Овсепян Л.А., Телеснена В.М., Личко В.И., Баева Ю.И. Влияние процессов естественного лесовосстановления на микробиологическую активность пост-агрогенных почв европейской части России // Лесоведение. 2018. № 1. С. 3–23.
- Курганова И.Н., Лопес де Гереню В.О., Мякшина Т.Н., Сапронов Д.В., Савин И.Ю., Шорохова Е.В. Баланс углерода в лесных экосистемах южного Подмосковья в условиях усиления засушливости климата // Лесоведение. 2016. № 5. С. 332–345.
- Курганова И.Н., Семенов В.М., Кудеяров В.Н. Климат и землепользование как ключевые факторы стабильности органического вещества в почвах // Доклады Академии наук. 2019. Т. 489. № 6. С. 646–650. https://doi.org/10.31857/S0869-56524896646-650
- Лиханова И.А., Кузнецова Е.Г., Лаптева Е.М., Денева С.В., Макеев Б.А. Почвообразование на карьерах после проведения лесной рекультивации в среднетаежной подзоне на европейском северо-востоке России // Почвоведение. 2021. № 4. С. 502–520. https://doi.org/10.31857/S0032180X21040109
- Лиханова И.А., Кузнецова Е.Г., Холопов Е.Г., Денева С.В., Лаптева Е.В. Почвенное органическое вещество и запасы углерода в почвах техногенных ландшафтов средней тайги европейского Северо-Востока России // Лесохозяйственная информация. 2022. № 3. C. 125–134.
- Махонина Г.И. Экологические аспекты почвообразования техногенных экосистем Урала. Екатеринбург, 2003. 356 с.
- Медведева М.В., Бахмет О.Н., Ананьев В.А., Мошников С.А., Мамай А.В., Мошкина Е.В., Тимофеева В.В. Изменение биологической активности почв в хвойных насаждениях после пожара в средней тайге Карелии // Лесоведение. № 6. 2020. C. 560–574. https://doi.org/10.31857/S0024114820060066
- Мошкина Е.В., Бахмет О.Н., Медведева М.В., Карпечко А.Ю., Мамай А.В. Пространственно-временная динамика биологической активности почв в фитогенном поле сосны обыкновенной в средней тайге Карелии // Лесоведение. 2022. № 4. С. 351–363. https://doi.org/10.31857/S0024114822040076
- Назарова Л.Е. Климатические условия на территории Карелии // Современные условия водоемов Севера. Петрозаводск: КарНЦ РАН, 2021. С. 7–16.
- Национальный атлас почв Российской Федерации. М.: Астрель, 2011. 632 с.
- О состоянии и об охране окружающей среды Российской Федерации в 2021 г. Государственный доклад. М.: Минприроды России; МГУ им. М.В. Ломоносова, 2022. 684 с.
- Почикалов А.В., Ларин Я.А., Арешин А.В., Карелин Д.В. Компоненты бюджета углерода в лесных посадках при рекультивации открытых горных выработок // Лесоведение. 2015. № 6. С. 447–457.
- Разнообразие почв и биоразнообразие в лесных экосистемах средней тайги / Под ред. Федорец Н.Г. М.: Наука, 2006. 287 с.
- Семёнов В.М., Когут Б.М. Почвенное органическое вещество. М.: ГЕОС, 2015. 233 с.
- Сумина О.И. Формирование растительности на техногенных местообитаниях Крайнего Севера России. СПб, 2013. 340 с.
- Федорец Н.Г., Соколов А.И., Крышень А.М., Медведева М.В., Костина Е.Э. Формирование лесных сообществ на техногенных землях северо-запада таежной зоны России. Петрозаводск: КарНЦ РАН, 2011. 130 с.
- Ялынская Е.Е. CO₂-газообмен почвы и напочвенного покрова в сосняке черничном // Экология. 1999. № 6. С. 411–415.
- Anderson J.P.E., Domsch K.H. A physiological method for the quantitative measurement of microbial biomass in soils // Soil Biol. Biochem. 1978. V. 10. P. 215–221.
- Anderson T.H., Domsch K.H. Rations of microbial biomass to total organic carbon in arable soils // Soil Biol. Biochem. 1989. V. 21. № 4. P. 471–479.
- Ashraf M.N., Waqas M.A., Rahman S. Microbial metabolic quotient is a dynamic indicator of soil health: trends, implications and perspectives (Review) // Eurasian Soil Sc. 2022. V. 55. P. 1794–1803. https://doi.org/10.1134/S1064229322700119
- Baldrian P. Forest microbiome: diversity, complexity and dynamics // FEMS Microbiology reviews. 2017. V. 41(2). P. 109–130. https://doi.org/10.1093/femsre/fuw040
- Boreal forests in the face of climate change / Girona M.M, Morin H., Gauthier S., Bergeron Y. Springer Cham., 2023. 837 p. https://doi.org/10.1007/978-3-031-15988-6
- Borken W., Savage K., Davidson E., Trumbore S. Effects of experimental drought on soil respiration and radiocarbon efflux from a temperate forest soil // Glob. Chang. Biol. 2006. V. 12. P. 177–193. https://doi.org/10.1111/j.1365-2486.2005.001058.x
- Chi J., Zhao P., Klosterhalfen A., Jocher G., Kljun N., Nilsson M., Peichl M. Forest floor fluxes drive differences in the carbon balance of contrasting boreal forest stands // Agric. For. Meteorol. 2021. V. 306. P. 108454. https://doi.org/10.1016/j.agrformet.2021.108454
- Du Y., Wang Y.-P., Hui D., Su F., Yan J. Significant effects of precipitation frequency on soil respiration and its components – A global synthesis // Glob. Chang. Biol. 2023. V. 29. P. 1188–1205. https://doi.org/10.1111/gcb.16532
- Frouz J., Pižl V., Cienciala E., Kalčík J. Carbon storage in post-mining forest soil, the role of tree biomass and soil bioturbation // Biogeochemistry. 2009. V. 94. P. 111–121. https://doi.org/10.1007/s10533-009-9313-0
- Hursh A., Ballantyne A., Cooper L., Maneta M., Kimball J., Watts J. The sensitivity of soil respiration to soil temperature, moisture, and carbon supply at the global scale // Glob. Chang. Biol. 2017. V. 23(5). P. 2090–2103. https://doi.org/10.1111/gcb.13489
- Insam H., Domsch K.H. Relationship between soil organic carbon and microbial biomass on chronosequences of reclamation sites // Microb. Ecol. 1988. V. 15. P. 177–188.
- IPCC Climate Change 2013: The Physical Science Basis. Contribution of Working Group I to the Fifth Assessment Report of the Intergovernmental Panel on Climate Change. Cambridge: Cambridge University Press, 2013. 1535 p.
- Jian J., Steele M.K., Thomas R.Q., Day S.D., Hodges S.C. Constraining estimates of global soil respiration by quantifying sources of variability // Glob. Chang. Biol. 2018. V. 24(9). P. 4143–4159. https://doi.org/10.1111/gcb.14301
- Karelin D., Goryachkin S.V., Zazovskaya E.P., Shishkov V., Pochikalov A., Dolgikh A., Sirin A., Suvorov G., Badmaev N., Badmaeva N., Tsybenov Yu., Kulikov A., Danilov P., Savinov G., Desyatkin A., Desyatkin R., Kraev G. Greenhouse gas emission from the cold soils of Eurasia in natural settings and under human impact: controls on spatial variability // Geoderma Regional. 2020. V. 22. P. 00290. https://doi.org/10.1016/j.geodrs.2020.e00290
- LI-8100A. Automated soil CO₂flux system. LI-8150 Multiplexer. Instruction manual. Nebraska, 2012. 396 p.
- Liao C., Luo Y., Fang C., Li B. Ecosystem carbon stock influenced by plantation practice: Implications for planting forests as a measure of climate change mitigation // PLoS ONE. 2010. V.5(5). e10867. https://doi.org/10.1371/journal.pone.0010867
- Lukina N., Kuznetsova A., Tikhonova E., Smirnov V., Danilova M., Gornov A., Bakhmet O., Kryshen A., Tebenkova D., Shashkov M., Knyazeva S. Linking forest vegetation and soil carbon stock in Northwestern Russia // Forests. 2020. № 11(979). Р. 1–19. https://doi.org/10.3390/f11090979
- Luo Y., Zhou X. Soil respiration and the environment. Elsevier, 2010. 333 p. https://doi.org/10.1016/B978-0-12-088782-8.X5000-1
- Macdonald S.E., Landhäusser S.M., Skousen J., Franklin J., Frouz J., Hall S., Jacobs D.F., Quideau S. Forest restoration following surface mining disturbance: challenges and solutions // New Forests. 2015. V. 46. P. 703–732. https://doi.org/10.1007/s11056-015-9506-4
- Morén A.S., Lindroth A. CO₂exchange at the floor of a boreal forest // Agric. For. Meteorol. 2000. V. 101. P. 1–14. https://doi.org/10.1016/S0168-1923(99)00160-4
- Mukhortova L., Schepaschenko D., Moltchanova E., Shvidenko A., Khabarov N., See L. Respiration of Russian soils: climatic drivers and response to climate change // Sci. Total Envir. 2021. V. 785. P. 147314. https://doi.org/10.1016/j.scitotenv.2021.147314
- Peel M.C., Finlayson B.L., McMahon T.A. Updated world map of the Koppen-Geiger climate classification // Hydrol. Earth Syst. Sci. 2007. V. 11. P. 1633–1644. https://doi.org/10.5194/hess-11-1633-2007
- Turcotte I., Quideau S.A., Oh S.W. Organic matter quality in reclaimed boreal forest soils following oil sands mining // Org. Geochem. 2009. V. 40(4). P. 510–519. https://doi.org/10.1016/j.orggeochem.2009.01.003
- Waring B., Neumann M., Prentice I.C., Adams M., Smith P., Siegert M. Forests and decarbonization – roles of natural and planted forests // Front. For. Glob. Change. V. 3(58). P 1–6. https://doi.org/10.3389/ffgc.2020.00058
- Wiesmeier M., Urbanski L., Hobley E., Lang B., von Lützow M., Marin-Spiotta E., van Wesemael B., Rabot E., Ließ M., Garcia-Franco N., Wollschläger U., Vogel H., Kögel-Knabner I. Soil organic carbon storage as a key function of soils – A review of drivers and indicators at various scales // Geoderma. 2019. V. 333. P. 149–162. https://doi.org/10.1016/j.geoderma.2018.07.026
Supplementary files





