Water-Extractable Organic Matter of Soils with Different Degree of Degradation from Erosion and Sedimentation in a Small Catchment in the Central Forest-Steppe Part of the Central Russian Upland (Tillage Soils)
- Authors: Kholodov V.A.1, Yaroslavtseva N.V.1, Ziganshina A.R.1, Danchenko N.N.1, Farkhodov Y.R.1, Maksimovich S.V.1, Zhidkin A.P.1
-
Affiliations:
- Dokuchaev Soil Science Institute
- Issue: No 6 (2024)
- Pages: 783-796
- Section: SOIL CHEMISTRY
- URL: https://journal-vniispk.ru/0032-180X/article/view/273564
- DOI: https://doi.org/10.31857/S0032180X24060019
- EDN: https://elibrary.ru/YCIMQQ
- ID: 273564
Cite item
Full Text
Abstract
Dissolved organic matter is the most mobile part of soil organic matter. At the same time, its change and transformation processes occuring during soil erosion have not been sufficiently studied. The goal of the work was to assess the optical properties of water-extractable organic matter (WEOM) in arable soils of different degree of degradation from erosion and sedimentation in a plowed small arable catchment in the Kursk region. We studied WEOM of arable Protocalcic Chernozems (noneroded and moderately eroded) and their analogue with soil matter sedimentation – Novic Protocalcic Chernozems. WEOM was isolated from aggregates 2–1 and >10 mm. Aqueous extracts were characterized by their organic carbon and nitrogen content. Optical properties were assessed based on absorption spectra and three-dimensional fluorescence spectra. It was shown that in terms of the main quantitative indicators of soil organic matter – the content of organic carbon and nitrogen, as well as the pH value – washed away and reclaimed soils were close to each other and differed significantly from Protocalcic Chernozems. At the same time, both the quantitative and qualitative indicators of WEOM showed a different trend: the WEOM of Novic Protocalcic Chernozems differed significantly from noneroded and moderately eroded Protocalcic Chernozems. Besides, some indicators of WEOM (nitrogen content, SUVA254, S350–400 и SR) depended on the size of the aggregates from which WEOM was obtained (2–1 or >10 mm). In addition, the fluorescent properties of WEOM depend on the size of the aggregates. The obtained data allow us to conclude that the properties of WEOM in a small arable catchment in the central forest-steppe zone are largely determined by the processes of destruction of non-water-stable aggregates and the consolidation of their particles, as well as the leaching of water-soluble organic matter. When aggregates are destroyed by water, their particles migrate with flows along the slope, and organic matter undergoes decomposition; in depressions, particles accumulate, consolidate into blocky structural units, while the properties of their WEOM change significantly, both due to the degradation of organic matter and as a result of its leaching.
Keywords
Full Text
ВВЕДЕНИЕ
Растворенное органическое вещество (РОВ) – конституционная составляющая почвенного органического вещества (ОВ). РОВ играет важную роль в круговороте углерода [32], оказывает влияние на подвижность питательных веществ и тяжелых металлов, органических ксенобиотиков, радионуклидов, наночастиц [2, 7, 16, 17, 20, 45, 49, 51]. РОВ откликается на процессы, происходящие в почве [25] и эта фракция почвенного ОВ более отзывчива на вид использования почв, особенности обработки сельскохозяйственных культур, чем ОВ в целом или его другие фракции [46]. Например, анализ РОВ позволил выявить переход от лесной почвы под естественной растительностью к почве агроландшафта и также выделить почвы, на которых возделывали пропашные культуры [52].
При глобальных оценках круговорота углерода РОВ не всегда учитывается. Особенно часто недоучитываются потери, связанные с вымыванием РОВ в глубину почвенного профиля или в сопредельные среды. Наиболее популярные модели круговорота углерода рассматривают его потери преимущественно в виде минерализации до СО2 [40, 41, 48].
Изменения содержания и состава ОВ почв происходят под влиянием различных природных и антропогенных процессов [8]. В значительной степени дегумификация почв на распахиваемых землях обусловлена эрозионными процессами. Влияние эрозии на дегумификацию почв столь значительно, что, несмотря на существенные допущения [11], даже проводятся оценки темпов эрозионно-аккумулятивных процессов на основе изменения валовых запасов ОВ в почвах на разных элементах рельефа [3, 12].
Таким образом, миграция ОВ в целом определяется интенсивностью перемещения твердофазного вещества почв с поверхностными водными потоками, т.е. в результате эрозионно-аккумулятивных процессов. Вероятно, в свою очередь РОВ в значительной степени перемещается с внутрипочвенным стоком. Скорее всего, миграция и аккумуляция ОВ и его растворенных форм протекает по-разному и в каждом случае имеет свои геохимические особенности. На сегодняшний день практически отсутствуют работы, посвященные исследованиям РОВ в почвах разной степени смытости и намытости. Отметим, что особую актуальность для России представляет изучение эрозионных процессов в черноземах – самых плодородных почвах.
Терминологически РОВ относят к природному растворенному органическому веществу, как оно есть in situ в почвенном растворе, поэтому его прямое изучение имеет сложности, связанные с выделением ненарушенного почвенного раствора [9]. В связи с этим исследование РОВ проводится по составу водоэкстрагируемого органического вещества (ВЭОВ), которое извлекается водной вытяжкой.
Оптимальными для изучения ВЭОВ являются оптические методы: спектроскопия в ультрафиолетовом (УФ)–видимом спектре и флуоресцентная спектроскопия. Оба метода быстрые, недорогие, высоко информативные и обладают хорошей воспроизводимостью, что делает их удобным инструментом для изучения ОВ почв и сопредельных сред. Например, оптическими методами отслеживали процессы разложения соломенной мульчи в разных условиях [19]. Показан вклад пахотных почв в РОВ малых водотоков [23].
Цель работы – оценка оптических свойств водоэкстрагируемого органического вещества в пахотных почвах разной степени смытости и намытости в распахиваемом малом водосборе Курской области.
Выбор объекта исследования обусловлен следующими причинами: а) наличием относительно однородного почвенного покрова с доминированием черноземов типичных; б) высокой степенью изученности эрозионно-аккумулятивных процессов на водосборе; г) высокой степенью репрезентативности факторов, темпов и пространственной структуры протекания эрозионно-аккумулятивных процессов в малом водосборе относительно окружающих территорий.
ОБЪЕКТЫ И МЕТОДЫ
Малый водосбор “Хвощин лог” расположен в Курском районе Курской области. В 2013–2018 гг. на данном водосборе проводили детальные исследования эрозионно-аккумулятивных процессов преимущественно в пределах агроландшафтов [6]. В 2022–2023 гг. исследования были продолжены в днище балки водосбора. В регионе выполнялось большое количество исследований эрозионно-аккумулятивных процессов [1].
Малый водосбор “Хвощин Лог” относится к одноименной балочной системе и принадлежит бассейну р. Сейм. Он расположен в 2 км к востоку от пос. Березка, вблизи участка Стрелецкая степь Центрально-Черноземного заповедника. Водосбор имеет ассиметричный рельеф. Распахиваемые склоны северной экспозиции почти вдвое длиннее (в среднем около 700 м), чем склоны южной экспозиции. Перепад высот составляет 55 м. Среднегодовое количество осадков равно 570 мм. Характер выпадения атмосферных осадков преимущественно ливневой, что провоцирует эрозионные события в теплый период. Максимум выпадений дождя приурочен к июню (69 мм). Высота снежного покрова небольшая, около 20–40 см [35].
В почвенном покрове преобладают черноземы типичные и выщелоченные среднемощные среднесуглинисто-пылеватого состава. Мощность горизонтов Апах + А1 в среднем составляет 55 см, нижняя граница переходного горизонта AB – 77 см, BA – 105 см. Глубина залегания карбонатов варьирует в широких пределах от 40 до 107 см. На приводораздельных участках развиты преимущественно черноземы типичные, на склонах – черноземы типичные разной степени эродированности на лёссовидных суглинках. В днищах распахиваемых ложбин встречаются черноземы выщелоченные разной степени намытости. В нераспахиваемом днище балки развиты сильнонамытые почвы (стратоземы), выщелоченные от карбонатов. Черноземы пахотных почв характеризуются среднесуглинистым пылеватым гранулометрическим составом [6].
Суммарная площадь водосбора составляет 183 га, из которых бо́льшая часть (157 га) распахивается. Длительность освоения данного водосбора относительно небольшая и составляет около 150 лет, так как на карте Генерального межевания (1792 г.) данная территория была под сенокосом. Относительно недавнее освоение территории определило небольшое долевое участие средне- и сильноэродированных почв [6].
Для данного исследования были выбраны участки, расположенные в максимально контрастных условиях проявления эрозионно-аккумулятивных процессов. Были изучены три точки на пашне:
а) чернозем типичный [5] – Haplic Chernozem (Aric, Loamic, Pachic) [31] неэродированный на условно эталонном приводораздельном участке (P);
б) чернозем типичный [5] – Haplic Chernozem (Aric, Loamic) [31] среднесмытый в средней части склона северно-восточной экспозиции (E);
в) намытая почва – агростратозем темно-гумусовый водно-аккумулятивный [5] – Luvic Chernozem (Aric, Loamic, Novic, Pachic) [31] в днище распахиваемой ложбины (S). Глубина гумусированной толщи в указанных почвах представлены на рис. 1.
Рис. 1. Схема глубин гумусированной толщи в несмытом черноземе (P), среднеэродированном черноземе (E), стратоземе (S)
Отбор образцов проводили в августе 2022 г. В момент отбора на пашне произрастала озимая пшеница (Triticum aestivum). Пробоотбор осуществляли с глубины 0–20 см.
Кроме того, для расширения выборки были отобраны образцы наносов из трех точек в нераспахиваемом нижележащем днище балке. 3D-спектры флуоресценции этих образцов использовали в ходе параллельного факторного анализа (PARAFAC) для разложения спектров. Подход требует достаточно большой выборки спектров для адекватного построения модели [36].
Образцы высушивали до воздушно-сухого состояния. Из среднего образца просеиванием на ситах отбирали фракции: глыб – структурных отдельностей >10 мм – и агрегатов 2–1 мм. Эти фракции составляют более 50% вещественного состава изучаемых черноземов. Повторность – трехкратная. Общий объем выборки составил 18 образцов.
Анализ содержания общего углерода и азота в почве проводили методом сухого сжигания в токе кислорода на автоматическом анализаторе Vario Macro CN [29]. В связи с тем, что рН всех почв был <7, а реакция с HCl на карбонаты была отрицательная, весь определенный углерод был отнесен к органическому (OC) [10].
Водную вытяжку получали ультрачистой водой первого типа с удельным сопротивлением >18 MO м. Массовое отношение почва : вода было 1 : 5. Суспензию встряхивали 8 ч, затем отделяли ВЭОВ от осадка центрифугированием. После фильтровали через целлюлозную мембрану 0.2 мкм. Образцы, приготовленные для определения растворенного С, подкисляли до рН 2 соляной кислотой для вытеснения CO2. В вытяжках, предназначенных для измерения оптических свойств, дополнительно измеряли рН.
Определение содержания водоэкстрагируемых углерода (ВЭОС) и азота (ВЭ N) в ВЭОВ проводили на анализаторе Shimadzu ТОС- L CS N [30].
Оптические исследования ВЭОВ черноземов осуществляли методом УФ-видимой спектроскопии и спектрофлуоресценции. УФ-видимые спектры были получены на спектрофотометре Shimadzu UV-1800 в диапазоне 220–800 нм, раствором сравнения служила ультрачистая вода. На основе полученных данных рассчитывали основные оптические показатели SUVA254, а254, E2 / E3, E4 / E6, a350, S275–295, S350–400, S300–700 и SR. SUVA254 (Specific ultraviolet absorbance) рассчитывали как оптическую плотность при длине волны 254 нм, нормированную на содержание углерода (л/(мг см)), S275–295 – это крутизна (спад S – slope) графика оптической плотности на участке от 275 до 295 нм; S350–400 и S300–700 – аналогичные показатели для участков 350–400 и 300–700 нм соответственно; SR – отношение S275–295 к S350–400 [28].
Спектры флуоресценции получали в диапазоне возбуждения 220–480 нм с шагом 2 нм, спектр эмиссии фиксировали при длинах волн от 300 до 550 нм. Ширина щели возбуждения и эмиссии – 5 нм. Съемку проводили на спектрофлуориметре Shimadzu RF-6000, скорость сканирования 60 000 нм/мин. Для обработки спектров использовали пакет StaRdom для языка R. Обработку проводили согласно рекомендациям обработки матрицы возбуждения–эмиссии флуоресцентных спектров [36, 43]. Она включала в себя инструментальную коррекцию спектра, вычитание растворителя (вода типа I с удельным сопротивлением больше 18 МОм), коррекцию на внутренний фильтр по данным спектров поглощения, нормализацию на Рамановские единицы (Raman Units, RU), вычитание Рамановского и Рэлеевского рассеяния, интерполяцию и PARAFAC анализ [36, 43]. Была выбрана пятикомпонентная модель, для ее апробации использовали split - half анализ (при котором выборка разделяется пополам и вновь проводится PARAFAC, эта процедура повторяется несколько раз, если результаты сходятся – модель апробирована).
РЕЗУЛЬТАТЫ И ОБСУЖДЕНИЕ
Для большинства рассмотренных почвенных показателей – содержание в черноземах органического углерода (ОС), азота (N), величины рН водной вытяжки (рН) и содержание водоэкстрагируемого органического углерода в вытяжке 1 : 5 (ВЭОС) – не обнаружено значимых различий между агрегатами 2–1 мм и глыбами >10 мм. Поэтому данные по структурным отдельностям были объединены для каждого варианта, их средние и стандартные отклонения показаны на рис. 2.
Рис. 2. Содержание в пахотных горизонтах почв органического углерода (ОС), азота (N); величина рН водной вытяжки и количество растворенного органического углерода, извлекаемое водной вытяжкой 1 : 5 (ВЭОС). Обозначения по оси Х: Р – несмытый чернозем; E – среднесмытый чернозем; S – стратозем. Одинаковые строчные латинские буквы у столбцов гистограмм указывают на незначимость различий средних по группам (дисперсионный анализ при α = 0.05)
Для почв в целом содержание органического углерода значимо больше в несмытом черноземе (3.67%) по сравнению со среднесмытым (3.35%), что было ожидаемо. Несколько неожиданным оказалось минимальное содержание органического углерода в стратоземе (3.24%). Вероятно, это обусловлено частичной минерализацией ОВ в процессе транспортировки и переотложения наносов. Аналогичная тенденция была выявлена для содержания азота: наибольшее значения в несмытом черноземе (0.33%), среднее (0.30%) – в среднесмытом, и минимальное – в стратоземе (0.29%). Атомное отношение С / N во всех вариантах было одинаковым и составило 13. Таким образом, существенного преобразования ОВ (нерастворимого) по склону не наблюдается.
Величина рН значимо меньше в несмытой почве (6.1) по сравнению с двумя остальными (6.7–6.8). Увеличение pH в эродированной почве очевидно связано с подступанием к поверхности карбонатных лёссовидных суглинков. В свою очередь увеличение pH в стратоземе, вероятно, связано с привносом вещества эродированных почв. Этим же объясняется близость значения pH в пахотных горизонтах эродированного чернозема и стратозема. Однако отметим, что теоретически в стратозем может поступать материал, смытый с почв разной степени эродированности различных частей ложбинного водосбора, т.е. с отличающимися значениями pH. Кроме того, днище ложбины в значительной степени промывается поверхностными и внутрипочвенными растворами, что очевидно должно влиять на щелочно-кислотные условия, состав и содержание ВЭОВ. Таким образом, выявленная в данных исследованиях близость pH смытой и намытой почвы может являться частным случаем.
Содержание ВЭОС было наибольшим в водной вытяжке среднесмытого чернозема (475 мг/кг почвы), что было значимо больше, нежели в стратоземе (402 мг/кг). При этом ВЭОС в несмытом черноземе занимал промежуточное положение: его значение (444 мг/кг) значимо не отличалось ни от среднесмытого, ни от стратозема. Следует обратить внимание, что высокие значения ВЭОС в среднесмытом черноземе, вероятно, указывают на возможные потери углерода в растворенном виде в процессе эрозии. В связи с разрушением почвенных агрегатов, вызванным эрозией, увеличивается доступность микроорганизмам ОВ [50]. В процессе разложения, видимо, увеличивается его растворимость, что отражается в увеличении содержания ВЭОС, а также в повышении мобильности ОВ и, соответственно, в возможном вымывании углерода.
При этом в стратоземе такая картина не наблюдается, так как в нем присутствует много переотложенного почвенного материала, который был уже промыт при транспортировке наносов, а также продолжает в большей степени относительно других почв промываться в связи с большими расходами воды в днище распахиваемой ложбины.
Особое внимание следует уделить содержанию водоэкстрагируемого азота (ВЭ N) в водных вытяжках (рис. 3). Этот показатель по результатам двухфакторного дисперсионного анализа, во всех рассматриваемых случаях, продемонстрировал значимую зависимость и от степени смытости и намытости распахиваемых почв, и от размеров структурных отдельностей (2–1 или >10 мм).
Рис. 3. Содержание водоэкстрагируемого азота в агрегатах 2–1 мм и глыбах > 10 мм пахотных горизонтов почв. Р – несмытый чернозем; E – среднесмытый чернозем; S – стратозем
Во всех вариантах водоэкстрагируемого азота больше содержится в агрегатах 2–1 мм по сравнению с глыбами. По содержанию ВЭ N черноземы образуют ряд: стратозем > несмытый чернозем > среднесмытый чернозем. В то же время ряд по убыванию содержания ВЭОС совершенно другой (рис. 2): среднесмытый чернозем > несмытый чернозем > стратозем. Видимо, это указывает на повышенную мобильность в эродированном варианте свежепоступившего ОВ с низким содержанием азота. Следует отметить, в эродированном черноземе весьма вероятно вымывание растворенных минеральных форм, которые должны мигрировать быстрее ОВ, что также снижает этот показатель.
Перенося эти рассуждения на структурные отдельности, можно сделать вывод, что вероятно большее содержание ВЭ N в агрегатах 2–1 мм связано с их гораздо большей водоустойчивостью по сравнению с глыбами. Водоустойчивость способствует меньшим потерям растворимого азота, часть которого заключена внутри агрегатов и, соответственно, не вымывается. Конечно, при получении водной вытяжки, агрегаты разрушаются, поэтому в ходе эксперимента азота вымывается больше. Вероятно, свежее ОВ, окклюдированное внутри агрегата, растворяется гораздо хуже.
Оптические свойства ВЭОВ черноземов оценивали по спектрам поглощения и флуоресценции в УФ-видимой области. На рис. 4 приведены усредненные спектры поглощения ВЭОВ в зависимости от расположения по склону.
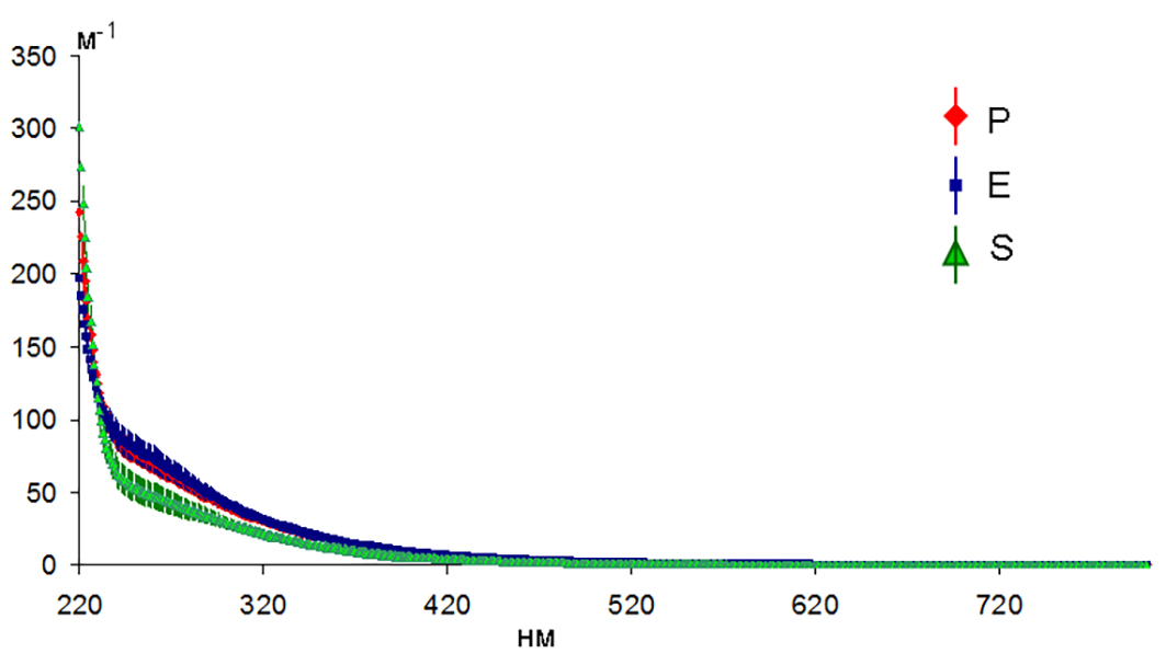
Рис. 4. Усредненные спектры поглощения ВЭОВ пахотных горизонтов почв. Приведены средние значения со стандартными отклонениями коэффициентов абсорбции Напиериана α(λ) – Napierian absorption coefficients в зависимости от длины волны. Р – несмытый чернозем; E – среднесмытый чернозем; S – стратозем
На спектре видно, что у ВЭОВ стратозема в области от 240 до 420 нм поглощение существенно ниже по сравнению с вариантами черноземов. Спектры ВЭОВ черноземов несмытого и эродированного, в свою очередь, весьма близки друг к другу. Все полученные зависимости характерны для ВЭОВ черноземов и схожих почв [14, 15, 53]. Спектральные данные использовали для расчета основных оптических характеристик (табл. 1). Основные оптические показатели спектров поглощения были близки к ранее полученным для ВЭОВ черноземов и к природному РОВ [14, 15 34, 53]. В целом, показатели ВЭОВ стратозема значимо отличались от ВЭОМ двух других вариантов, которые между собой не различались. Для индексов поглощения был проведен двухфакторный дисперсионный анализ с факторами ВЭОВ из варианта почвы и ВЭОВ из агрегатов 2–1 или > 10 мм. Для трех показателей: SUVA254, S350-400 и SR наряду с зависимостью от варианта почвы была обнаружена значимая зависимость их величин от структурных отдельностей, из которых были получены вытяжки (рис. 5).
Таблица 1. Характеристики спектров поглощения ВЭОВ пахотных горизонтов почв (средние по вариантам, n = 6)
Чернозем | SUVA254, мг/(лм) | a254 | a350 | E2 / E3 | S275 – 295, нм–1 | S350 – 400, нм–1 | SR |
Несмытый | 3.35 | 74 | 19 | 5.18 | 0.0141 | 0.0168 | 0.84 |
Среднесмытый | 3.24 | 76 | 19 | 5.23 | 0.0143 | 0.0168 | 0.85 |
Стратозем | 2.61 | 54 | 14 | 5.28 | 0.0133 | 0.0181 | 0.74 |
Рис. 5. Показатели SUVA254, S350–400 и SR ВЭОВ агрегатов 2–1 мм и глыб > 10 мм пахотных горизонтов почв. Р – несмытый чернозем; E – среднесмытый чернозем; S – стратозем
SUVA254 тесно связан с содержанием ароматических структур в органическом веществе [34]. Показатель значимо больше в ВЭОВ глыбистых образцов по сравнению с агрегатами 2–1 мм для вариантов несмытого чернозема и стратозема. Известно, что при интенсивном разложении ОВ в нем накапливаются наиболее устойчивые структуры, существенную роль в которых играют ароматические соединения [9]. Агрегаты 2–1 мм более водоустойчивые, поэтому они не разрушаются под воздействием воды и физически предохраняют заключенное внутри них ОВ от микробных атак, поэтому их ВЭОВ меньше обогащено ароматическими соединениями. В то же время структурные отдельности >10 мм практически неводоустойчивы: при увлажнении они легко разрушаются – в связи с этим ОВ в них более доступно для разложения, в ходе которого оно относительно обогащается ароматическими структурами. Кроме того, дисперсионный однофакторный анализ показывает, что величины SUVA254 ВЭОВ агрегатов 2–1 мм несмытого и среднесмытого чернозема значимо не отличаются от показателя для глыб >10 мм стратозема. Опираясь на эти данные, можно сделать предположение о биогеохимичекой связи ВЭОВ из агрегатов 2–1 мм, расположенных выше по склону, с ОВ глыбистых структурных отдельностей стратозема. Возможно, их материал состоит преимущественно из агрегатов, которые были разрушены, перенесены по склону и отложены в днище распахиваемой ложбины, где они самособрались в глыбы [13]. В целом более низкие величины SUVA254 в ВЭОМ стратозема указывает на преимущественно вымывание обедненных ароматическими соединениями ОВ, которые задерживаются в днище ложбины на границе пашни.
Спад в области 350–400 (S350–400) отражает фоточувствительность ОВ: при облучении солнечным светом этот показатель существенно падает [28]. Возможно, большая его величина в агрегатах 2–1 мм объясняется их водоустойчивостью: водоустойчивые агрегаты не разрушаются водой, соответственно ОВ внутри них не подвержено воздействию солнечного света, а глыбистые структурные отдельности могут неопределенно долго размываться и слипаться обратно. Существенные различия между глыбами и агрегатами в стратоземе объясняются привносом уже разрушенных частиц из вышележащих почв, которые откладываются в ложбине и формируют глыбы.
Отношение SR связывают с молекулярной массой ОВ и фотохимической деструкцией [28]. Скорее всего, различия в ВЭОВ агрегатов и глыб стратозема, в данном случае производная от изменения показателя S350–400.
Помимо спектров поглощения были получены трехмерные спектры флуоресценции ВЭОВ рассматриваемых почв (рис. 6). В целом спектры флуоресценции в изученных почвах схожи, можно лишь отметить большую интенсивность флуоресценции в несмытом и среднесмытом черноземах по сравнению со стратоземом. Трехмерные спектры были обработаны параллельным факторным анализом – PARAFAC [36, 43]. В ходе анализа спектры были разложены на пять независимых компонентов (рис. 7).
Рис. 6. Примеры трехмерных спектров флуоресценции ВЭОВ пахотных горизонтов почв. Р – несмытый чернозем; E – среднесмытый чернозем; S – стратозем, RU – Рамановские единицы
Рис. 7. Компоненты, полученные разложением трехмерных флуоресцентных спектров использованной выборки ВЭОВ с помощью PARAFAC. Каждая компонента нормирована на свой максимум интенсивности
Выделенные компоненты (С1–С5) были сопоставлены с базой данных OpenFluor [37], которая позволяет искать совпадения компонентов с ранее опубликованными. Для каждого компонента были выявлены схожие на 95% и выше (табл. 2).
Таблица 2. Описание индивидуальных флуоресцирующих компонентов, идентифицированных с помощью PARAFAC-моделирования в ВЭОВ черноземов
Компонент | λ возбуждения, нм | λ эмиссия, нм | Описание (обозначение компонента в работе и его предполагаемая природа) |
C1 | 312 (< 220) | 420 | C3 морские гуминоподобные вещества, пик M по [22] или микробное окисленное ОВ [57] C1 морские гуминоподобные вещества, величина снижается с увеличением молекулярной массы [24] C410 обратно коррелирует с соленостью [56] C<260(305)/404 морские гуминоподобные вещества [21] |
C2 | 362 (274) | 470 | C3 смесь гуминоподобных пиков A и C по [ 22, 63] C3 терригенные гуминоподобные [24] C2 коррелирует с содержанием фенолов лигнина [54] CP3(fluo) высокопреобразованный органический материал, который имеет тенденцию сохраняться в почвах (биодеградированные танины) [39] |
C3 | 264 | 470 | C2 терригенные гуминоподобные предположительно фотоустойчивые, окисленные хиноноподобные [59] C1 гуминоподобные, с высоким сродством к глинам [27] C460 фотоустойчивые в диапазоне UVC, гуминоподобные компоненты антарктических вод [33] С4 терригенные гуминоподобные, устойчивые, возможный индикатор трансформации РОВ в озерах [23] |
C4 | 300 (<220) | 515 | C3 гуминоподобные компоненты [18] C500 плохо сорбируется на PPL сорбент при твердофазной экстракции [55] C3 терригенные гуминоподобные компоненты тесно негативно коррелирующие с соленостью [58] С4 биоразлагаемые гуминоподобные компоненты, вероятно включают большие гидрофобные молекул, хорошо сорбируются почвой [47] |
C5 | 280 (<220) | 325 (305) | C3 пик B Кобла, протеиноподобные компоненты [26] C5 триптофаноподобный компонент [60] SW3 белковый материал [42] C5 протеиноподобные компоненты [38] |
* В скобках даны цифры для вторичных максимумов.
Компонент С1 имеет пики поглощения при 312 нм, и второй – больше 220 нм, которым соответствует пик эмиссии с максимумом 420 нм. Ранее подобные составляющие спектра относили к гуминоподобным веществам морского происхождения [21, 22, 57]. Доля компонента снижается при увеличении молекулярной массы ОВ [24] и при возрастании солености воды [56]. Так как в черноземах не следует ожидать ОВ морского происхождения, вероятно С1 можно отнести к фракции ОВ с относительно небольшой молекулярной массой, но при этом достаточно гидрофобной, чтобы реагировать на увеличение ионной силы.
С2 поглощает при 362 нм и, менее интенсивно, при 274 нм, максимум эмиссии при 470 нм. Этот компонент большинство исследователей-океанологов связывают с гуминовыми веществами терригенного происхождения [22, 24, 60]. В работе [39] его относят к производным танинов, которые имеют тенденцию сохраняться в почве. При исследовании арктических рек схожий компонент был отнесен к фенолам лигнинного происхождения [56]. Таким образом, в случае черноземов, С2 вероятно, отражает содержание продуктов преобразования танинов и лигнинов в ВЭОВ.
Компонент С3 вероятно наиболее устойчив, в том числе к фоторазложению, гуминоподобная часть ОВ, хинонной природы, склонная к адсорбции на глинистых минералах [23, 27, 33, 59].
С4 компонент поглощает при 300 нм, и в области меньше 220 нм соответствующий максимум эмиссии наблюдается при 515 нм. К этому компоненту относят гуминоподобные, биоразлагаемые, в том числе большого размера, компоненты ОВ, исходя из того, что они плохо задерживаются PPL картриджами типа Bond Elute PPL, вероятно полисахаридной природы [18, 47, 55, 58].
Для компонента С5 характерно поглощение при 280 нм и меньше 220 нм, которые соотносятся с эмиссией при максимуме в 325 нм и с меньшим пиком – при 305 нм. Эта область характерна для флуоресценции триптофана и, соответственно, отражает содержание белковых компонентов [26, 38, 42, 60].
Наиболее наглядно анализировать полученные флуоресцентные данные методом главных компонент (МГК). На рис. 8 черноземы и их структурные отдельности классифицированы в пространстве главных компонент (ГК).
Рис. 8. ВЭОВ агрегатов 2–1 мм (открытые символы) и глыб > 10 мм (залитые символы) пахотных горизонтов почв (выделены овалами): Р – несмытый чернозем; E – среднесмытый чернозем; S – стратозем
По флуоресцентным показателям ВЭОВ все почвы хорошо классифицируются в пространстве ГК, образуя неперекрывающиеся области (кластеры). Черноземы близки друг к другу: их области различаются только по второй главной компоненте (ГК2). Обе эти почвы по первой ГК (ГК1) расположены в положительной области, что существенно отличает их от стратозема, который локализован в отрицательной области. Отличия по первой компоненте обеспечиваются показателями С1– C3: они вызывают сдвиг в положительную область и связаны с нюансами строения устойчивого ОВ (табл. 2). Легкоразлагаемое вещество (С4) вносит наименьший вклад в ГК1, а С5 – триптофаноподобный компонент – не вносит вклада в ГК1. Увеличение С5 вызывает смещение объектов в отрицательную сторону по ГК2. Привлекая данные из табл. 2 к выявленным МГК связям, можно сделать ряд заключений об изменении свойств ВЭОВ вдоль по склону в геохимически сопряженных черноземах.
Для стратозема характерно снижение содержания компонентов устойчивого ОВ, особенно С2 и С3, они имеют максимальные величины собственных векторов по первой ГК. По ГК2 снизу-вверх располагаются несмытый, затем стратозем и, выше всех, среднесмытый вариант, что указывает на снижение белковых составляющих ВЭОВ и, вероятно, биологической активности в указанном порядке.
При рассмотрении структурных отдельностей внимание привлекает то, что внутри каждого почвенного варианта по флуоресцентным показателям ВЭОВ агрегатов 2–1 мм образует компактные кластеры в пространстве ГК, в то же время ВЭОВ глыб распределено более хаотично в пространстве признаков.
Наиболее четко разница во флуоресцентных свойствах ВЭОВ структурных отдельностей видна в распахиваемом стратоземе. Здесь от компактного кластера 2–1 мм глыбы сдвинуты вверх и вправо, образуя непересекающуюся область, в их ВЭОВ меньше доля белкового компонента С5 и устойчивого ОВ (С2, С3) в ВЭОВ.
ВЭОВ глыбистых отдельностей среднесмытого чернозема образует облако вокруг кластера ВЭОВ агрегатов 2–1 мм. Невозможно выделить какой-то преобладающий тренд. Это говорит о различном генезисе глыбистых частиц в этом варианте. Вероятно, здесь присутствуют частицы, привнесенные сверху, вымываемые из этой почвы, а также и преобразующиеся in situ, например, частицы агрегатов разрушенных, но еще не вымытых с этого места. Данный результат косвенно свидетельствует об изменении гидрофизических условий транспорта наносов на этом участке склона, при котором доминирует вынос вещества, однако его интенсивность, вероятно, имеет высокую межгодовую изменчивость, а в отдельные эрозионные события может даже отмечаться локальная внутрисклоновая аккумуляция наносов. В свою очередь для несмытого чернозема сложно выделить четкие отличия между агрегатами 2–1 мм и глыбами >10 мм.
ЗАКЛЮЧЕНИЕ
В рассматриваемых почвах в несмытом черноземе, больше содержание органического углерода и азота, чем в среднесмытым черноземе и стратоземе, при этом значимые отличия между между двумя последними почвами отсутствуют. В то же время по показателям ВЭОВ, свойства пахотных горизонтов несмытого и среднесмытого черноземов близки друг к другу, они существенно отличаются от пахотного горизонта стратозема. В них больше ВЭОС, их оптические свойства ближе друг к другу (рис. 8). Таким образом, показатели, связанные с твердой фазой почв – общее содержание органического углерода, азота и рН – отражают в первую очередь трансформацию почвенной массы под действием эрозионно-аккумулятивных процессов: разрушение структуры, вымывание веществ и перемещение почвенной массы – т.е. это инерционный показатель почва-память. В свою очередь ВЭОВ отражает актуальные условия существования ОВ почв, поэтому несмытый и среднесмытый черноземы ближе друг к другу по оптическим характеристикам: первый ненарушенный источник, а второй –зона выноса твердого материала без серьезных преобразований ОВ. В стратоземе иные условия: происходит привнос твердого материала и приток растворенного органического вещества в локальное понижение рельефа, что не может не влиять на условия гумусообразования и микробной деятельности, и, вероятно, отражается на свойствах ВЭОВ.
В среднесмытом черноземе частично разрушены агрегаты, поэтому и ОВ подвергается активной микробной атаке и, видимо из-за этого, его материал становится более мобильным, а величина ВЭОС здесь наибольшая. В стратоземе существенную часть составляют наносы, принесенные водным потоком, ОВ в нем уже было мобилизовано ранее, в ходе эрозии, и частично вымыто при транспортировке, поэтому содержание ВЭОС здесь наименьшее. При такой трактовке логично промежуточное положение ВЭОС несмытого чернозема. При транспорте вниз по склону разрушенных частиц агрегатов вместе с водными потоками немаловажное значение имеют процессы консолидации размытых частиц в глыбы >10 мм. Об этом свидетельствует близость ряда оптических показателей ВЭОВ агрегатов 2–1 мм, расположенных выше по склону, с ОВ глыбистых структурных отдельностей стратозема. Это особенно ярко видно по показателю SUVA 254, как было описано выше.
Для ВЭОВ стратозема характерно уменьшение содержание компонентов устойчивого ОВ, обеднение ОВ ароматическими соединениями и увеличение доли белковых соединений. Вероятно, это объясняется активизацией микробной активности в стратоземе, связанной с притоком слаборазложенного ОВ из эродируемого чернозема, поскольку в очагах эрозии ОВ не успевает перерабатываться и выноситься.
Агрегаты 2–1 мм практически не перемещаются по склону, в то же время материал глыб >10 мм составляют преимущественно мигрирующие и привнесенные частицы.
Таким образом, процесс разрушения агрегатов, перенос их частиц вниз по склону и самоорганизация в стратоземах во многом определяет строение ВЭОВ и влияет на цикл углерода, как минимум на уровне пашни малого водосборного бассейна. При разрушении водой агрегатов их частицы мигрируют с потоками по склону, а органическое вещество подвергается разложению, в понижениях частицы аккумулируются, консолидируются в глыбистые структурные отдельности, при этом свойства их ВЭОВ существенно изменяются, как вследствие деградации ОВ, так и в результате его вымывания.
ФИНАНСИРОВАНИЕ РАБОТЫ
Полевые исследования были выполнены при поддержке гранта Российского научного фонда: проект № 22-17-00071, https://rscf.ru/project/22-17-00071.
КОНФЛИКТ ИНТЕРЕСОВ
Авторы заявляют, что у них нет конфликта интересов.
About the authors
V. A. Kholodov
Dokuchaev Soil Science Institute
Author for correspondence.
Email: vkholod@mail.ru
ORCID iD: 0000-0002-6896-7897
Russian Federation, Moscow
N. V. Yaroslavtseva
Dokuchaev Soil Science Institute
Email: vkholod@mail.ru
Russian Federation, Moscow
A. R. Ziganshina
Dokuchaev Soil Science Institute
Email: vkholod@mail.ru
Russian Federation, Moscow
N. N. Danchenko
Dokuchaev Soil Science Institute
Email: vkholod@mail.ru
Russian Federation, Moscow
Yu. R. Farkhodov
Dokuchaev Soil Science Institute
Email: vkholod@mail.ru
Russian Federation, Moscow
S. V. Maksimovich
Dokuchaev Soil Science Institute
Email: vkholod@mail.ru
Russian Federation, Moscow
A. P. Zhidkin
Dokuchaev Soil Science Institute
Email: vkholod@mail.ru
Russian Federation, Moscow
References
- Жидкин А.П., Комиссаров М.А., Шамшурина Е.Н., Мищенко А.В. Эрозия почв на Cреднерусской возвышенности (обзор) // Почвоведение. 2023. № 2. С. 259–272. https:/ /doi.org/10.31857/ S 0032180 X 22600901
- Караванова Е.И. Водорастворимые органические вещества: фракционный состав и возможности их сорбции твердой фазой лесных почв // Почвоведение. 2013. № 8. С. 924–936.
- Каштанов А.Н., Явтушенко В.Е. Агроэкология почв склонов. М.: Колос, 1997. С. 88–107.
- Классификация и диагностика почв России. Смоленск: Ойкумена, 2004. 342 с.
- Классификация и диагностика почв СССР. М.: Колос, 1977. 223 с.
- Кошовский Т.С. Латеральная миграция твердофазного вещества лесостепных почв в ландшафтно-геохимических аренах среднерусской возвышенности. Автореф. дис. … канд. геогр. наук. М., 2019. 25 с.
- Куликова Н.А. Влияние водорастворимых компонентов почв на размер и электрокинетический потенциал наноалмазов // Почвоведение. 2020. № 7. С. 816–827.
- Орлов Д.С., Бирюкова О.Н., Суханова Н.И. Органическое вещество почв Российской Федерации. М.: Наука, 1996. 256 с.
- Орлов Д.С., Садовникова Л.K., Суханова Н.И. Химия почв М.: Высш. шк., 2005. 558 с.
- Пансю М., Готеру Ж. Анализ почвы. Справочник. Минералогические, органические и неорганические методы анализа. СПб.: ЦОП Профессия, 2014. 800 с.
- Семенов В.М., Когут Б.М. Почвенное органическое вещество М.: ГЕОС, 2015. 233 с.
- Лисецкий Ф.Н, Светличный А.А., Черный С.Г. Современные проблемы эрозиоведения / Под ред. Светличного А.А. Белгород: Константа, 2012. 456 с.
- Холодов В.А. Способность почвенных частиц самопроизвольно образовывать макроагрегаты после цикла увлажнения и высушивания // Почвоведение. 2013. № 6. С. 698–706.
- Холодов В.А., Иванов В.А., Фарходов Ю.Р., Сафронова Н.А., Артемьева З.С., Ярославцева Н.В. Оптические характеристики фракций органического вещества агрегатов типичных черноземов // Бюл. Почв. Ин-та им. В.В. Докучаева. 2017. Вып. 90. С. 56–72. https://doi.org/10.19047/0136-1694-2017-90-56-72
- Холодов В.А., Ярославцева Н.В., Фарходов Ю.Р., Яшин М.А., Лазарев В.И., Ильин Б.С., Филиппова О.И., Воликов А.Б., Иванов А.Л. Оптические характеристики экстрагируемых фракций органического вещества типичных черноземов в многолетних полевых опытах // Почвоведение. 2020. № 6. С. 691–702. https://doi.org/10.31857/S0032180X20060052
- Чеботина М.Я. Влияние водорастворимого вещества лесной подстилки на поглощение радиоактивных изотопов в почве // Радиоэкологические исследования почв и растений. Тр. Ин - та экологии растений и животных. Свердловск, 1975. С. 21–25.
- Bengtsson M.M., Attermeyer K., Catalán N. Interactive effects on organic matter processing from soils to the ocean: are priming effects relevant in aquatic ecosystems? // Hydrobiologia. 2018. V. 822. P. 1–17.
- Bistarelli T.L., Poyntner C., Santín C., Doerr S.H., Talluto M. V., Singer G., Sigmund G. Wildfire-derived pyrogenic carbon modulates riverine organic matter and biofilm enzyme activities in an in situ flume experiment // ACS ES&T Water. 2021. V. 1. P. 1648–1656.
- Chang D.N., Cao W.D., Bai J.S., Gao S.J., Wang X.C., Zeng N.H., Katsuyoshi S. Spectrosc. Spectral Anal. 2017. V. 37. P. 221–226.
- Chantigny M.H. Dissolved and water-extractable organic matter in soils: A review on the influence of land use and management practices // Geoderma. 2003. V. 113. P. 357–380.
- Chen M., Jung J., Lee Y.K., Hur J. Surface accumulation of low molecular weight dissolved organic matter in surface waters and horizontal off-shelf spreading of nutrients and humic-like fluorescence in the Chukchi Sea of the Arctic Ocean // Sci. Total Environ. 2018. V. 639. P. 624–632.
- Coble P.G. Characterization of marine and terrestrial DOM in seawater using excitation-emission matrix spectroscopy // Marine Chemistry. 1996. V. 51. P. 325–346.
- Eder A., Weigelhofer G., Pucher M., Tiefenbacher A., Strauss P., Brandl M., Blöschl G. Pathways and composition of dissolved organic carbon in a small agricultural catchment during base flow conditions // Ecohydrol. Hydrobiol. 2022. V. 22. P. 96–112.
- Gao Z., Guéguen C. Size distribution of absorbing and fluorescing DOM in Beaufort Sea, Canada Basin // Deep-Sea Research Part I: Oceanographic Research Papers. 2017. V. 121. P. 30 –37.
- Gmach M.R., Cherubin M.R., Kaiser K., Cerri C.E.P. Processes that influence dissolved organic matter in the soil: A review // Sci. Agric. 2020. V. 77. P. 1–10.
- Gold-Bouchot G., Polis S., Castañon L.E., Flores M.P., Alsante A.N., Thornton D.C.O. Chromophoric dissolved organic matter (CDOM) in a subtropical estuary (Galveston Bay, USA) and the impact of Hurricane Harvey // Environ. Sci. Poll. Res. 2021. V. 28. P. 53045–53057.
- Groeneveld M., Catalán N., Attermeyer K., Hawkes J., Einarsdóttir K., Kothawala D. Selective adsorption ofterrestrial dissolved organic matter toinorganic surfaces along a boreal inlandwater continuum // J. Geophys. Res: Biogeosciences, 2020. V. 125. P. https://doi.org/10.1029/2019JG005236
- Helms J.R., Stubbins A., Ritchie J.D., Minor E.C., Kieber D.J., Mopper K. Absorption spectral slopes and slope ratios as indicators of molecular weight, source, and photobleaching of chromophoric dissolved organic matter // Limnology and Oceanography. 2008. V. 53. P. 955–969.
- ISO 10694:1995 Soil quality – Determination of organic and total carbon after dry combustion (elementary analysis).
- ISO 8245:1999 Water quality – Guidelines for the determination of total organic carbon (TOC) and dissolved organic carbon (DOC).
- IUSS Working Group WRB. World Reference Base for Soil Resources 2014, International soil classification system for naming soils and creating legends for soil maps // FAO. World Soil Resources Reports. 2014. V. 106. P. 203.
- Kalbitz K., Solinger S., Park J.H., Michalzik B., Matzner E. Controls on the dynamics of dissolved organic matter in soils: a review // Soil Sci. 2000. V. 165. P. 277–304.
- Kida M., Kojima T., Tanabe Y., Hayashi K., Kudoh S., Maie N., Fujitake N. Origin, distributions, and environmental significance of ubiquitous humic-like fluorophores in Antarctic lakes and streams // Water Res. 2019. V. 163. P. 114901.
- Mann P.J., Spencer R.G.M., Hernes P.J., Six J., Aiken G.R., Tank S.E., McClelland J.W., et al. Pan-Arctic trends in terrestrial dissolved organic matter from optical measurements // Front. Earth Sci. 2016. V. 4. P. 1–19.
- Meteoblue, Switzerland. https://www.meteoblue.com
- Murphy K.R., Stedmon C.A., Graeber D., Bro R. Fluorescence spectroscopy and multi-way techniques. PARAFAC // Anal. Methods. 2013. V 5. P. 6557–6566.
- OpenFluor, Lablicate GmbH. https://openfluor.lablicate.com/home
- Osburn C.L., Wigdahl C.R., Fritz S.C., Saros J.E. Dissolved organic matter composition and photoreactivity in prairie lakes of the U.S. Great Plains // Limnology and Oceanography. 2011. V. 56. P. 2371–2390.
- Panettieri M., Guigue J., Chemidlin Prevost-Bouré N., Thévenot M., Lévêque J., Guillou C. Le, Maron P.A. et al. Grassland-cropland rotation cycles in crop-livestock farming systems regulate priming effect potential in soils through modulation of microbial communities, composition of soil organic matter and abiotic soil properties // Agriculture, Ecosystems and Environment. 2020. V. 299. P. 106973.
- Parton W., Schimel D., Ojima D., Cole C. A general model for soil organic matter dynamics: sensitivity to litter chemistry, texture and management // Quantitative Modeling of Soil Forming Processes / Eds. Bryant R.B., Arnold R.W. SSSA Spec. Publ., 1994. V. 39. P. 147–167.
- Paul E.A. The nature and dynamics of soil organic matter: Plant inputs, microbial transformations, and organic matter stabilization // Soil Biol. Biochem. 2016. V. 98. P. 109–126.
- Pitta E., Zeri C. The impact of combining data sets of fluorescence excitation – emission matrices of dissolved organic matter from various aquatic sources on the information retrieved by PARAFAC modeling // Spectrochimica Acta – Part A: Molecular and Biomolecular Spectroscopy. 2021. V. 258. P. 119800.
- Pucher M. PARAFAC analysis of EEM data to separate DOM components in R staRdom : spectroscopic analysis of dissolved organic matter in R 1. https://cran.r-project.org/web//packages/staRdom/vignettes/PARAFAC_analysis_of_EEM.html
- Pucher M., Wünsch U., Weigelhofer G., Murphy K., Hein T., Graeber D. StaRdom: Versatile software for analyzing spectroscopic data of dissolved organic matter in R. Water (Switzerland), 2019. V. 11. P. https://doi.org/10.3390/ w11112366
- Rodrigues S.M., Trindade T., Duarte A.C., Pereira E., Koopmans G.F., Römkens P.F.A.M. A framework to measure the availability of engineered nanoparticles in soils: Trends in soil tests and analytical tools // TrAC – Trends Anal. Chem. 2016. V. 75. P. 129–140.
- Roper M.M., Gupta V., Murphy D. Tillage practices altered labile soil organic carbon and microbial function without affecting crop yields // Austral. J. Soil Res. 2010. V. 48. P. 274–285.
- Sharma P., Laor Y., Raviv M., Medina S., Saadi I., Krasnovsky A., Vager M., Levy G.J., Bar-Tal A., Borisover M. Compositional characteristics of organic matter and its water-extractable components across a profile of organically managed soil // Geoderma. 2017. V. 286. P. 73–82.
- Six J., Conant R.T., Paul E., Paustian K. Stabilization mechanisms of soil organic matter: Implications for C-saturation of soils // Plant Soil. 2002. V. 241. P. 155–176.
- Stockdale A., Bryan N.D. The influence of natural organic matter on radionuclide mobility under conditions relevant to cementitious disposal of radioactive wastes: A review of direct evidence // Earth-Science Rev. 2013. V. 121. P. 1–17.
- Tisdall J.M., Oades J.M. Organic matter and water-stable aggregates in soils // J. Soil Sci. 1982. V. 62. P. 141–163.
- Toosi E.R., Schmidt J.P., Castellano M.J. Land use and hydrologic flowpaths interact to affect dissolved organic matter and nitrate dynamics // Biogeochemistry. 2014. V. 120. P. 89–104.
- Van Gaelen N., Verschoren V., Clymans W., Poesen J., Govers G., Vanderborght J., Diels J. Controls on dissolved organic carbon export through surface runoff from loamy agricultural soils. // Geoderma. 2014. V. 226–227. P. 387–396.
- Vergnoux A., Di Rocco R., Domeizel M., Guiliano M., Doumenq P., Theraulaz F. Effects of forest fires on water extractable organic matter and humic substances from Mediterranean soils: UV–vis and fluorescence spectroscopy approaches // Geoderma. 2011. V. 160. P. 434–443.
- Walker S.A., Amon R.M.W., Stedmon C.A. Variations in high-latitude riverine fluorescent dissolved organic matter: A comparison of large Arctic rivers // J. Geophys. Res. Biogeosciences. 2014. V. 118. P. 1689–1702.
- Wünsch U.J., Geuer J.K., Lechtenfeld O.J., Koch B.P., Murphy K.R., Stedmon C.A. Quantifying the impact of solid-phase extraction on chromophoric dissolved organic matter composition // Marine Chem. 2018. V. 207. P. 33–41.
- Wünsch U.J., Murphy K.R., Stedmon C.A. The One-Sample PARAFAC Approach Reveals Molecular Size Distributions of Fluorescent Components in Dissolved Organic Matter // Environ. Sci. Technol. 2017. V. 51. P. 11900–11908.
- Yamashita Y., Maie N., Briceño H., Jaffé R. Optical characterization of dissolved organic matter in tropical rivers of the Guayana Shield, Venezuela // J. Geophys. Res. Biogeosciences. 2010. V. 115. P. 1–15.
- Yamashita Y., Panton A., Mahaffey C., Jaffe R. Assessing the spatial and temporal variability of dissolved organic matter in Liverpool Bay using excitation–emission matrix fluorescence and parallel factor analysis // Ocean Dynamics. 2011. V. 61. P. 569–579. https://doi.org/10.1007/s10236-010-0365-4
- Yamashita Y., Scinto L.J., Maie N., Jaffe, R. dissolved organic matter characteristics across a subtropical wetland’s landscape: application of optical properties in the assessment of environmental dynamics // Ecosystems. 2010. V. 13. P. 1006–1019.
- Zhou X., Johnston S.E., Bogard M.J. Organic matter cycling in a model restored wetland receiving complex effluent // Biogeochemistry. 2023. V. 162. P. 237–255. https://doi.org/10.1007/s10533-022-01002-x
Supplementary files










