Содержание различных форм гумуса в почвах вторичных лесов и субсредиземноморских степей Северо-Западного Кавказа (на примере хребта Грузинка)
- Авторы: Горбов С.Н.1, Тагивердиев С.С.1, Литвинская С.А.1,2, Скрипников П.Н.1, Сальник Н.В.1, Сальник Н.В.1, Козырев Д.А.1, Безуглова О.С.1
-
Учреждения:
- Южный федеральный университет
- Кубанский государственный университет
- Выпуск: № 11 (2024)
- Страницы: 1605-1618
- Раздел: ОРГАНИЧЕСКОЕ ВЕЩЕСТВО ПОЧВ ВТОРИЧНЫХ ЛЕСНЫХ ЭКОСИСТЕМ
- URL: https://journal-vniispk.ru/0032-180X/article/view/280553
- DOI: https://doi.org/10.31857/S0032180X24110125
- EDN: https://elibrary.ru/JNZPYA
- ID: 280553
Цитировать
Полный текст
Аннотация
Естественная структура экосистем нижне-среднегорного пояса Северо-Западного Кавказа представлена преимущественно вторичными древесными сообществами на фоне незначительного присутствия степных экосистем. Почвенный покров данной территории представлен комбинацией естественных типов: бурых лесных и дерново-карбонатных почв (рендзин). Бурые лесные почвы доминируют под пушистодубовыми лесами, в то время как дерново-карбонатные почвы, некогда сформированные под гемитермными (средиземноморскими) степями, претерпели существенные изменения и распространены как под пушистодубовыми шибляками, ясеневыми сообществами и липняками, так и под сохранившимися участками со степной растительностью. Как следствие идет уменьшение содержания Сорг в почвенно-сукцессионном ряду: дерново-карбонатные выщелоченные почвы под травянистыми сообществами, дерново-карбонатные выщелоченные почвы под древесными сообществами, бурые лесные почвы. Функционирование дерново-карбонатных почв под древесными фитоценозами и их дальнейшая сукцессия по буроземному типу достоверно уменьшает содержание Сорг на глубину до 60 см. В то время как содержание Сорг в дерново-карбонатных почвах под травянистыми фитоценозами больше не только в гумусово-аккумулятивном горизонте, но и по всему профилю в целом. Наиболее значимые изменения в составе гумуса затрагивают его водорастворимую фракцию, извлекаемую холодной и горячей экстракцией. Для бурых лесных и дерново-карбонатных почв под древесными фитоценозами характерны аналогичная специфика накопления в поверхностных горизонтах легкорастворимой фракции ВОВ (холодная экстракция) и ее профильного распределения. При этом абсолютные значения ВОВ (горячая экстракция) в профиле дерново-карбонатных почв под древесными формациями уменьшаются практически в 2 раза по сравнению с почвами травянистого фитоценоза. Уменьшение гумусированности дерново-карбонатных почв при формировании на них лесных сообществ происходит за счет деструкции органической части, некогда прочно ассоциированной с кальцием и претерпевающей максимальные трансформации за счет смены растительного опада и микроклимата под деревьями. Кислотность почвы оказывает влияние на степень экстракции ВОВ – доля горячей фракции ВОВ в С орг достоверно увеличивается при снижении pH раствора.
Полный текст
ВВЕДЕНИЕ
История лесов Северо-Западного Кавказа тесно связана с историей природопользования самобытной аборигенной черкесской культуры [14, 24, 35]. Горные ландшафты обеспечивали населению большое разнообразие природных условий и ресурсов, что давало возможность сформировать вариабельные формы уникальной хозяйственной деятельности и оригинальную специфическую систему устойчивого природопользования [29].
Ведущей отраслью хозяйства горских племен было экстенсивное скотоводство, для которого были необходимы значительные площади под пастбища и сенокосы. Однако в естественной структуре экосистем нижне-среднегорного пояса Северо-Западного Кавказа степные экосистемы присутствовали незначительно, а луга отсутствовали практически полностью (XVIII–середина XIX вв.). Как следствие “...леса истреблялись бывшими туземцами систематически, в силу принятой ими методы хозяйства, требовавшей уничтожения лесов для удовлетворения нужды двух главных промыслов – хлебопашества и скотоводства…” [36, с. 8].
Факт безлесности гор подтверждается и первыми научно-исследовательскими работами [1, 6, 12], и более поздними исследованиями растительности Северо-Западного Кавказа [7, 24, 25, 30, 40].
Таким образом, результатом черкесского природопользования является обезлесение горных ландшафтов Северо-Западного Кавказа. Несмотря на масштабность антропогенного воздействия на лесные ландшафты, полного разрушения структуры экосистемы широколиственных лесов не произошло [7, 25]. По всей видимости, многовековой опыт аборигенного населения приводил к постоянной сопряженности темпов эксплуатации лесных экосистем с возможностью их самовосстановления.
В 1864 г. черкесские племена вынуждены были покинуть горные ландшафты, и Северо-Западный Кавказ около 30 лет оставался вне антропогенного воздействия [25]. При резком ослаблении интенсивности природопользования лесная растительность быстро восстанавливалась. Семенным материалом для восстановительных сукцессий послужили священные дубовые рощи, дубы-черкесы, леса на крутых склонах, в щелях, близ источников. Возникли новые типы растительности: порослевые вторичные черешчато- и скальнодубовые и грабинниковые сообщества, вторичные ясенники и липняки, антропогенные послелесные луга, вторичный шибляк из дуба пушистого и ксерофильных кустарников в сочетании с остепненными ценозами, орешники из Corylus avellana (L.) H. Karst. Особенно широкое развитие получили вторичные дубовые сообщества (рис. S1). Леса восстанавливались, но количественно и качественно было другим, более обедненным [25].
В современном растительном покрове, наряду с восстановившимися порослевыми лесными сообществами, сохранившимися старовозрастными дубово-грабово-буковыми лесами, отдельные привершинные территории, особенно их южные склоны, часто занимают фрагменты горных степей и разнотравные остепненные луга (эродированные южные склоны). Горные степи относятся к особому типу гемитермных (субсредиземноморских) степей, значительно отличающихся от равнинных степей Западного Предкавказья (рис. S1). Это древние реликтовые степи, имевшие некогда более широкое распространение, их происхождение связано с ксеротермическим периодом голоцена, они отличаются высоким биоразнообразием [31].
Разнообразие растительного покрова приводит к формированию сложного сочетания дерново-карбонатных почв и буроземов, составляющих одну из малых групп почв по распространению [13]. Особенностью дерново-карбонатных почв является высокое содержание органического углерода при их малой мощности [44, 46]. Так, на западе Турции их мощность насчитывает около 33 см, а содержание органического углерода уменьшается с глубиной от 9.34 до 3.66% [48]. В почвах на юго-западе Словении содержание органического вещества достигает 51%, уменьшаясь с глубиной до 3% [56], а на юге Республики Северная Македония – от 22.59 до 5.28% [49]. Важной особенностью данных почв является подстилание твердыми карбонатными породами [42, 50]. Отмечается, что тип минерала определяет степень накопления гумуса, насыщенность основаниями, микробиологическую активность и другие характеристики почв [39, 55]. Сельскохозяйственное использование дерново-карбонатных почв затруднено особенностями геоморфологии территорий, на которых они сформированы [39], а также высокими рисками эрозионных процессов [42, 53].
На Северном Кавказе площадь дерново-карбонатных почв составляет 12 180 км2 [3]. В России принято считать, что данные почвы формируются под травянистыми фитоценозами [3, 19], однако в силу существования сукцессионных процессов, такие почвы часто встречаются и под древесными фитоценозами, что предопределяет их дальнейшее развитие по типу бурых лесных почв. Изменение фитоценоза приводит к трансформации карбонатного профиля [22] и фракционно-группового состава гумуса. На примере черноземов показано, что во многом возраст лесонасаждений влияет на запасы органического вещества почв. Отмечается, что в первые 30 лет в черноземах под древесной растительностью уменьшаются запасы органического вещества, а в последующие годы увеличиваются [37, 41, 51]. Водоэкстрагируемое органическое вещество (ВОВ) представляет наиболее динамичную часть органического вещества почв, оно является чувствительным индикатором трендов изменений его состояния и процессов почвообразования в целом [15].
Таким образом, под влиянием хозяйственной деятельности населения в период XVIII–XIX вв. в исследуемой регионе наблюдается антропогенная смена лесной растительности на послелесные и остепненные луга, а на крутых склонах на нагорно-ксерофильные и степные ценозы [25], что не могло не сказаться на состоянии почвенного покрова.
Цель исследования – проследить трансформацию дерново-карбонатных почв под различными фитоценозами Северо-Западного Кавказа, составляющими сукцессионный ряд.
ОБЪЕКТЫ И МЕТОДЫ
Объекты исследования. Исследовали хребет Грузинка, расположенный на землях лесного фонда территории Краснодарского края в районе г. Крымск, площадь изыскания составила 1601.75 га (рис. 1). Изучение растительного и эдафического компонентов природного комплекса проводили в мае–августе 2023 г. в рамках уточнения границ проектируемой ООПТ.
Рис. 1. Почвенная карта территории ООПТ “Гора Шизе – хр. Грузинка” (1 – граница ООПТ гора Шизе; 2 – изолинии высот; 3 – поверхностные образцы; 4 – почвенные разрезы; 5 – бурые лесные слабоненасыщенные почвы; 6 – бурые лесные неполноразвитые; 7 – дерново-карбонатные выщелоченные мощные; 8 – дерново-карбонатные выщелоченные маломощные; 9 – дерново-карбонатные выщелоченные поверхностно-глееватые).
По схеме физико-географического районирования изученная территория относится к самой западной части Северо-Кавказской провинции Большого Кавказа. Тип высокогорной зональности – умеренно-влажные лесолуговые карпатско-кавказские [16]. Биогеографическое районирование: Оробиом: Неморальный хвойно-широколиственный и широколиственный, Северо-Западнокавказский [23]. Согласно флористическому районированию Кавказа, территория памятника природы входит в район Западного Кавказа, Адагум-Пшишский флористический район [32].
Исходя из геоморфологического районирования, территория входит в состав Кавказской горной страны и относится к области Северо-Западного Кавказа провинции Большого Кавказа, где преобладают среднегорные хребты с эрозионным рельефом [20]. С севера на юг высоты по хребту увеличиваются: гора Грузинка – 357 м, гора Михаль – 542 м, гора Шизе – 542 м (высшая точка хр. Грузинка). Почвообразующие породы сложены осадочными отложениями от раннемелового до четвертичного возраста и представлены продуктами разной степени выветривания мергеля. Климат умеренно-влажный с годовым количеством осадков 500–600 мм.
По современной КиДПР почвенный покров изучаемой территории представленный дерново-карбонатными типичными почвами, отнесены к карболитоземам темногумусовым, выщелоченные и оподзоленные подтипы дерново-карбонатных почв – к буроземам темногумусовым [18, 17], а по классификации WRB первые отнесены к Rendzic Leptosols – это почвы, сформированные на плотном карбонатном элювии [47], выщелоченные и оподзоленные подтипы попадают в группу Cambisols.
Методы исследования. При изучении растительного покрова применяли маршрутный метод, закладывали сеть маршрутов, относительно равномерно покрывающих весь изучаемый участок и захватывающих все имеющиеся биотопы [34]. Флористический анализ с целью установления таксонов, их биологии и экологии проводили с помощью определителей и монографических работ [11, 21, 26, 27].
Разрезы закладывали с учетом растительных формаций и топографии на наименее эродированных территориях. Такой подход позволял охватить основные типы почв, при этом нивелировался мешающий эффект эрозии. Для того чтобы проследить трансформацию органического вещества закладывали разрезы с учетом почвенно-сукцессионного ряда: дерново-карбонатная выщелоченная под травянистым фитоценозом (ДКт), дерново-карбонатная выщелоченная под древесным фитоценозом (ДКд) и бурая лесная почва (БЛП). Почвенные образцы отбирали из всех генетических горизонтов, согласно ГОСТ 17.4.4.02-84 [9]. Дополнительно отбирали поверхностные образцы в десятикратной повторности из дернового горизонта в радиальном направлении от каждого разреза на расстоянии 30–50 м, либо точечно с привязкой к рельефу, что позволило сделать статистическую обработку данных и учесть фактор пестроты содержания изученных показателей.
Содержание органического углерода определяли двумя методами на базе научно-испытательной лаборатории “Биогеохимия” Южного федерального университета:
- определение гумуса в почве по Тюрину в модификации Никитина с колориметрическим окончанием по Орлову–Гриндель [33].
- высокотемпературное каталитическое сжигание с помощью элементного анализатора TOC-L CPN Shimadzu (SSM 5000a, Япония). Определение валового углерода осуществляли с использованием платинового катализатора при температуре 900°С. Концентрации образовавшегося СО2 регистрировали при помощи недисперсионного инфракрасного детектора. Содержание неорганического углерода определяли посредством прибавления фосфорной кислоты с последующим нагреванием до 200°С. Непосредственно органический углерод считали по разности значений между общим углеродом и неорганическим углеродом [51, 52].
Для количественной оценки растворимого органического вещества, как наиболее динамичной составной части гумуса, использовали метод, основанный на холодной и горячей экстракции органического вещества из почвенной суспензии в соотношении почва : вода 1 : 10 с последующим определением содержания углерода на анализаторе углерода TOC-L CPN Shimadzu [44]. Данный метод позволяет оценить потенциальное содержание лабильных (активных) фракций органического вещества почвы, так как они могут легко перемещаться посредством минерализации и высвобождения. К наиболее неустойчивым фракциям органического вещества относятся его составные части, экстрагируемые холодной/горячей водой. Легкорастворимая фракция – это фракция, экстрагируемая холодной водой, а растворимая фракция – горячей водой [8].
Содержание карбонатов измеряли при помощи кальциметра методом Шейблера. Содержание карбонатов выражали в пересчете на карбонат кальция, pH определяли по ГОСТ 26423-85 [10].
Статистическую обработку данных выполняли с помощью программного обеспечения Statistica for Windows 10.0, MS Excel. Рассчитывали среднее значение, медиану, стандартное отклонение, минимум и максимум выборки. Нормальность распределения данных выборки проверяли с помощью критериев Колмогорова–Смирнова и Шапиро–Уилка. Для оценки достоверности различий использовали критерий Манна–Уитни. Ранговую корреляцию рассчитывали с использованием критерия Спирмена.
РЕЗУЛЬТАТЫ И ОБСУЖДЕНИЕ
Изучение растительности показало, что на исследуемой территории сформировались своеобразные типы горных лесных формаций: леса на бурых лесных почвах, лесные сообщества на дерново-карбонатных и субсредиземноморские степи на дерново-карбонатных почвах.
Леса на бурых лесных почвах представлены скальнодубовыми сообществами и занимают местоположения с мягкими формами рельефа средневысотных и низких гор. В широколиственных дубовых и дубово-грабовых лесах произрастают клен полевой и каппадокийский (Acer campestre L., A. cappadocicum Gled.), ясень (Fraxinus excelsior L.), черногруша (Torminalis glaberrima (Gand.) Sennikov & Kurtto), липа (Tilia dasystyla subsp. сaucasica (V.Engl.) Pigott), реже бук (Fagus orientalis Lipsky) и сосна Коха (Pinus kochiana Klotzsch ex K. Koch). В подлеске произрастают мезофильные виды: кизил (Cоrnus mas L.), свидина (Swida australis (C.A. Mey.) Pojark. еx Grossh.), клекачка перистая (Staphylea pinnata L.), жимолость каприфоль (Lonicera caprifolium L.), бирючина обыкновенная (Ligustrum vulgare L.), ниже к подножью – лещина обыкновенная.
Лесные сообщества на дерново-карбонатных представлены пушистодубовыми сообществами (Quercus pubescens Willd.), которые на хр. Грузинка расширили свой ценоареал и заняли территории горностепных и остепненно-луговых сообществ. Леса с эдификаторной ролью дуба пушистого разнообразны по структуре, флористически богаты и образуют особый тип растительности – шибляк, представляющий собой концентрацию ксерофильных и мезоксерофильных формаций из листопадных кустарников. Q. pubescens в сочетании со своей флористической экологической свитой внедряется в степные сообщества, образуя на хр. Грузинка остепненные шибляковые сообщества. Кроме дуба пушистого, в состав шибляка входят держидерево (Paliurus spina-christi Mill.) и сумах дубильный (Rhus coriaria L.).
Степные сообщества хр. Грузинка на дерново-карбонатных представляют собой типичные субсредиземноморские сообщества, близкие по составу к растительности хребта Маркотх [28]. Дерновинную основу здесь составляют ковыль красивейший (Stipa pulcherima K. Koch) и типчак (Festuca valesiaca Gaud.), из злаков также произрастаюг тонконог тонкий (Koeleria cristata (L.) Pers.), бородач кровеостанавливающий (Bothriochloa ischaémum (L.) Keng.), перловник крымский (Melica taurica C. Koch). Разнотравье представлено средиземноморскими гемиксерофильными видами: асфоделина желтая (Asphodeline lutea (L.) Reichenb.), вьюнок кантабрийский (Сonvolvulus cantabrica L.), дубровник белый (Teucrium polium L.), полынь альпийская (Artemisia alpina Pall. ex Willd.), железница горная и ж. крымская (Sideritis montana L., S. Taurica Steph. ex Willd.) и редкими эндемиками: колокольчик Комарова (Campanula komarovii Maleev), тимьян маркотхский (Thymus markhotensis Maleev).
Полевое морфологическое обследование почвенных профилей и лабораторный анализ предоставленных образцов почв показали, что почвенный покров изученной территории представлен комбинацией естественных типов: бурых лесных и дерново-карбонатных почв (рис. 1). На высших точках водораздельных хребтов лесные формации переходят в горные степи и послелесные луга, как следствие дерново-карбонатные почвы на настоящем этапе на изученной территории функционируют как под степными, так и под древесными формациями.
Бурые лесные слабоненасыщенные (рис. S2) почвы приурочены к подножью хребта и денудационным склонам, сформированы на продуктах выветривания мергеля с алевролитом, подстилаемого глинами с прослоями песчаников и сидеритов. Мощность гумусово-аккумулятивного профиля составляет 25–40 см. Поверхностные грубогумусовые горизонты имеют хорошую комковато-ореховатую, комковато-зернистую структуру, а также высокое содержание гумуса до 6.8%, которое резко снижается с глубиной. Показатель рН суспензии меняется с глубиной в пределах 5.4–9.0. Такой разброс значений обусловлен особенностями гумуса, образованного древесным опадом и карбонатными породами, на которых сформировались почвы, а также высокой гетерогенностью самой почвы. Показатель сухого остатка водной вытяжки почв по профилю составляет 0.07–0.19%.
Бурые лесные неполноразвитые почвы залегают выше по рельефу, на более крутых склонах. Отличием данных почв от бурых лесных слабоненасыщенных является их малый по мощности профиль, с признаками смытости. Гумусово-аккумулятивный профиль составляет 10 см, сформирован на элювии известняка.
Дерново-карбонатные выщелоченные мощные почвы на продуктах выветривания мергеля приурочены к самым высоким формам рельефа. Мощность гумусово-аккумулятивного профиля составляет 22–50 см. В поверхностных горизонтах дерново-карбонатных почв идут активные процессы гумусообразования и гумусонакопления. В результате содержание гумуса в этих почвах составляет около 11%, что соответствует критерию многогумусные, редко до 14.5% гумуса, что классифицирует почвы как перегнойные. Структура данных почв разнообразна, и зависит от степени разложения органического вещества и наличия кратковременного подтопления верховодкой. В целом профиль обладает нейтральной реакцией среды, которая возрастает до щелочных значений рН в нижней части профиля.
Дерново-карбонатные выщелоченные маломощные на элювии мергеля почвы характеризуются значительным количеством почвенного органического вещества в поверхностном горизонте и имеют рН профиль, схожий с дерново-карбонатными мощными почвами. Отличительной особенностью является малая протяженность гумусово-аккумулятивного профиля, не превышающая 12–15 см.
Дерново-карбонатные выщелоченные поверхностно-глееватые почвы приурочены к повышениям рельефа центральной части хребта с наличием верховодки в слое карбонатного элювия, сформированной за счет атмосферных осадков. Избыточное увлажнение гумусово-аккумулятивных горизонтов возникает на границе соприкосновения с маломощным грубообломочном элювии плотной карбонатной породы (известняка). Как следствие в данных почвах развиваются процессы оглеения, морфологически выраженные в появлении сизых, оливковых оттенков горизонтов, формировании железистых выделений в профиле и трансформации структуры почв. Пятна оглеения встречаются на глубине 32–80 см, гумусово-аккумулятивный профиль составляет 32–60 см. Для них характерно высокое содержание почвенного органического вещества в поверхностных горизонтах, достигающее 14%, что классификационно определяет их как перегнойные. Актуальная кислотность варьирует от слабокислой до нейтральной по всему профилю, за исключением горизонта С, где рН выше 8.
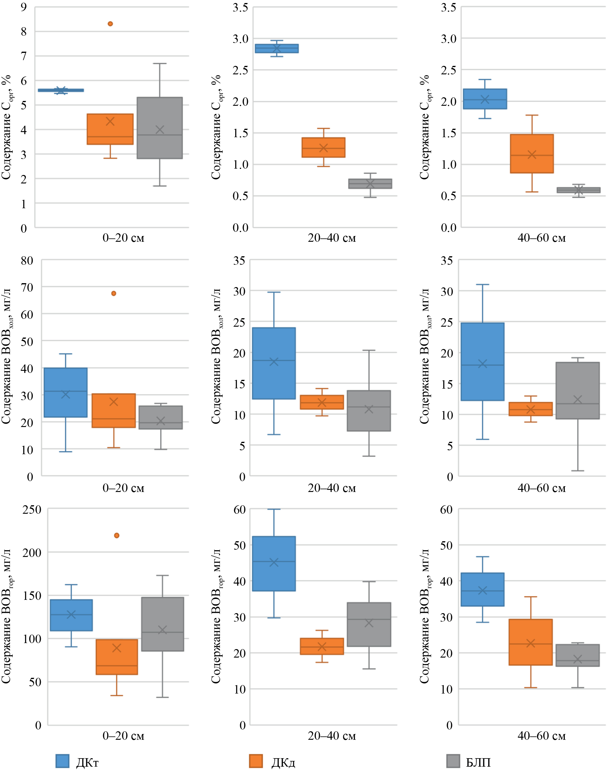
Особенности органического вещества изученных почв. На рис. 2 представлены абсолютное содержание Сорг, ВОВ холодной экстракции и горячей экстракций. Все выборки показывают резкое уменьшение содержания Сорг с глубиной. В бурых лесных почвах в слое 0–20 см наблюдается большой разброс значений содержания Сорг 1.69–6.69%, ниже по профилю показатель резко уменьшается, составляя в слое 20–40 см 0.48–0.86%, а в слое 40–60 см – 0.48–0.68%. В дерново-карбонатных почвах под древесными фитоценозами в слое 0–20 см медиана составляет 3.71%, что сопоставимо с таковым показателем бурой лесной почвы – 3.78%. Содержание Сорг в дерново-карбонатных почвах под травянистыми фитоценозами выше, чем в остальных выборках, как в поверхностных горизонтах (5.59%), так и по всему профилю.
Рис. 2. Содержание органического углерода (Сорг) и водорастворимых форм органического вещества (ВОВ) послойно в дерново-карбонатных почвах под травянистыми (ДКт) и древесными (ДКд) фитоценозами и в бурых лесных почвах.
Медианы содержания ВОВ холодной экстракции в бурых лесных почвах и дерново-карбонатных почвах под древесными фитоценозами сопоставимы и составляют для слоя 0–20 см 19.67 и 21.03 мг/л, для слоя 20–40 см – 11.12 и 11.81 мг/л, для слоя 40–60 см – 11.73 и 10.74 мг/л соответственно. Медианы этого показателя в дерново-карбонатных почвах под травянистыми фитоценозами во всех слоях выше, чем в других выборках.
Экстракция ВОВ горячей водой показала иные результаты: в слоях 0–20 и 20–40 см медианы в бурых лесных почвах выше таковых в дерново-карбонатных почвах под древесными фитоценозами, а в слое 40–60 см – наоборот. Медианы содержания ВОВ в дерново-карбонатных почвах под травянистыми фитоценозами во всех слоях выше, чем в других выборках.
Если рассмотреть долю ВОВ в составе органического углерода послойно, то (рис. 3) отмечаются высокие значения медианы, а также большой разброс значений в выборках бурых лесных почв, за исключением ВОВ холодной экстракции в слое 0–20 см. При этом медианы выборок в дерново-карбонатных почвах зачастую сопоставимы. Значения медианы относительного содержания ВОВ холодной экстракции возрастают с глубиной во всех выборках. Данные, полученные в вытяжках горячей экстракции, показали максимальную долю подвижного ВОВ в бурых лесных почвах на глубине 20–40 см. При этом в дерново-карбонатных почвах под древесными фитоценозами медиана по профилю в целом статична и находится пределах 1.73–1.96%. Минимальные значения медианы обнаружены в выборках дерново-карбонатных почв под травянистыми фитоценозами в слое 20–40 см. В целом доля общего ВОВ от Сорг во многом повторяет профильное распределение ВОВ при горячей экстракции.
Рис. 3. Доля ВОВ от Сорг послойно в дерново-карбонатных почвах под травянистыми (ДКт) и древесными (ДКд) фитоценозами и в бурых лесных почвах.
Полученные данные указывают, что содержание Сорг претерпевает трансформацию в почвенно-сукцессионном ряду: ДКт, ДКд и БЛП (табл. 1, 2). Достоверные различия Сорг показаны во всех сравнениях на глубинах 20–40, 40–60 см, а на глубине 0–20 см во всех сравнениях дерново-карбонатных почв под травянистыми ценозами. Таким образом, влияние древесных фитоценозов на дерново-карбонатные почвы, а затем и эволюция их в бурые лесные почвы сопровождается достоверным уменьшением содержания Сорг в дерново-карбонатных почвах на глубину до 60 см. Дерново-карбонатные почвы под древесными ценозами занимают промежуточное положение по содержанию Сорг среди изученных групп почв. Отсутствие достоверных различий в слое 0–20 см с бурыми лесными почвами косвенно указывает на изменение углеродного профиля почв в эволюционном ряду.
Таблица 1. Сравнение данных с помощью критерия Манна–Уитни в различных почвах послойно (р = 0.05; + различия достоверны; – различия не достоверны), %
Глубина, см | Схема сравнения | Сорг | ВОВхол | ВОВгор | ВОВобщ | Доля ВОВхол от Сорг | Доля ВОВгор от Сорг | Доля ВОВобщ от Сорг |
0–20 | ДКт/ДКд | + | – | + | + | – | – | – |
ДКт/БЛП | + | + | – | – | – | – | – | |
ДКд/БЛП | – | – | – | – | – | + | – | |
20–40 | ДКт/ДКд | + | + | + | + | + | – | + |
ДКт/БЛП | + | + | + | + | + | + | + | |
ДКд/БЛП | + | – | + | + | – | + | + | |
40–60 | ДКт/ДКд | + | + | + | + | – | + | – |
ДКт/БЛП | + | – | + | + | + | + | + | |
ДКд/БЛП | + | – | – | – | + | + | + |
Таблица 2. Медианы исследованных показателей послойно в дерново-карбонатных почвах под травянистыми и древесными фитоценозами и бурыми лесными почвами (n = 6–20)
Показатель | Почва | Глубина, см | ||
0–20 | 20–40 | 40–60 | ||
Сорг (Тюрин), % | ДКт | 5.59 | 2.85 | 2.02 |
ДКд | 3.71 | 1.25 | 1.14 | |
БЛП | 3.78 | 0.69 | 0.59 | |
Сорг (ТОС), % | ДКт | 5.03 | 2.81 | 2.10 |
ДКд | 3.15 | 1.21 | 1.02 | |
БЛП | 3.02 | 0.57 | 0.59 | |
Скарб, % | ДКт | 0.06 | 0.02 | 0.15 |
ДКд | 0.01 | 0.05 | 0.08 | |
БЛП | 0.01 | 0.02 | 0.05 | |
ВОВхол, мг/л | ДКт | 31.27 | 18.68 | 17.97 |
ДКд | 21.03 | 11.81 | 10.74 | |
БЛП | 19.67 | 11.12 | 11.73 | |
ВОВгор, мг/л | ДКт | 127.52 | 45.39 | 37.19 |
ДКд | 68.62 | 21.67 | 22.43 | |
БЛП | 107.41 | 29.32 | 17.88 | |
ВОВобщ, мг/л | ДКт | 162.08 | 64.07 | 55.16 |
ДКд | 89.65 | 33.48 | 33.18 | |
БЛП | 127.09 | 40.45 | 29.61 | |
Доля ВОВхол от Сорг, % | ДКт | 0.56 | 0.66 | 0.89 |
ДКд | 0.57 | 0.94 | 0.94 | |
БЛП | 0.52 | 1.61 | 1.99 | |
Доля ВОВгор от Сорг, % | ДКт | 2.27 | 1.59 | 1.84 |
ДКд | 1.85 | 1.73 | 1.96 | |
БЛП | 2.78 | 4.25 | 3.03 | |
Доля ВОВобщ от Сорг, % | ДКт | 2.86 | 2.25 | 2.73 |
ДКд | 2.42 | 2.67 | 2.90 | |
БЛП | 3.26 | 5.47 | 5.02 | |
Содержание ВОВ холодной экстракции показало достоверные различия по сравнению БЛП с ДКт в слое 0–20 см с превалированием в последней. В целом в слоях 20–40 и 40–60 см наблюдается наибольшее содержание легкорастворимого органического вещества в ДКт. Однако высокая вариация показателя и в тех, и в других почвах не дает достоверных различий в слое 40–60 см.
Неожиданный результат показала горячая экстракция, наименьшими значениями медиан в слое 0–20 и 20–40 см характеризуются дерново-карбонатные почвы под древесными ценозами. Все сравнения в слое 20–40 см показали достоверные различия. В нижележащем слое 40–60 см обнаружено достоверное превалирование ВОВ горячей экстракции в группе дерново-карбонатных почв под травянистыми ценозами. Такие данные получены и по результатам сравнений общего ВОВ почв, что связано с превалирующим содержанием ВОВ горячей экстракции над холодной.
Чтобы нивелировать разницу в содержании Сорг в разных почвах, рассчитали долю ВОВ почв от Сорг и сравнили по аналогичной схеме. Доля ВОВ холодной экстракции в слое 20–40 см достоверно ниже в дерново-карбонатных почвах травянистых ценозов относительно других выборок, а в слое 40–60 см обнаружена достоверно более высокая доля ВОВ в бурых лесных почвах.
Доля ВОВ горячей экстракции в слое 0–20 см показала достоверные различия в паре сравнения ДКд–БЛП, с большей долей ВОВ в последней. На глубине 20–40 см в БЛП обнаружено достоверно большее участие ВОВ в Сорг в сравнениях с обеими группами дерново-карбонатных почв, а в слое 40–60 см почвы по этому показателю можно выстроить в убывающий ряд: БЛП → ДКд → ДКт.
В сравнениях доли общего ВОВ достоверные различия в слое 0–20 см не обнаружены. В слое 20–40 см почвы по этому показателю также выстраиваются в аналогичный убывающий ряд. А в слое 40–60 см в бурых лесных почвах достоверно большие значения, чем в дерново-карбонатных почвах.
В изученных разрезах проанализировали корреляционную взаимосвязь содержания ВОВ с другими химическими показателями (Сорг, величина pH, карбонаты), а также глубиной. Она оценивалась с помощью критерия Спирмена при уровне p < 0.05.
В табл. 3 видна обратная взаимосвязь содержания водорастворимых форм углерода с глубиной. Причем наиболее сильную взаимосвязь с глубиной обнаруживает ВОВ, полученное с помощью горячей экстракции, связь слабеет в ряду ВОВгор → ВОВобщ → Сорг → ВОВхол (r = –0.85, –0.76, –0.70, –0.40 соответственно). Показатели содержания ВОВ в составе Сорг не проявляют достоверной корреляции с глубиной. Однако ВОВгор в составе Сорг коррелирует с величиной pH (r= –0.50). ВОВ, полученное горячей водной экстракцией, проявляет достоверную обратную корреляционную взаимосвязь с такими показателями, как pH и концентрацией карбонатов (r= –0.64, –0.42 соответственно).
Таблица 3. Корреляционная матрица со значениями коэффициента корреляции r для изученных почвенных показателей (красным отмечена достоверная корреляционная взаимосвязь при p < 0.05)
Параметр | pH | Карбонаты | ВОВхол | ВОВгор | ВОВобщ | Доля ВОВхол в Сорг | Доля ВОВгор в Сорг | Доля ВОВобщ в Сорг | Сорг | Глубина |
pH | 1.00 | 0.49 | –0.33 | –0.64 | –0.63 | 0.02 | –0.50 | –0.29 | –0.32 | 0.43 |
Карбонаты | 0.49 | 1.00 | –0.05 | –0.42 | –0.35 | 0.25 | 0.09 | 0.23 | –0.51 | 0.20 |
ВОВхол | –0.33 | –0.05 | 1.00 | 0.57 | 0.77 | 0.54 | 0.61 | 0.63 | 0.24 | –0.40 |
ВОВгор | –0.64 | –0.42 | 0.57 | 1.00 | 0.95 | –0.15 | 0.35 | 0.17 | 0.77 | –0.85 |
ВОВобщ | –0.63 | –0.35 | 0.77 | 0.95 | 1.00 | 0.09 | 0.48 | 0.36 | 0.64 | –0.76 |
Доля ВОВ хол в Сорг | 0.02 | 0.25 | 0.54 | –0.15 | 0.09 | 1.00 | 0.68 | 0.86 | –0.57 | 0.29 |
Доля ВОВгор в Сорг | –0.50 | 0.09 | 0.61 | 0.35 | 0.48 | 0.68 | 1.00 | 0.93 | –0.26 | –0.20 |
Доля ВОВобщ в Сорг | –0.29 | 0.23 | 0.63 | 0.17 | 0.36 | 0.86 | 0.93 | 1.00 | –0.41 | –0.01 |
Сорг | –0.32 | –0.51 | 0.24 | 0.77 | 0.64 | –0.57 | –0.26 | –0.41 | 1.00 | –0.70 |
Глубина | 0.43 | 0.20 | –0.40 | –0.85 | –0.76 | 0.29 | –0.20 | –0.01 | –0.70 | 1.00 |
Таким образом, за прошедшие два с лишним века в результате формирования специфических полуприродных ландшафтов, сложенных сменяющимися во времени лесными и степными формациями, на территории отдельных горных массивов к настоящему времени сформировались, эволюционируют и получили развитие бурые лесные ненасыщенные почвы и различные дерново-карбонатные, преимущественно выщелоченные глинисто-мергелистые многогумусные и дерново-карбонатные выщелоченные поверхностно-глееватые перегнойные почвы. В соответствии с концепцией о почвенных сукцессиях [2, 5, 38] “в развитии и динамике почв выделяются эволюционные изменения и катаклизмы, сукцессионные и флуктуационные формы развития” [4, с. 55]. На примере изучения почвенного покрова горы Шизе показаны сукцессии почв под влиянием антропогенной деятельности.
ЗАКЛЮЧЕНИЕ
- Почвенный покров ООПТ “Гора Шизе – хребет Грузинка” представлен комбинацией естественных типов: бурых лесных и дерново-карбонатных почв. Бурые лесные почвы доминируют под пушистодубовыми лесами, чередующимися со скальнодубовыми и дубово-грабовыми сообществами. Дерново-карбонатные почвы, некогда сформированные под гемитермными (средиземноморскими) степями с доминированием гемиксерофильных видов, претерпели существенные изменения в результате нарушения педоклимаксного состояния за период антропогенной трансформации лесных сообществ Северо-Западного Кавказа на рубеже XVIII и XIX вв. В настоящее время дерново-карбонатные почвы распространены под пушистодубовыми шибляками, представляющими собой природно-антропогенный дериват первичных средиземноморских экосистем с доминированием Quercus pubescens Willd в сочетании с Carpinus orientalis L., Paliurus spina-christi Mill., Viburnum lantana L. Cotynus coggygria, Rhus coriaria L., а также ясеневыми сообществами и липняками в привершинных частях склонов северных экспозиций на контакте со степной растительностью.
- Содержание Сорг изменяется в почвенно-сукцессионном ряду: дерново-карбонатные почвы под травянистыми сообществами, дерново-карбонатные почвы под древесными сообществами, бурые лесные почвы. Функционирование рендзин под древесными фитоценозами и их дальнейшая сукцессия по буроземному типу достоверно уменьшают содержание Сорг на глубину до 60 см. Медиана содержания Сорг в этих почвах под древесными фитоценозами в слое 0–20 см сопоставима с таковым показателем в бурой лесной почве. Содержание Сорг в дерново-карбонатных почвах под травянистыми фитоценозами выше не только в гумусово-аккумулятивном горизонте, но и по всему профилю.
- Функционирование почв под древесными ассоциациями сказывается и на содержании мобильных форм гумуса – неустойчивых фракциях органического вещества. Величины легкорастворимой (холодной экстракции) фракции ВОВ в бурых лесных почвах и дерново-карбонатных почвах под древесными фитоценозами сопоставимы как для поверхностных горизонтов, так и при сравнении их профильного распределения.
- При смене растительных формаций на дерново-карбонатных почвах наиболее значимые изменения в составе гумуса затрагивают растворимую фракцию (горячая экстракция). Абсолютные значения ВОВгор в профиле дерново-карбонатных почв под древесными формациями уменьшаются практически в 2 раза по сравнению с почвами травянистого фитоценоза. Однако доля ВОВгор в составе Сорг достоверно уменьшается только в поверхностных горизонтах, далее вниз по профилю данный показатель плавно возрастает, что свойственно дерновым почвам, формирующимся на карбонатных породах. Таким образом, можно предположить, что уменьшение гумусированности дерново-карбонатных почв при формировании на них лесных сообществ происходит за счет деструкции органической части, некогда прочно ассоциированной с кальцием, претерпевающей максимальные трансформации за счет смены растительного опада и микроклимата под деревьями.
- Выявлена сильная корреляционная взаимосвязь между содержанием общего органического углерода и водноэкстрагируемого органического вещества. Вниз по профилю абсолютное содержание ВОВ уменьшается, что сопряжено со уменьшением количества общего органического углерода. Примечательно, что кислотность почвы оказывает влияние на степень экстракции ВОВ – доля горячей фракции ВОВ в Сорг достоверно увеличивается при уменьшении pH раствора.
ФИНАНСИРОВАНИЕ РАБОТЫ
Исследование выполнено в рамках программы стратегического академического лидерства Южного федерального университета (“Приоритет 2030”).
СОБЛЮДЕНИЕ ЭТИЧЕСКИХ СТАНДАРТОВ
В данной работе отсутствуют исследования человека или животных.
КОНФЛИКТ ИНТЕРЕСОВ
Авторы заявляют, что у них нет конфликта интересов.
ДОПОЛНИТЕЛЬНАЯ ИНФОРМАЦИЯ
Онлайн-версия содержит дополнительные материалы, доступные по адресу https://doi.org/10.31857/S0032180X24110125.
Об авторах
С. Н. Горбов
Южный федеральный университет
Email: 2s-t@mail.ru
Россия, пр-т Стачки, 194/1, Ростов-на-Дону, 344090
С. С. Тагивердиев
Южный федеральный университет
Автор, ответственный за переписку.
Email: 2s-t@mail.ru
ORCID iD: 0000-0003-4422-1094
Россия, пр-т Стачки, 194/1, Ростов-на-Дону, 344090
С. А. Литвинская
Южный федеральный университет; Кубанский государственный университет
Email: 2s-t@mail.ru
Россия, пр-т Стачки, 194/1, Ростов-на-Дону, 344090; ул. Ставропольская, 149, Краснодар, 350040
П. Н. Скрипников
Южный федеральный университет
Email: 2s-t@mail.ru
Россия, пр-т Стачки, 194/1, Ростов-на-Дону, 344090
Н. В. Сальник
Южный федеральный университет
Email: 2s-t@mail.ru
Россия, пр-т Стачки, 194/1, Ростов-на-Дону, 344090
Н. В. Сальник
Южный федеральный университет
Email: 2s-t@mail.ru
Россия, пр-т Стачки, 194/1, Ростов-на-Дону, 344090
Д. А. Козырев
Южный федеральный университет
Email: 2s-t@mail.ru
Россия, пр-т Стачки, 194/1, Ростов-на-Дону, 344090
О. С. Безуглова
Южный федеральный университет
Email: 2s-t@mail.ru
Россия, пр-т Стачки, 194/1, Ростов-на-Дону, 344090
Список литературы
- Альбов Н.М. Ботанико-географические исследования в западном Закавказье в 1893 году. Тифлис: Тип. К.П. Козловского, 1893. 48 с.
- Боул С., Хоул Ф., Мак-Крекен Р. Генезис и география почв. М., 1977. 416 с.
- Вальков В.Ф., Штомпель Ю.А., Тюльпанов В.И. Почвоведение (почвы Северного Кавказа). Краснодар: Совет. Кубань, 2002. 723 с.
- Васенев И.И. Почвенные сукцессии. М.: Изд-во ЛКИ, 2008. 400 с.
- Васенев И.И., Таргульян В.О. Ветровал и таежное почвообразование. М.: Наука, 1995. 247 с.
- Васюков С. Край гордой красоты: кавказское побережье Черного моря: природа, характер и будущность русской культуры. СПб.: Изд-во А.Ф. Девриен, 1903. 236 с.
- Верещагин А.В., Глотов Н.В., Семериков Л.Ф. К истории дубовых лесов Северо-Западного Кавказ // Биосфера и ее ресурсы. М., 1971. С. 218–237.
- Горбов С.Н., Безуглова О.С., Скрипников П.Н., Тищенко С.А. Растворимое органическое вещество в почвах Ростовской агломерации // Почвоведение. 2022. №. 7. С. 894–908.
- ГОСТ 17.4.4.02-84. Методы отбора и подготовки проб для химического, бактериологического, гельминтологического анализа. М.: Изд-во стандартов, 2008. 8 с.
- ГОСТ 26423-85. Почвы. Методы определения удельной электрической проводимости, рН и плотного остатка водной вытяжки. М.: Изд-во стандартов, 2011. 6 с.
- Гроссгейм А.А. Определитель растений Кавказа. М.: Совет. наука, 1949. 747 с.
- Динник Н.Я. Оштен и окружающие его части Кубанской области. Тифлис: Зап. Кавказ. отдела Императорского Русского географического о-ва, 1894.
- Добровольский Г.В., Урусевская И.С. География почв. М.: Изд-во Моск. ун-та, 2006. 460 с.
- Иоанн де Галонифонтибус. Сведения о народах Кавказа. Книга познания мира. Баку: Элм, 1980. 25 с.
- Караванова Е.И. Водорастворимые органические вещества: фракционный состав и возможности их сорбции твердой фазой лесных почв (обзор литературы) // Почвоведение. 2013. №. 8. С. 924-924.
- Карта физико-географического районирования СССР. М-б: 1 : 24 000 000. Атлас СССР. Карты природы. Физико-географическое районирование // Главное управление геодезии и картографии при Совете Министров СССР. М., 1983. С. 120 http://neotec.ginras.ru/neomaps/M240_Union_1983_Geography.jpg
- Классификация и диагностика почв России. Смоленск: Ойкумена, 2004. 342 с.
- Классификация и диагностика почв СССР. М.: Колос, 1977. 223 с.
- Ковда В.А., Розанов Б.Г. Почвоведение Ч. 2. Типы почв, их география и использование. М.: Высшая школа, 1988. 368 с.
- Колесников Ю.С., Зинченко В.А., Сафронов И.Н. Природные условия и естественные ресурсы. Ростов-на-Дону: Изд-во Ростовского ун-та, 1986. 221 с.
- Косенко И.С. Определитель высших растений Северо-Западного Кавказа и Предкавказья. М.: Колос, 1970. 614 с.
- Кутровский М.А., Казеев К.Ш., Колесников С.И., Вальков В.Ф. Экологические Особенности рендзин черноморского побережья Кавказа // Известия высших учебных заведений. Северо-Кавказский регион. Сер. Естественные науки. 2008. № 6. С. 97–101.
- Литвинская С.А. Заповедная природа Кубани. Ростов-на-Дону: Изд-во Южного федерального ун-та, 2023. 448 с.
- Литвинская С.А. Историческая экология. Краснодар, 1997. 215 с.
- Литвинская С.А. Растительный покров Северо-Западного Кавказа и проблемы его охраны. Автореф. дис. … д-ра биол. наук. Новосибирск, 1994. 32 с.
- Литвинская С.А. Таксономическая и биогеографическая характеристика флоры Западного Предкавказья и Западного Кавказа: Phylum Magnoliophyta: Classis Liliopsida монография. М.: Наука, 2019. 540 с.
- Литвинская С.А. Таксономическая и биогеографическая характеристика флоры Западного Предкавказья и Западного Кавказа. Phylum Magnoliophyta: Classis Liliopsidа. Family Poaceae. Краснодар: Традиция, 2021. 540 с.
- Литвинская С.А. Хребет Маркотх – как перспективная охраняемая природная территория федерального уровня российской части Кавказа для сохранения субсредиземноморского флорокомплекса // Биологическое разнообразие Кавказа и Юга России: мат. Междунар. науч. конф. Грозный, 4–5 ноября 2016 г. Грозный, 2016. Ч. 1. С. 350–354.
- Литвинская С.А. Черкесская культура – эколого-экономический феномен в истории народов России // Юг России: экология, развитие. 2015. Т. 10. № 3. С. 70–84.
- Литвинская С.А., Литвинский К.О. История природопользования: эколого-экономический аспект. Краснодар: Кубанский госуниверситет. 2013. 237 с.
- Малеев В.П. О следах ксеротермического периода на Северо-Западном Кавказе // Сов. ботаника. 1939. № 4. С. 68–75.
- Меницкий Ю.Л. Проект “Конспект флоры Кавказа”. Карта районов флоры // Ботан. журн. 1991. Т. 76. № 11. С. 1513–1521.
- Никитин Б.А. Уточнение к методике определения гумуса в почве // Агрохимия. 1983. № 8. С. 18–26.
- Полевая геоботаника. М.: Наука, 1959–1976. Т. 1–5.
- Половинкина Т.В. Аборигены Кавказского Причерноморья. Нальчик, 2004. 85 с.
- Серебряков И. Сельскохозяйственные условия северо-западного Кавказа // Записки Кавказского общества сельского хозяйства. Тифлис, 1867. № 1–2. С. 1–26.
- Скрипников П.Н., Горбов С.Н., Матецкая А.Ю., Тагивердиев С.С., Сальник Н.В. Особенности накопления и профильного распределения различных форм углерода в почвах парково-рекреационной зоны Ростовской агломерации // Наука Юга России. 2023. Т. 19. № 4. С. 52–66.
- Строганова М.Н., Карпачевский Л.О., Таргульян В.О., Васенев И.И., Гончарук Н.Ю. Почвенные микросукцессии в климаксных ельниках южной тайги // История развития почв СССР в голоцене. Пущино, 1984. С. 68–69.
- Суханов П.А., Кашанский А.Д., Наумов В.Д. Агрогенетическая характеристика рендзин Триполитании (Ливия) // Известия Тимирязевской сельскохозяйственной академии. 2012. № 1. С. 63–71.
- Хатисов И.С., Ротиньянц А.Д. Обзор местности северо-восточного берега Черного моря, между г. Новороссийском и постом Вельяминовским на реке Туапсе (1867) // Старые черкесские сады. М., 2005. Т. 2. 16 с.
- Чендев Ю.Г., Геннадиев А.Н., Смирнова М.А., Лебедева М.П., Плотникова О.О., Заздравных Е.А., Шаповалов А.С. Ранние стадии эволюции черноземов под лесной растительностью (Белгородская область) // Почвоведение. 2022. № 4. С. 387–404.
- Arnald O., Bartoli F., Buurman P., Garcia-Rodeja E., Oskarsson H., Stoops G. Soils of volcanic regions in Slovakia // Soils of Volcanic Regions in Europe. Berlin. Springer, 2007. P. 82–100.
- Arnold R.W., Szabolcs I., Targulian V.O., Solomon A.M. Global Soil Change. Laxenburg: International lnstitute for Applied Systems Analysis, 1990. 110 р.
- Blaschke P.M., Trustrum N.A., DeRose R.C Ecosystem processes and sustainable land use in New Zealand steeplands // Agriculture, Ecosystems Environment. 1992. V. 41. P. 153–178. https://doi.org/10.1016/0167-8809(92)90107-M
- D’Amico M.E., Casati E., El Khair D.A., Cavallo A., Barcella M., Previtali F. Aeolian inputs and dolostone dissolution involved in soil formation in Alpine karst landscapes (Corna Bianca, Italian Alps) // Catena. 2023. V. 230 P. 107254. https://doi.org/10.1016/j.catena.2023.107254
- Dinca L.C., Spârchez Gh., Dinca M., Blujdea V.N. Organic carbon concentrations and stocks in Romanian mineral forest soils // Annals Forest Res. 2012. V. 55. P. 229–241. https://doi.org/10.15287/afr.2012.63
- Gregorich E.G., Beareb M.H., Stoklasa U., St-Georgesa P. Biodegradability of soluble organic matter in maize-cropped soils // Geoderma. 2003. V. 113. P. 237–252. https://doi.org/10.1016/S0016-7061(02)00363-4
- Homolák M., Kriaková E., Pichler V., Gömöryová E., Bebej J. Isolating the soil type effect on the organic carbon content in a RendzicLeptosol and an Andosol on a limestone plateau with andesite protrusions // Geoderma. 2017. V. 302. P. 1–5. https://doi.org/10.1016/j.geoderma.2017.04.009
- IUSS Working Group WRB. 2022. World Reference Base for Soil Resources. International soil classification system for naming soils and creating legends for soil maps. International Union of Soil Sciences (IUSS), Vienna, Austria.
- Kurucu Y., Esetlili M.T. Rendzic leptosols // In: Kapur, S., Akça, E., Günal, H. (eds) The Soils of Turkey. World Soils Book Series. Springer, Cham. 2018. P. 251–258. https://doi.org/10.1007/978-3-319-64392-2_17
- Markoski M., Mitkova T., Tanaskovik V., Spalević V. Content of Humus and Soil Ph of the Soils Formed upon Limestones and Dolomites // Section of Natural, Mathematical and Biotechnical Sciences, MASA. 2019. V. 40. P. 151–160. https://doi.org/10.20903/csnmbs.masa.2019.40.2.139
- Schweizer S.A., Hurtarte L.C.C., Höschen C., Klysubun W., Harrington G., Prietzel J. Phosphorus hotspots in pedogenic carbonate coatings determined by zoned microscale arrangement and organo-mineral interactions. // Geochim. Cosmochim. Acta. 2023. V. 344. P. 90–102. https://doi.org/10.1016/j.gca.2023.01.018
- Skripnikov P.N., Gorbov S.N., Matetskaya A.Y., Ivolgina V.A. Specifics of Accumulation and Profile Distribution of Organic Carbon in Soils of Park and Recreational Areas of Rostov Agglomeration // In: Korneykova, M., et al. Smart and Sustainable Urban Ecosystems: Challenges and Solutions. SSC 2022. Springer Geography. Springer, 2023. P. 181–193. https://doi.org/10.1007/978-3-031-37216-2_15
- Sleutel S., De Neve S., Singier B., Hofman G. Quantification of organic carbon in soils: A comparison of methodologies and assessment of the carbon content of organic matter // Comm. Soil Sci. Plant Analysis. 2007. V. 38. P. 2647–2657 https://doi.org/10.1080/00103620701662877
- Tagiverdiev S.S., Gorbov S.N., Bezuglova O.S., Skripnikov P.N. The content and distribution of various forms of carbon in urban soils of southern Russia on the example of Rostov agglomeration // Geoderma Regional. 2020. V. 21. P. 00266. https://doi.org/10.1016/j.geodrs.2020.e00266
- Trustrum N.A., De Rose R.C. Soil depth-age relationship of landslides on deforested hillslopes, Taranaki, New Zealand // Geomorphology. 1988. V. 1. P. 143–160. https://doi.org/10.1007/978-3-031-37216-2_15
- Žigova A., Šťastny M., Hladil J. Mineral composition of rendzic leptosols in protected areas of the Czech Republic // Acta Geodyn. Geomater. 2014. V. 11. P. 77–88. https://doi.org/10.13168/AGG.2013.0056
- Zupančič N., Miler M., Grčman H. Geochemical fingerprint of insoluble material in soil on different limestone formations // Catena. 2018. V. 170. P. 10–24. https://doi.org/10.1016/j.catena.2018.05.040
Дополнительные файлы






