Multiscale Estimates of Soil Erodibility’ Variation Under Conditions of High Soil Cover Heterogeneity in the Northern Forest-Steppe of the Central Russian Upland
- Authors: Fomicheva D.V.1, Zhidkin A.P.1, Komissarov M.A.2
-
Affiliations:
- Dokuchaev Soil Science Institute
- Ufa Institute of Biology UFRC RAS
- Issue: No 2 (2024)
- Pages: 345-358
- Section: DEGRADATION, REHABILITATION, AND CONSERVATION OF SOILS
- URL: https://journal-vniispk.ru/0032-180X/article/view/261917
- DOI: https://doi.org/10.31857/S0032180X24020116
- EDN: https://elibrary.ru/XXTYIJ
- ID: 261917
Cite item
Full Text
Abstract
One of the important scopes in erosion science is the study of soil erodibility, i. e. its ability to resist the destructing action of water flow and raindrops. The values of soil erodibility are used in erosion models and make it possible to calculate the rate of soil matter loss/accumulation. The purpose of this study was to assess the soil erodibility and variation of this indicator in different scale areas in the northern forest-steppe of the Central Russian Upland. It has been established that the calculated indicator of soil erodibility (K-factor) is depended mainly by the content of organic matter. The average K-factor values of unwashed grey forest soils are more than one and a half times higher than those of unwashed chernozems. With an increase in the degree of erosion, the values of the K-factor also increase, for example, in the series: non-, weakly, medium- and strongly eroded chernozems with the following average values: 38, 42, 44, 57 kg h/(MJ mm), respectively. It has been found that grey forest soils are much more liable to risk of degradation from erosion than chernozems, other things being equal, due to their greater erodibility and lower thickness of the humus layer. The use of various methods of K-factor interpolation had little effect on changes in the average soil erosion rates calculated by the WaTEM/SEDEM model, even under conditions of high soil cover contrast. With a change in the scale level of soil erosion estimates (transition from a medium to a large scale, or from a large to a medium scale), the deviation of calculated average soil erosion rates was less than 15%.
Full Text
ВВЕДЕНИЕ
Среди всех видов деградации почвенного покрова – эрозия почвы занимает доминирующую позицию. Планетарные эрозионные потери плодородного почвенного вещества оцениваются в 35 × 10⁹ т в год, причем эти потери увеличиваются на 2.5% ежегодно [31]. В России ежегодные эрозионные потери почвенного вещества составляют более 500 млн т [7], причем преобладает водный тип эрозии. В течение последних 20 лет темпы прироста эродированных земель каждые пять лет составляют 6–7%, т. е. около 1.5 млн га в год [1].
Интенсивность развития эрозионных процессов зависит от природных (почвы, климата, рельефа, растительности) и антропогенных (обработки почвы, вырубки лесов, вида/интенсивности орошения и т. п.) факторов. При этом в аспекте почвенного фактора и темпов смыва наиболее важным свойством почвы является ее подверженность (податливость) к эрозии. Существует ряд близких терминов, определяющих данное свойство почвы. В англоязычной литературе термин “erodibility” был введен в 1930 г. [37], его можно перевести как “эродируемость” или “смываемость” почв. В отечественной литературе в 1945 г. Соболев и Пономарева [23] стали использовать термин “противоэрозионная устойчивость почвы”, который означает способность почвы противостоять смывающему действию водного потока или совместному действию потока воды и капель дождя [11]. “Противоэрозионная устойчивость почвы” имеет обратное значение по смыслу терминам “эродируемость” и “смываемость”, но все они характеризуют один процесс. В настоящее время в отечественной литературе по эрозиоведению используют все указанные термины: “эродируемость”, “смываемость” или “противоэрозионная устойчивость почв”. Стоит отметить, что помимо научно-теоретического интереса, данные по эродируемости почв имеют и практическое применение. Так, количественные значения эродируемости почв (К-фактор) используются как входной параметр для большинства эрозионных моделей (USLE, RUSLE, MUSLE, CREAMS, WEPP, EUROZEM, SWAT, MMF, WaTEM/SEDEM и др.) при расчете темпов эрозионно-аккумулятивных процессов.
Оценка количественных значений эродируемости почв на основе многочисленных экспериментов проводилась в течение второй половины XX в. по всему миру. В СССР при разработке моделей эрозии почв [17, 25, 27] исследователи ставили натурные эксперименты, направленные на определение скорости размыва почв [18], устойчивости почв к размыву в зависимости от их свойств [10]. Проводили как длительные/мониторинговые натурные наблюдения, так и “ускоряли” получение данных по эродируемости почв путем моделирования естественных осадков методом дождевания с различной интенсивностью [26].
В США изначально для определения эродируемости почв использовали стоковые площадки со следующими параметрами/критериями: 1) уклон 9%, длина – 22.1 м; 2) участок находится под паром. В этом случае эродируемость почв определяется как отношение среднегодовых потерь почвы и эрозионного индекса осадков. В последующем параметры вышеописанной стоковой площадки будут приняты в концепцию “эталонного/единичного участка” в эрозионном моделировании. Авторы [47] систематизировали огромный массив данных из нескольких тысяч наблюдений с этих стоковых площадок и разработали номограмму эродируемости почв. Позднее было выведено уравнение зависимости эродируемости почв от содержания органического вещества, гранулометрического состава, структуры и водопроницаемости почв [48]. Со временем номограммы и уравнения стали применять в разных странах и на разных типах почв.
Значительное количество разработанных уравнений расчета К-фактора приведено в обзоре [43]. Наиболее распространенным и используемым считается уравнение Ренарда [42] (формула (1)), поскольку оно адаптировано для большинства типов почв, а размерность переведена из британской имперской/американской системы измерения в международную:
(1)
где M = (msilt + mvfs) (100 – mc); mc – содержание илистой фракции (<0.002 мм), %; msilt – содержание пылеватой фракции (0.002–0.05 мм), %; mvfs – содержание фракции очень мелкого песка (0.05–0.1 мм), %; ОМ – содержание органического вещества, %; s – класс структуры почвы (1 – очень мелкозернистый, 2 – мелкозернистый, 3 – средний или крупнозернистый, 4 – блочный, пластинчатый или массивный); p – класс фильтрации (1 – очень быстро,…, 6 – очень медленно).
Многочисленные эксперименты [6, 13, 20] показали, что для расчета эродируемости почв Восточно-Европейской равнины, возможно применение номограммы [47], несмотря на различия в размерности фракций. Позднее были выполнены более детальные исследования по влиянию различных факторов на эродируемость почвы, в частности, концентрации взвешенных наносов [16], плотности почвы [14], влажности почвы и температуры воды [15, 29].
Для некоторых регионов со специфичным почвенным покровом потребовалась существенная доработка уравнения эродируемости. Например, Гогичаишвили [2] разработал номограмму K-фактора для пахотных почв Грузии с учетом их каменистости, поскольку наличие камней или щебня в почве создают эффект мульчи.
В настоящее время создана карта эродируемости почв (в масштабе 1 : 100 000) на всю территорию Европейского Союза [40], что позволило исследователям перейти к количественным оценкам темпов эрозионно-аккумулятивных процессов на данную обширную территорию. В России первые оценки смываемости зональных типов почв проводились Соболевым [22]. Существуют работы, в которых эродируемость рассчитывалась как входной параметр для оценок эрозии почв с использованием эрозионных моделей (например [32, 50, 51]). Однако представление данных об эродируемости почв в виде карт различного масштаба или базы данных, необходимых для подобных оценок, для территории России в настоящее время отсутствует. Эрозионные модели, как и большинство методов оценки эрозии почв, изначально разрабатывались и апробировались на объектах детального масштаба. Современное эрозионное моделирование, как правило, проводится на растровой основе с размером ячейки 20 × 20 м или 30 × 30 м, что соответствует детальному масштабу. Однако современное программное обеспечение ГИС и производительность компьютеров позволяют проводить вычислительные операции (с учетом такого пространственного разрешения) и на большие площади – в десятки, сотни тысяч га и более, т. е. позволяют проводить оценки эрозии почв на объекты среднего масштаба с детализацией крупного масштаба. В связи с этим возникает необходимость учета погрешностей изменения масштабов исследований при оценке входных параметров эрозионного моделирования, в частности при оценках эродируемости почв.
Цель исследования заключается в оценке эродируемости почв и варьирования данного показателя на разных по площади/масштабу участках в пределах Мценского района Орловской области с контрастным сочетанием и мозаичностью серых лесных почв и черноземов разной степени эродированности.
ОБЪЕКТЫ И МЕТОДЫ
Объект исследования – почвы сельскохозяйственных полей по периферии г. Мценск (Мценский район, Орловская область). Данная территория расположена в пределах хорошо дренированных междуречий р. Оки и двух ее притоков р. Зуши и р. Лисицы (рис. 1a). Исследования проводили в двух масштабах.
Рис. 1. Положение и рельеф участков исследования с точками опробования почв: a – участок “Мценский” (природно-климатические зоны: 1 – лесная, 2 – лесостепная, 3 – степная; 4 – границы Среднерусской возвышенности); b – участок “Мценский” (границы: 5 – участка, 6 – полей); c – участок “Ломовец” (границы водосбора обозначены зеленым цветом).
Поля агрохозяйства компании ООО “Отрадаагроинвест” площадью 10 тыс. га (рис. 1b) были изучены c детальностью среднего масштаба. В последующем этот участок будем называть “Мценский”. Внутри “Мценского” участка был выбран малый водосбор площадью 42 га для крупномасштабных оценок эродируемости почв (рис. 1c). Водосбор расположен вблизи д. Ломовец. Далее этот водосбор будем называть “Ломовец”.
Участок “Мценский”. Рельеф участка увалистый, с преобладанием покатых (крутизной от 2° до 5°) выпуклых рассеивающих склонов средней длины (200–500 м), с максимальными (~320 м) абсолютными высотами в верховьях р. Зуши. Климат территории умеренно-континентальный с умеренно-морозной зимой и теплым, иногда жарким летом (Dfb в соответствии с классификацией Кеппена-Гейгера [41]). Среднемноголетняя годовая температура воздуха составляет +4.5°C, самого холодного месяца (январь) – –9.4°C, самого теплого (июль) – +19.0°C. В среднем за год на территории исследований выпадает 546 мм осадков, причем на зимний период приходится 178 мм, а на летний 366 мм. Снежный покров устойчив с декабря по март и достигает 26 см. Средние месячные скорости ветра невелики и достигают 4.0–4.4 м/с.
В структуре земельного фонда района и области исследований преобладают земли сельскохозяйственного назначения с высокой долей распаханности. В Орловской области в целом площадь пашни составляет 1328.6 тыс. га (53% от площади области) (https://rosstat.gov.ru/). Почвенный покров характеризуется высокой степенью неоднородности; распространены серые лесные почвы и черноземы; материнская порода представлена в основном лёссовидными суглинками и частично древнеаллювиальными отложениями.
Участок “Ломовец”. На малом водосборе “Ломовец” большая часть территории (97%) водосбора, за исключением днища ложбины, распахивается.
На участке “Мценский” было заложено 217 точек обследования и опробования почв, а на малом водосборе “Ломовец” дополнительно – 45.
На исследуемых точках с помощью почвенного бура Эдельмана проводили бурение до иллювиального горизонта (B), в среднем до глубины 1 м. Проводили диагностику типовой (подтиповой) принадлежности и детальное описание морфологических свойств почв. Местоположение точек фиксировали с помощью GPS-навигатора. Для проведения лабораторных исследований отбирали образцы почв с глубины 0–25 см. Отбор образцов проводили в смешанной пробе из трех повторностей. Почвы описывали по классификации почв России 1977 г. [8]. При диагностике серых лесных почв особое внимание уделяли цвету гумусового горизонта и наличию/степени выраженности переходных горизонтов A1A2 и A2B.
Эродируемость почв рассчитывали по формуле (1). Почвенное органическое вещество в образцах исследовали методом Тюрина с фотоколориметрическим окончанием [4], гранулометрический состав почвы – методом седиментации [3]. Классы фильтрации и структуры почв определяли по данным о текстуре почв (гранулометрическом составе) согласно [38]. Данный метод широко используется для разных типов почв и в разных физико-географических условиях [28, 34, 40]. Почти все проанализированные образцы почв имеют текстурный класс пылеватый суглинок “silt loam”, что соответствуют 3 классу фильтрации (табл. 1) и 3 классу структуры [30, 38].
Таблица 1. Классы фильтрации по основным классам гранулометрического состава почв [38]
Класс фильтрации | Текстурный класс |
1 | Песок (Sand) |
2 | Супесь (Loamy sand, sandy loam) |
3 | Суглинок, пылеватый суглинок (Loam, silt loam) |
4 | Опесчаненный тяжелый суглинок, тяжелый суглинок (Sandy clay loam, clay loam) |
5 | Тяжелый суглинок пылеватый, опесчаненная глина (Silty clay loam, sand clay) |
6 | Илистая глина, глина (Silty clay, clay) |
Отметим, что существует иной подход к оценке класса структуры по размеру агрегатов. Распахиваемые серые лесные почвы и черноземы выщелоченные и оподзоленные имеют средневзвешенный диаметр агрегатов от 2.0 до 4.5 мм, согласно некоторым литературным данным [12, 19]. Данный размер агрегатов соответствует 2 классу структуры (табл. 2).
Таблица 2. Классы структуры почвы [38]
Класс структуры | Размер структурных агрегатов |
1 | Очень мелкозернистые: 1–2 мм |
2 | Мелкозернистые: 2–5 мм |
3 | Средне- или крупнозернистые: 5–10 мм |
4 | Блочные, плитчатые или массивные: >10 мм |
Таким образом, использование разных способов оценок свидетельствует о том, что исследованные почвы относятся к 2 либо 3 классу структуры. Различия в расчетных значениях К-фактора при использовании 2 или 3 классов структуры составляют <7%. Аналитические измерения размеров структурных агрегатов могли бы в некоторой степени снизить данную неопределенность, тем не менее, данная погрешность является незначительной относительно иных допущений, используемых при расчете эродируемости почв – в частности, и темпов эрозии почв – в целом. Кроме того, важно отметить, что измерение структуры почв на исследованном участке площадью 10 тыс. га позволяет уточнить данную неопределенность лишь в точках обследования, а при интерполяции данных на всю территорию все равно остаются существенные неопределенности.
В настоящей работе использовали 3 класс структуры почв, согласно наиболее часто употребляемой методике оценок эродируемости почв [28, 30, 33, 34, 40, 49]. Отметим, что развитие почвенно-деградационных процессов способствует увеличению размеров агрегатов [12, 19] и, как следствие, увеличению класса структуры. Полевые оценки морфологических свойств исследованных почв свидетельствуют об их высокой степени деградации в целом на участке исследования, в связи с чем использованный в расчетах 3 класс структуры, оцененный по текстурному классу, представляется наиболее реалистичным.
Для определения влияния вариабельности эродируемости почв на моделируемые темпы эрозионно-аккумулятивных процессов были рассчитаны среднемноголетние темпы ливневой эрозии с помощью модели WaTEM/SEDEM [44–46]. Использовали одинаковые входные параметры за исключением эродируемости. R-фактор (эрозионный индекс осадков) принят равным 320 МДж мм/(м² ч год), согласно [39]. С-фактор (фактор растительности и севооборота, характеризующий почвозащитную роль возделываемых культур относительно чистого пара) принят равным 0.40, согласно данным по долевому участию культур в составе севооборота и агроэрозионному индексу культур в данной зоне по Ларионову [13]. LS-фактор (фактор длины и крутизны склона) рассчитывали в программе WaTEM/SEDEM автоматически на основе цифровой модели рельефа и уравнений [36]. Цифровая модель рельефа была получена в результате съемки БПЛА и приведена к рекомендуемому для расчета по модели размеру ячейки 20 × 20 м.
Картографические работы производили с помощью программ QGIS и ArcGIS, статистическую обработку данных проводили в программе Statistica.
РЕЗУЛЬТАТЫ И ОБСУЖДЕНИЕ
Почвенный покров и свойства почв. Крупномасштабные исследования малого водосбора “Ломовец” свидетельствуют о слабой контрастности почвенного покрова: на приводораздельных участках доминируют светло-серые лесные почвы (Luvic Greyzemic Phaeozems [35]; индекс таксона почвы – Л1), а на склонах – серые лесные почвы (Luvic Retic Greyzemic Phaeozems; Л2); степень смытости почв варьирует от несмытых до сильносмытых. Ареалы намытых почв преимущественно приурочены к не распахиваемому днищу ложбины.
Рис. 2. Варьирование показателей в разных типах почв на участке “Ломовец” и “Мценский”: a – содержание органического вещества (%); b – количество илистой фракций (<0.002 мм, %); c – К-фактор (кг ч/(МДж мм).
Содержание органического вещества в пределах малого водосбора “Ломовец” изменяется от 1.2 до 3.4%, коэффициент вариации составляет 19% в 45 образцах. Среднее содержание органического вещества в серых лесных почвах несколько выше, чем в светло-серых лесных почвах (рис. 2a). Коэффициент вариации содержания илистой фракции (<0.002 мм) на малом водосборе “Ломовец” составил 16% для 45 образцов. Светло-серые лесные почвы характеризуются большим разбросом содержания органического вещества и илистой фракции по сравнению с серыми лесными почвами, как следствие отмечается большее варьирование значений К-фактора.
В свою очередь, исследования в среднем масштабе на участке “Мценский” выявили очень высокую неоднородность почвенного покрова. Данный участок расположен на границе лесной и лесостепной природных зон. В северной и центральной частях участка “Мценский” преобладают вариации светло-серых и серых лесных почв; в южной части – сочетания серых и темно-серых лесных почв (Luvic Greyzemic Phaeozems; Л3) с черноземами оподзоленными (Luvic Greyzemic Chernic Phaeozems; Чоп) и выщелоченными (Luvic Chernozems; Чв). Разнообразие почв участка “Мценский” отражается в вариабельности содержания органического вещества. В пахотных горизонтах почв данный показатель значительно варьирует от 0.8 до 8.5% (рис. 2a), коэффициент вариации составил 42% в 217 образцах, что в 2 раза выше, чем на малом водосборе “Ломовец”. Высокое содержание органического вещества характерно для черноземов, расположенных на приводораздельных участках в южной и юго-восточной частях “Мценского” участка. Содержание органического вещества в пахотных горизонтах серых лесных почв ниже, чем в черноземах. При этом выявлен высокий разброс содержания органического вещества в пахотных горизонтах серых лесных почв: от 0.8 до 7%.
Варьирование содержания органического вещества в пределах одних и тех же типов почв, вероятно, определяется степенью их эродированности. Так, снижение содержания органического вещества до 1–3% отмечается на склонах долин рек и балок, особенно это заметно в районе д. Шеино и д. Свобода, и к юго-западу от г. Мценск.
Гранулометрический состав почв на участке “Мценский” среднесуглинистый с крайне однообразным содержанием физической глины (<0.01 мм). Содержание фракции ила (<0.002 мм) изменяется средне: от 4 до 26% (рис. 2b). Коэффициент вариации этой фракции составил 17% для 217 образцов почв. Темно-серые лесные почвы и черноземы в основном характеризуются чуть более высоким содержанием илистой фракции и меньшим разбросом значений в отличие от светло-серых и серых лесных почв. В целом содержание илистой фракции в светло-серых и серых лесных почвах на участке “Мценский” и на малом водосборе “Ломовец” довольно близки.
Эродируемость почв в точках обследования. Среднее значение эродируемости почв, выражаемая в расчетном показателе К-фактора, на малом водосборе “Ломовец” достаточно высокое и составляет 67 кг ч/(МДж мм) (рис. 2c). Однако разброс значений и пространственная вариабельность низкие, коэффициент вариации составил лишь 7% для 45 образцов. Светло-серые лесные почвы и серые лесные почвы на участке “Ломовец” характеризуются более высокими значениями К-фактора, чем аналогичные подтипы почв на остальной части участка “Мценский”.
В свою очередь, исследования в среднем масштабе на участке “Мценский” выявили существенное пространственное варьирование K-фактора от 25 до 87 кг ч/(МДж мм), среднее значение К-фактора составляет 57 кг ч/(МДж мм). Коэффициент вариации эродируемости почв в 217 образцах составил 20%.
Серные лесные почвы характеризуются высокими средними значениями эродируемости почв: 52 кг ч/(МДж мм) в темно-серых лесных почвах, 61 кг ч/(МДж мм)в серых лесных и 63 кг ч/(МДж мм) в светло-серых лесных. Значения К-фактора для неэродированных черноземов оподзоленных и выщелоченных оказались значительно ниже, и в среднем составили 38 кг ч/(МДж мм). Значения К-фактора для неэродированных черноземов оподзоленных и выщелоченных участка “Мценский” близки к оценкам средних значений К-фактора черноземов выщелоченных и типичных в Курской области равных 35 кг ч/(МДж мм) [9] и в Белгородской области, равных также 35 кг ч/(МДж мм) [5].
На участке “Мценский” варьирование эродируемости почв определялось преимущественно вариабельностью содержания органического вещества (коэффициент корреляции R2 = –0.88), которое в свою очередь зависит от типа почв и степени их эродированности. В ряду почв участка “Мценский” светло-серые лесные, серые лесные, темно-серые лесные и черноземы оподзоленные и выщелоченные (Чоп+Чв) отчетливо проявляется уменьшение значений К-фактора за счет увеличения содержания органического вещества (рис. 2b, 2c).
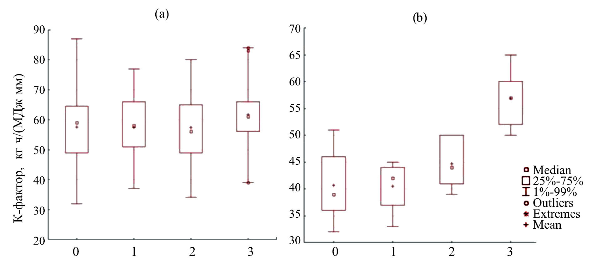
Рис. 3. Параметры варьирования К-фактора на участке “Мценский” в серых лесных почвах (a) и черноземах (b) разной степени эродированности: 0 – несмытые, 1 – слабосмытые, 2 – среднесмытые, 3 –сильносмытые.
Связь между эродируемостью почв и их степенью эродированности при среднемасштабных исследованиях оказалась не столь очевидной (рис. 3). Для серых лесных почв, анализируемых в целом по участку “Мценский”, отсутствует четкая статистическая связь между эродируемостью почв и их степенью эродированности. Данный эффект, вероятно, обусловлен низкой точностью диагностики подтипа и степени эродированности серых лесных почв. Например, среднесмытая темно-серая лесная почва очень похожа по морфологическим свойствам на несмытую или слабосмытую светло-серую лесную почву. Гумусовые горизонты этих почв обладают светло-серым окрасом, слабой оструктуренностью и относительно малой мощностью. В свою очередь, степень текстурной дифференциации зачастую искажается в результате распашки и турбации верхних почвенных горизонтов. Кроме того, в условиях высокой неоднородности почвенного покрова представляется крайне затруднительным определение эталонных мощностей гумусированной толщи, что приводит к искажению диагностики степени эродированности серых лесных почв по остаточной мощности гумусированной толщи. В результате, вероятно, значительная часть эродированных темно-серых лесных почв была отнесена к светло-серым и серым лесным подтипам почв. Таким образом, не была выявлена связь между К-фактором и степенью эродированности почв (рис. 3a), но была выявлена четкая взаимосвязь между К-фактором и подтипом серых лесных почв (рис. 2b).
В свою очередь, исследования в среднем масштабе на участке “Мценский” выявили четкую связь между эродируемостью черноземов и степенью их эродированности. Средние значения К-фактора возрастают в ряду не-, слабо-, средне- и сильносмытых черноземов со следующими значениями 38, 42, 44, 57 кг ч/(МДж мм) соответственно. Диапазон варьирования К-фактора сильносмытых черноземов не пересекается с диапазоном остальных степеней смытости черноземов. Следовательно, в сильносмытых черноземах происходит резкий скачок увеличения К-фактора за счет значительного снижения содержания органического вещества вследствие запахивания переходного горизонта А1В либо даже горизонта В.
Отметим, что черноземы очень четко отличались от серых лесных почв по хорошей (от порошисто-зернистой до мелкокомковатой) структуре пахотного горизонта. Таким образом, установлено, что черноземы отчетливо отличаются от серых лесных почв меньшими значениями К-фактора (рис. 2b), но при увеличении степени смытости черноземов значения К-фактора возрастают. Сильноэродированные черноземы оказались близки по содержанию органического вещества и значениям К-фактора к серым лесным почвам.
Увеличение эродируемости почв при увеличении их степени эродированности позволяет сделать важный вывод о динамике развития эрозионных процессов во времени. Воздействуя на почвенный покров, эрозия способствует увеличению эродируемости (снижению противоэрозионной устойчивости) почв, в результате темпы эрозии увеличиваются, что в свою очередь приводит к еще большему увеличению эродируемости почв и еще большему увеличению темпов эрозии. Таким образом, основываясь на формуле модели WaTEM/SEDEM, можно заключить, что увеличение эродируемости почв влечет дальнейшее увеличение темпов смыва. При прочих равных условиях с продолжающимся ухудшением структуры деградированных почв увеличение интенсивности эрозии почв может иметь кумулятивный эффект. Данное предположение в некоторой степени спорно и требует дальнейших исследований и, возможно, корректировки формулы расчета К-фактора.
Серые лесные почвы характеризуются относительно малой мощностью гумусированной толщи и при этом изначально достаточно высокой эродируемостью. Таким образом, серые лесные почвы обладают значительно более высокими рисками деградации от эрозии по сравнению с черноземами. Данное предположение подтверждается результатами лабораторного эксперимента по моделированию эрозионных процессов на дождевальной установке. В частности установлено, что на агросерых почвах формирование поверхностного стока наступает раньше и количество смытого почвенного материала значительно больше, чем на агрочерноземах [24].
Рис. 4. Вариограммы эродируемости почв во всех точках обследования малого водосбора “Ломовец” (a); во всех точках обследования участка “Мценский” (b); в точках с серыми лесными почвами участка “Мценский” (c); в точках с черноземами участка “Мценский” (d).
Для двух масштабов исследования на малом водосборе “Ломовец” и участке “Мценский” были построены вариограммы значений К-фактора (рис. 4). Данные графики показывают, насколько сильно варьирует показатель эродируемости почв в зависимости от расстояния между точками обследования. На малом водосборе “Ломовец” (рис. 4a) отсутствует четкий тренд изменения варьирования значений эродируемости почв при увеличении расстояния между точками также, как и в целом для всех серых лесных почв участка “Мценский” (рис. 4b).
При этом выявлен четкий тренд увеличения варьирования значений эродируемости черноземов при увеличении расстояния между точками (рис. 4d). Вероятно, данный тренд обусловлен варьированием К-фактора в черноземах разной степени эродированности (рис. 3b). При этом ареалы черноземов значительно разбросаны по южной и юго-восточной части участка “Мценский”. В результате существенное варьирование К-фактора в различных типах и подтипах почв разной степени эродированности способствует выраженному увеличению разброса данного показателя при увеличении расстояния между точками обследования в среднем масштабе (рис. 4b).
Картографирование эродируемости почв. Значения эродируемости почв (К-фактора) используются в первую очередь для эрозионного моделирования, при этом недостаточно значений эродируемости почв в точках обследования, необходимо создание карт интерполированных значений данного показателя. Существуют различные способы интерполяции. В данном исследовании были использованы следующие наиболее часто применяемые методы:
Кроме того, отметим, что был опробован один из самых современных методов почвенной картографии – метод множественной регрессии [21]. Однако применение данного метода на исследованных участках выявило низкую связь К-фактора с морфометрическими характеристиками рельефа. Предсказательная способность модели была крайне низкой на обоих участках, значения R2 не превысили 0.15. В связи с этим данный метод интерполяции не был использован в дальнейшем анализе.
Результаты применения различных методов интерполяции оказались очень близки между собой. Построенные карты и гистограммы распределения интерполированных значений эродируемости почв представлены на рис. 1S, 2S, 3S. Отчетливо видны небольшие различия в пространственной структуре эродируемости почв, особенно в крупном масштабе на малом водосборе “Ломовец”, при достаточно однородных распределениях рядов данных К-фактора в гистограммах. Полученные карты эродируемости почв были использованы для дальнейшего расчета темпов эрозионно-аккумулятивных процессов (рис. 4S, 5S).
Влияние различных методов интерполяции эродируемости почв на расчетные темпы эрозионно-аккумулятивных процессов. Расчетные среднемноголетние темпы эрозии почв, оцененные в крупном масштабе на малом водосборе “Ломовец” оказались достаточно близки к средним оценкам темпов эрозии почв в среднем масштабе на участке “Мценский”. Так, расчетные темпы эрозии почв на малом водосборе “Ломовец” изменяются от 10.0 до 13.5 т/га в год (рис. 5); на участке “Мценский” от 10.8 до 11.3 т/га в год (рис. 6) в зависимости от метода интерполяции значений эродируемости почв. Близость средних темпов смыва разномасштабных участков свидетельствует о высокой степени репрезентативности выбранного малого водосбора по отношению к окружающей водосбор “Ломовец” территории участка “Мценский”.
Рис. 5. Средние темпы эрозии почв на малом водосборе “Ломовец”, рассчитанные на основе разных способов интерполяции К-фактора: a – среднее арифметическое по точкам обследования; b – “простой кригинг”; c – “сплайн”; d – “обратно взвешенных расстояний” по данным в точках обследования участков: 1 – “Ломовец”, 2 – “Мценский”.
Полученные результаты свидетельствуют о достаточно высоком сходстве средних по участкам темпов эрозии почв при разных методах интерполяции эродируемости почв. В крупном масштабе при использовании детальных данных малого водосбора “Ломовец” и в среднем масштабе при использовании среднемасштабных данных участка “Мценский” варьирование расчетных темпов эрозии почв при разных методах интерполяции эродированности почв оказалось менее 3%.
Рис. 6. Средние темпы эрозии почв на участке “Мценский”, рассчитанные на основе разных способов интерполяции К-фактора: a – среднее арифметическое по точкам обследования; b – “простой кригинг”; c – “сплайн”; d – “обратно взвешенных расстояний”.
Однако использование среднемасштабных оценок эродируемости почв участка “Мценский” для крупномасштабных оценок эрозии участка “Ломовец” привело к искажению расчетных темпов эрозии почв в среднем на 15%. Так, при использовании среднего арифметического значения эродируемости почв участка “Мценский” расчетные темпы эрозии почв на малом водосборе “Ломовец” оказались заниженными на 15%. При использовании методов картографической интерполяции значений эродируемости почв участка “Мценский” расчетные темпы эрозии почв на малом водосборе “Ломовец” оказались завышенными на 12–17%.
Полученные отклонения в крупном масштабе при использовании среднемасштабных оценок эродируемости почв объясняются высокой степенью контрастности почвенного покрова участка “Мценский”. Среднее арифметическое по участку “Мценский” значение эродируемости почв складывается из значений данного показателя в разных типах почв разной степени эродированности, то есть из ряда значений с большой амплитудой. Ранее отмечалось, что максимальные значения К-фактора были выявлены для светло-серых лесных почв, а минимальные для неэродированных черноземов. Таким образом, полученные для малого водосбора “Ломовец” (с преобладанием светло-серых лесных почв) отклонения, вероятно, являются максимальными для данного участка.
В связи с этим, данное отклонение расчетных темпов эрозии почв можно считать условно максимальной погрешностью при изменении масштабного уровня (переходе от среднего к крупному масштабу, либо от крупного к среднему масштабу) оценок эродируемости почв участка “Мценский”. Важно отметить, что данная территория характеризуется высокой контрастностью почвенного покрова. Полученные отклонения в 15% при изменении масштабного уровня исследований в таких условиях неоднородности почвенного покрова представляются низкими, т. е. значительно меньше, чем иные погрешности эрозионного моделирования, связанные, например, с изменениями эрозионного потенциала осадков в условиях климатических флуктуаций, оценкой противоэрозионной стойкости сельскохозяйственных культур и способов обработки почвы, и т. д.
ЗАКЛЮЧЕНИЕ
Проведенные исследования на границе северной лесостепной зоны и лесной зоны Среднерусской возвышенности выявили существенные различия в эродируемости серых лесных почв и черноземов. Серые лесные почвы характеризуются высокими значениями эродируемости, выражаемой в расчетном показателе К-фактора. Средние значения К-фактора подтипов серых лесных почв варьируют от 52 до 63 кг ч/(МДж мм), что в 1.5 раза больше, чем у несмытых выщелоченных и оподзоленных черноземов. Таким образом, свойства серых лесных почв (относительно малая мощность гумусированной толщи и высокая эродируемость) способствуют значительно большим рискам деградации этих почв от эрозии по сравнению с черноземами. При увеличении степени смытости и снижении содержания органического вещества в черноземах их средняя эродируемость возрастает до 57 кг ч/(МДж мм) (в сильносмытых).
При прочих равных условиях и допущении о продолжении деградации почв с дальнейшим ухудшением структуры почв можно предположить, что эродируемость черноземов будет увеличиваться при увеличении степени их смытости. Следовательно, интенсивность эрозии почв с течением времени, вероятно, может ускориться. Воздействуя на почвенный покров, эрозия способствует увеличению эродируемости (снижению противоэрозионной устойчивости) почв, в результате темпы эрозии увеличиваются, что в свою очередь приводит к еще большему увеличению эродируемости почв и еще большему увеличению темпов эрозии.
На исследованной территории варьирование значений К-фактора определялось преимущественно вариабельностью содержания органического вещества (коэффициент корреляции R2 = –0.88) при достаточно однородном гранулометрическом составе почв.
Исследования в крупном масштабе (на малом водосборе) не выявили какого-либо тренда изменения варьирования значений К-фактора при увеличении расстояния между точками. Исследования в среднем масштабе (при расстояниях между точками обследования от первых сотен метров до 20 км) выявили направленный тренд увеличения варьирования значений К-фактора при увеличении расстояния между точками обследования, преимущественно за счет варьирования эродируемости черноземов.
Применение различных способов интерполяции значений К-фактора практически не повлияло на изменения средних расчетных по модели WaTEM/SEDEM темпов эрозии почв в крупном и среднем масштабах исследования. При изменении масштабного уровня (переходе от среднего к крупному масштабу, либо от крупного к среднему масштабу) оценок эродируемости почв отклонение средних расчетных темпов эрозии почв составило 15%. В условиях высокой контрастности почвенного покрова, полученные отклонения представляются низкими, значительно ниже, чем иные погрешности эрозионного моделирования.
ФИНАНСИРОВАНИЕ РАБОТЫ
Исследование выполнено при поддержке гранта Российского научного фонда, проект № 22-17-00071, https://rscf.ru/project/22-17-00071/.
КОНФЛИКТ ИНТЕРЕСОВ
Авторы заявляют об отсутствии у них конфликта интересов.
ДОПОЛНИТЕЛЬНАЯ ИНФОРМАЦИЯ
Онлайн версия содержит дополнительные материалы, доступные по адресу https://doi.org/10.31857/S0032180X24020116
About the authors
D. V. Fomicheva
Dokuchaev Soil Science Institute
Email: mkomissarov@mail.ru
Russian Federation, Moscow, 119017
A. P. Zhidkin
Dokuchaev Soil Science Institute
Email: mkomissarov@mail.ru
Russian Federation, Moscow, 119017
M. A. Komissarov
Ufa Institute of Biology UFRC RAS
Author for correspondence.
Email: mkomissarov@list.ru
Russian Federation, Ufa, 450054
References
- Глушко А.Я. Влияние водной и ветровой эрозии на земельный фонд юга европейской части России // Известия Дагестанского гос. педаг. ун-та. Естественные и точные науки. 2010. № 1. С. 75–85.
- Гогичаишвили Г.П. Эродируемость пахотных почв Грузии в период ливневого стока // Почвоведение. 2012. № 2. С. 218–218.
- ГОСТ 12536–2014. Грунты. Методы лабораторного определения гранулометрического (зернового) и микроагрегатного состава.
- ГОСТ 26213–91. Почвы. Методы определения органического вещества.
- Жидкин А.П., Смирнова М.А., Геннадиев А.Н., Лукин С.В., Заздравных Е.А., Лозбенев Н.И. Цифровое моделирование строения и степени эродированности почвенного покрова (Пороховский район Белгородской области) // Почвоведение. 2021. № 1. C. 17–30. http://doi.org/10.31857/S0032180X21010159
- Заславский М.Н. Эрозия почв. М.: Мысль, 1979. 243 с.
- Иванов А.Л., Савин И.Ю., Столбовой В.С., Аветян С.А., Шишконакова Е.А., Каштанов А.Н. Карта агрогенной эродированности почв России // Доклады РАН. Науки о Земле. 2020. Т. 493. № 2. С. 99–102. https://doi.org/10.31857/S2686739720080095
- Классификация и диагностика почв СССР. М.: Колос, 1977. 223 с.
- Козлов Д.Н., Жидкин А.П., Лозбенев Н.И. Цифровое картографирование эрозионных структур почвенного покрова на основе имитационной модели смыва (северная лесостепь Среднерусской возвышенности) // Бюл. Почв. ин-та им. В.В. Докучаева. 2019. № 100. С. 5–29. https://doi.org/10.19047/0136-1694-2019-100-5-35
- Кузнецов М.С. К вопросу о методике исследования эродируемости почв // Эрозия почв и русловые процессы. 1973. Вып. 3. С. 126–134.
- Кузнецов М.С., Глазунов Г.П., Григорьев В.Я. Методы изучения эрозионных процессов. М.: Изд-во Моск. ун-та, 1986. 104 с.
- Кузнецова И.В. Агрофизическая характеристика типичных мощных черноземов Курской области // Агрофизическая характеристика почв степной и сухостепной зон Европейской части СССР. М.: Колос, 1977. С. 38–52.
- Ларионов Г.А. Эрозия и дефляция почв. М.: Изд-во Моск. ун-та, 1993. 200 с.
- Ларионов Г.А., Бушуева О.Г., Добровольская Н.Г., Кирюхина З.П., Литвин Л.Ф. Эродируемость модельной почвы различной плотности // Почвоведение. 2011. № 8. С. 995–999.
- Ларионов Г.А., Бушуева О.Г., Добровольская Н.Г., Кирюхина З.П., Краснов С.Ф., Литвин Л.Ф. Влияние температуры воды и влажности почвы на эродируемость образцов чернозема (модельный опыт) // Почвоведение. 2014. № 7. С. 890–896. https://doi.org/10.7868/S0032180X14070107
- Ларионов Г.А., Добровольская Н.Г., Кирюхина З.П., Литвин Л.Ф. Влияние взвешенных наносов на эродируемость почв // Почвоведение. 2008. № 7. С. 871–876.
- Мирцхулава Ц.Е. Инженерные методы расчета и прогноз водной эрозии. М.: Колос, 1970. 239 с.
- Мирцхулава Ц.Е. К вопросу устойчивости связных грунтов размыву // Тр. Грузинского НИИГиМ. 1957. Вып. 18–19. С. 485–493.
- Мищенко А.В., Карпова Д.В., Иванова Е.А., Абдулханова Д.Р., Петросян Р.Д. Структурное состояние пахотных серых лесных почв Владимирского ополья при различных способах обработки // Агрохимический вестник. 2020. № 5. С. 9–16. https://doi.org/10.24411/1029–2551–2020–10061
- Несмеянова Г.Я., Пацукевич 3.В. Эрозионно-опасные земли Нечерноземной зоны РСФСР // Эрозия почв и русловые процессы. М., 1981. Вып. 8. С. 30–41.
- Пузаченко Ю.Г. Математические методы в экологических и географических исследованиях. М.: Академия, 2004. 408 с.
- Соболев С.С. Развитие эрозионных процессов на территории Европейской части СССР и борьба с ними. М. – Л.: Изд-во АН СССР, 1948. Т. 1. 307 с.
- Соболев С.С., Пономарёва С.И. К изучению противоэрозионной стойкости почв // Почвоведение. 1945. № 9–10. С. 495–496.
- Соболь Н.В., Габбасова И.М., Комиссаров М.А. Влияние различной интенсивности дождей и крутизны склонов на развитие эрозии почв в Южном Предуралье (модельный опыт) // Почвоведение. 2017. № 9. С. 1134–1140. https://doi.org/10.7868/S0032180X17090064
- Сурмач Г.П. Водная эрозия и борьба с ней. Л.: Гидрометеоиздат, 1976. 256 с.
- Сухановский Ю.П. Модификация методики дождевания стоковых площадок для исследования эрозии почв // Почвоведение. 2007. № 2. С. 215–222.
- Швебс Г.И. Формирование водной эрозии, стока наносов и их оценка. Л.: Гидрометеоиздат, 1974. 184 с.
- Addis H.K., Klik A. Predicting the spatial distribution of soil erodibility factor using USLE nomograph in an agricultural watershed, Ethiopia // Int. Soil Water Conserv. Rev. 2015. V. 3(4). P. 282–290. https://doi.org/10.1016/j.iswcr.2015.11.002
- Alekseev V.V., Aleksandrov R.I., Vasiliev S.A., Chuchkalov S.I. Study of the relation between soil erodibility and hydrological characteristics // IOP Conference Series: Earth and Environmental Science. 2019. V. 341(1). P. 012110. https://doi.org/10.1088/1755–1315/341/1/012110
- Belasri A., Lakhouili A., Halima O.I. Soil erodibility mapping and its correlation with soil properties of Oued El Makhazine watershed, Morocco // Forestry. 2017. V. 8(9). P. 3208–3215.
- Borrelli P., Robinson D.A., Fleischer L.R., Lugato E., Ballabio C., Alewell C., Meusburger K., et al. An assessment of the global impact of 21st century land use change on soil erosion // Nature Commun. 2017. V. 8. P. 2013. https://doi.org/10.1038/s41467–017–02142–7
- Buryak Z.A., Narozhnyaya A.G., Gusarov A.V., Beylich A.A. Solutions for the spatial organization of cropland with increased erosion risk at the regional level: A case study of Belgorod Oblast, European Russia // Land. 2022. V. 11(9). P. 1492. https://doi.org/10.3390/land11091492
- Centeri C., Szalai Z., Jakab G., Barta K., Farsang A., Szabó S., Bíró, Z. Soil erodibility calculations based on different particle size distribution measurements // Hungarian Geograph. Bull. 2015. V. 64(1). P. 17–23. https://doi.org/10.15201/hungeobull.64.1.2
- Imani R., Ghasemieh H., Mirzavand M. Determining and mapping soil erodibility factor (case study: Yamchi Watershed in Northwest of Iran) // Open J. Soil Sci. 2014. V. 4. P. 168–173. https://doi.org/10.4236/ojss.2014.45020
- IUSS Working Group WRB. World Reference Base for Soil Resources 2014, update 2015. International soil classification system for naming soils and creating legends for soil maps. World Soil Resources Reports No. 106. 2015. FAO, Rome. 182 p.
- McCool D.K., Foster G.R., Mutchler C.K., Meyer L.D. Revised slope length factor for the Universal Soil Loss Equation // Transactions of the ASAE. 1989. V. 32(5). P. 1571–1576. https://doi.org/10.13031/2013.31192
- Middleton H.E. Properties of soils which influence soil erosion // USDA. Technical Bulletin. 1930. V. 178. 16 p.
- National soils handbook. US Department of Agriculture-Soil Conservation Service // Agriculture handbook. 1983. No. 430. Washington.
- Panagos P., Borrelli P., Meusburger K., Yu B., Klik A., Lim K.J., Yang J.E., et al. Global rainfall erosivity assessment based on high-temporal resolution rainfall records // Scientific Reports. 2017. V. 7. P. 1–12. https://doi.org/10.1038/s41598–017–04282–8
- Panagos P., Meusburger K., Ballabio C., Borrelli P., Alewell C. Soil erodibility in Europe: A high-resolution dataset based on LUCAS // Sci. Total Environ. 2014. V. 479–480. P. 189–200. https://doi.org/10.1016/j.scitotenv.2014.02.010
- Peel M.C., Finlayson B.L., McMahon T.A. Updated world map of the Köppen-Geiger climate classification // Hydrology Earth System Sci. 2007. V. 11. P. 1633–1644. https://doi.org/10.5194/hess-11–1633–2007
- Renard K.G., Foster G.R., Weesies G.A., McCool D.K., Yoder D.C. Predicting soil erosion by water: a guide to conservation planning with the Revised Universal Soil Loss Equation (RUSLE) // USDA Agriculture Handbook 1997. No. 703. 404 p.
- Song Y., Liu L., Yan P., Cao T. A review of soil erodibility in water and wind erosion research // J. Geograph. Sci. 2005. V. 15. P. 167–176. https://doi.org/10.1007/BF02872682
- Van Oost K., Cerdan O., Quine T.A. Accelerated fluxes by water and tillage erosion on European agricultural land // Earth Surface Processes and Landforms. 2009. V. 34. P. 1625–1634. https://doi.org/10.1002/esp.1852
- Van Oost K., Govers G., Desmet P. Evaluating the effects of changes in landscape structure on soil erosion by water and tillage // Landscape Ecology. 2000. V. 15. P. 577–589. https://doi.org/10.1023/A:1008198215674
- Van Rompay A., Verstraeten G., Van Oost K., Govers G., Poesen J. Modelling mean annual sediment yield using a distributed approach // Earth Surface Processes and Landforms. 2001. V. 26(11). P. 1221–1236. https://doi.org/10.1002/esp.275
- Wischmeier W.H., Johnson C.B., Cross B.V. A soil erodibility nomograph for farmland and construction sites // J. Soil Water Conserv. 1971. V. 26. P. 189–193.
- Wischmeier W.H., Smith D.D. Predicting rainfall erosion losses: a guide to conservation planning // Agricultural handbook. 1978. No. 537. Washington. 65 p.
- Yang X., Gray J., Chapman G., Zhu Q., Tulau M., McInnes-Clarke, S. Digital mapping of soil erodibility for water erosion in New South Wales, Australia // Soil Res. 2017. V. 56(2). P. 158–170. https://doi.org/10.1071/SR17058
- Zhidkin A., Fomicheva D., Ivanova N., Dostál T., Yurova A., Komissarov M., Krasa J. A detailed reconstruction of changes in the factors and parameters of soil erosion over the past 250 years in the forest zone of European Russia (Moscow region) // Int. Soil Water Conserv. Res. 2022. V. 10(1). P. 149–160. https://doi.org/10.1016/j.iswcr.2021.06.003
- Zhidkin A., Gennadiev A., Fomicheva D., Shamshurina E., Golosov V. Soil erosion models verification in a small catchment for different time windows with changing cropland boundary // Geoderma. 2023. V. 430. P. 116322. https://doi.org/10.1016/j.geoderma.2022.116322
Supplementary files








