Biochemical activity and gas regime in the eutrophic and mesotrophic swamp of Gorny Altai
- Authors: Inisheva L.I.1, Porokhina E.V.1, Inishev N.G.2, Golovchenko A.V.3, Larina G.V.4
-
Affiliations:
- Tomsk State Pedagogical University
- Tomsk State University
- Lomonosov Moscow State University
- Gorno-Altai State University
- Issue: No 1 (2025)
- Pages: 56–73
- Section: SOIL CHEMISTRY
- URL: https://journal-vniispk.ru/0032-180X/article/view/287045
- DOI: https://doi.org/10.31857/S0032180X25010052
- EDN: https://elibrary.ru/BYBUJW
- ID: 287045
Cite item
Full Text
Abstract
The results of studies of biological activity, concentrations of carbon-containing greenhouse gases and their emissions in eutrophic and mesotrophic swamps are presented. It was established that 4 years of research are characterized as long-term averages, levels marsh water in the swamps were close to the surface, and the humidity in the 0–30 cm layer did not fall below 0.8 of the total moisture capacity. It was revealed that the degree of heating of peat profiles of swamps is determined by their type and the level marsh water. The activity of oxidoreductases involved in the formation of humic substances has been revealed. The activity of catalase and polyphenol oxidase in the peats of a eutrophic swamp is identical to their activity in the peats of a mesotrophic swamp, and the activity of peroxidase in eutrophic peats is 1.5–6 times higher compared to the peats of a mesotrophic swamp. The dynamics of carbon-containing gases in the peat profile of swamps was studied, which showed similar values for both types of swamps from 0.07 to 1.4 mmol/dm3 for CO2 and from zero to 0.65 mmol/dm3 for CH4. The extreme values of the concentration of CO2 and CH4 gases in the eutrophic peat deposit were determined: for CO2 – 0.07–1.40 and for CH4 – 0.00–0.65 mmol/dm3, and in the mesotrophic: for CO2 – 0.05–1.10 mmol/dm3 and for CH4 – 0.00–0.62 mmol/dm3. In the eutrophic swamp, limits of emission values are observed: for CO2 – 17.2–77.1 mg CO2/(m2 h), for CH4 1.3–11.3 mg CH4/(m2 h). In a mesotrophic swamp, the emission limits are: for CO2 – 34.9–109.9 mg CO2/(m2 h), for CH4 – 0.5–15.1 mg CH4/(m2 h). Quantitative indicators of biological parameters and their distribution along the peat profile of eutrophic and mesotrophic types were obtained. It has been proven that the activity of biological processes manifests itself throughout the peat profile of the swamp down to the mineral underlying rocks, but the degree of their activity is determined by the type of swamp and the botanical composition of the peat profile.
Full Text
Введение
Горный Алтай (ГА) занимает юго-восточную территорию Западной Сибири и представляет крайнюю юго-западную часть Алтае-Саянской складчатой области [34]. По условиям залегания на ГА выделяются типы болот: долинные, пойменные, болота надпойменных террас, плоских равнин и крупных межгорных впадин, залегающие на нескальных и скальных породах. Породы скальной группы имеют доминирующее распространение на территории. В нескальной группе пород представлены отложения аллювиального, субаэрально-аквального и склонового комплекса осадков, а также осадки ледникового комплекса и вечномерзлые породы.
По типам структуры вертикальной поясности и биоклиматическим особенностям территория ГА подразделяется на три региона: Северный, Центральный и Юго-Восточный Алтай [13, 28]. Влажный климат в Северном, наличие островной мерзлоты в Центральном и сочетание низких температур и вечной мерзлоты в Юго-Восточном Алтае определяют особенности болотообразовательного процесса на современном этапе [22]. На территории ГА преобладают торфяные болота низинного типа, реже отмечены переходные, типичных залежей верхового типа нет.
Процессы заболачивания и торфонакопления в горных районах имеют подчиненное значение и выражены не так ярко, как на равнинах. Здесь болотные массивы невелики по размерам, зависимы от внешних условий и чувствительны к антропогенному воздействию. Качественные показатели торфов ГА отличаются от других территорий. Важно отметить высокую зольность и степень разложения торфов, вследствие богатого видового состава фитоценозов. На фоне внимания ученых к обширным равнинным болотам болота горных территорий остаются мало изученными. Известны публикации по отдельным болотам ГА [2, 3, 26, 52].
Цель работы – характеристика биологического и газового (концентрации углеродсодержащих парниковых газов и их эмиссии) режимов в эвтрофном и мезотрофном болотах северо-восточной территории ГА.
Объекты и методы
Северо-восточная территория ГА по обеспеченности влагой относится к гумидным влажным областям. Эта территория находится под влиянием западносибирского климата, но отличается меньшей континентальностью: зима теплее, лето более холодное, осадки в течение года распределяются относительно равномерно. Для этой территории характерен низкогорный рельеф, абсолютные отметки нарастают от 300 до 1000 м. Болота развиваются преимущественно в долинах рек и имеют современное происхождение. На этой территории сосредоточены болота с наибольшей площадью. С точки зрения болотообразования, интерес в этой территории ГА среди многообразия форм горного рельефа представляют расширенные участки долин, получившие название “частные впадины” [30]. Именно к этим формам рельефа приурочены обширные заболоченности Северо-Восточного Алтая. Максимальная величина линейной скорости торфонакопления болот на этой территории за период голоцена составляет 0.64 мм/год. В наиболее благоприятных условиях, например, в межгорных депрессиях, болотообразовательный процесс имеет значительные масштабы. Благодаря этому, размеры болот и мощность торфяного профиля становятся сравнимыми с таковыми на равнинных болотах Сибири.
На территории Северо-Восточного Алтая в Турочакском районе был организован болотный стационар (Горный Алтай) Томского государственного педагогического университета, на котором проводили исследования в течение четырех лет (2010–2013 г.) на двух болотах: эвтрофном – Турочакское и мезотрофном – Кутюшское. Территория по болотному районированию Лисс и др. [18] относится к барнаульскому округу лесостепных эвтрофных тростниково-осоково-вейниковых болот.
Эвтрофное болото Турочакское (52°13′35.21″ N, 87°06′45.70″ E) площадью 119 га расположено в межгорной депрессии и характеризуется древесно-осоковым фитоценозом. Древесный ярус представлен березой (Betula alba L.) высотой 8 м, диаметром 10 см, полнотой 0.3, черемухой обыкновенной (Padus avium Mill.), встречается сосна (Pinus silvestris L.). Подлесок средней густоты, образован ивой (Salix triandra L.). Наземный ярус: кочки осоки пузырчатой (Carex vesicaria L.) высотой до 50 см. В понижениях хвощ болотный (Equisetum palustre L.), папоротник (Pteridium aquilinum L.), подбел (Andromeda), вахта трехлистная (Menyanthes trifoliata L.), росянка круглолистная (Drosera rotundifolia L.), брусника (Vaccinium vitisidaea L.), ятрышник шлемоносный (Orchis militaris L.), любка двулистная (Platanthera bifolia L.), редко подмаренник северный (Calium boreale L.), мятлик болотный (Poapalustris L.), лабазник вязолистный (Filipendula ulmaria L.), горошек мышиный (Vicia cracca L.). Микрорельеф кочковатый – осоково-моховые кочки высотой 0.2 м. Глубина торфяного профиля в среднем составляет 2.5 м при экстремальных значениях 0.6 и 4.5 м. В основании залегает слой органо-минеральных отложений (до 2 м), подстилающие породы – суглинки и глины. Возраст болота – 7060 ± 90 14С лет BP (СОАН 8034).
Мезотрофное болото Кутюшское (52°18′23.1″ N, 87°15′50.52″ E) площадью 850 га относится к долинному типу, имеет смешанное атмосферно-грунтовое питание, характеризуется древесно-травяно-сфагновым фитоценозом. Растительность на месторождении в отдельных его частях различается. Есть практически безлесные пространства, ровные и покрытые сплошным моховым покровом с невысокой осокой. В отдельных местах болота произрастает береза высотой 2–4 м с редкой сосной или преобладает сосна с редкой березой. В травяном ярусе отмечены пушица (Eriophorum), луговик дернистый или щучка (Deschampsia cespitosa L.), шейхцерия (Scheuchzeria palustris), сабельник болотный (Comarum palustre L.), змеевик большой (Bistorta officinalis Delarbre), осоки (C. cаespitosa, C. vesicaria L., С. diandra Schrank L). Моховой ярус представлен сфагновыми мхами (Sph. majus, Sph. jensenii, Sph. obtusum, Sph. magellanicum). Мощность торфяного профиля на болоте от 0.3 до 2.1 м.
Исходные данные по метеоусловиям взяты из интернета и обработаны (http://meteocenter.net/). Наблюдения за уровнем болотных вод (УБВ) проводили каждый месяц [23]. За нулевую принимали условную отметку средней поверхности болотного ландшафта, за среднюю поверхность болота – поверхность, соответствующую отметке средней высоты элементов микрорельефа [21], положение уровня рассчитывали как разность отметок репера и зеркала болотных вод. Температурный режим в торфяном профиле изучали с помощью автономного болотного измерителя, разработанного в Институте мониторинга климатических и экологических систем СО РАН. Температуру в автоматическом режиме измеряли через каждые 15 мин по глубине торфяного профиля до 2 м [17]. Полученные результаты приводили к среднесуточным величинам. Радиоуглеродное датирование торфяного профиля болота Турочакское проведено на радиоуглеродной установке Quantulus-1220, Финляндия (бензольно-сцинтилляционный вариант) в лаборатории геологии и палеоклиматологии кайнозоя Института геологии и минералогии СО РАН.
Образцы торфов на анализ отбирали через каждые 25 см торфяным буром ТБГ-1 в соответствии с ботаническим составом до подстилающих пород. В торфах определяли ботанический состав, степень разложения, валовой азот и углерод, групповой состав ОВ торфов по [33].
Общую численность и биомассу микроорганизмов изучали прямым методом с использованием люминесцентной микроскопии [9, 14, 25].
Определение респирометрических микробиологических показателей (базальное дыхание (БД), микробная биомасса (БМ), микробный метаболический коэффициент (QR) проводили методом субстрат-индуцированного дыхания. Субстрат-индуцированное дыхание (СИД) оценивали по скорости выделения СО2 торфом c глюкозо-минеральной смесью за 3 ч инкубации при температуре 25°С [1, 40]. Базальное дыхание измеряли по скорости выделения СО2 торфом с водой за 24 ч инкубации при температуре 25°С. Скорость продуцирования СО2 определяли хроматографическим методом на газовом хроматографе Кристалл-5000.1 Россия, микробную биомассу торфа – на сухую навеску путем пересчета скорости СИД. Микробный метаболический коэффициент определяли как отношение БД/СИД [32].
Активность каталазы (общую, ферментативную и неферментативную) определяли газометрическим методом в модификации Круглова и Пароменской [16, 36]. В контрольных образцах (неферментативная активность) ферменты инактивировали стерилизацией сухим жаром при температуре 180°С в течение двух часов [35]. Полифенолоксидазную (ПФО) и пероксидазную (ПД) активность анализировали по Карягиной [47] и Михайловской [39].
Газовый режим (СО2 и СН4) в торфяном профиле определяли в трехкратной повторности “peepers” – методом [51], подробно описанным в [45]. Для измерения эмиссии СО2 и СН4 использовали метод статических замкнутых камер. В пунктах устанавливали по три камеры. Газовые замеры проводили в теплый период (май, июль, сентябрь), последовательно по пунктам наблюдений в одно и то же время. С целью определения оптимальных сроков для замера эмиссии газов были проведены исследования в течение дня в разные периоды лета. В результате последовательные замеры проводили всегда с 12-00 до 14-30. Подробности измерения и расчета газового режима приведены в [45, 49]. Все лабораторные исследования выполняли в аккредитованной лаборатории Томского государственного педагогического университета (РОСС RU.0001.516054). Обработку массивов данных проводили с использованием пакета программ Statistica 10. Рассчитывали корреляционную матрицу по 23 исследованным показателям по слоям торфяного профиля и выбирали значимые парные зависимости. Дальнейшую обработку значимых зависимостей проводили в MS Excel 2013.
Результаты и обсуждение
Преобразования органического вещества (ОВ) в торфяных почвах имеют свои особенности. Для трансформации остатков болотных растений характерно быстрое затухание во времени и отсутствие достаточного количества минеральной составляющей, которая активно участвует в образовании гумуса минеральных почв, связывая ОВ в органо-минеральные комплексы. В торфяных почвах этого не происходит, что приводит к существенным различиям химического состава ОВ минеральных почв и ОВ торфа и является причиной более низкой устойчивости ОВ торфяных почв при смене экологических условий. Вследствие прекращения трансформации ОВ растений на более ранней стадии состав ОВ торфяных почв в большей степени зависит от исходного химического состава растений, из которых образовалось ОВ. Именно поэтому в основе классификации торфов лежит ботанико-стратиграфический принцип с генетической основой. Химический состав торфообразователей, формирующих торфяной профиль, существенно различается, и в зависимости от сочетания растений – торфообразователей образуется соответствующий состав торфяных почв (табл. 1).
Таблица 1. Общетехнические и химические свойства торфов
Вид торфа, тип залежи, глубина, см | Ботанический состав, % | ЛГВ + ВРВ | R/А, % | Л | pH сол. | N общ, % | ГК/ФК |
Эвтрофное болото | |||||||
Осоковый, Н, 0–50 | Древесные (кустарнички, Б), 10, С. lasiocarpa, 20, C. rostrata, 20, C. omskiana, 30, Menuanthes trifoliate, 10, Equisetum palustre, 10, следы мин. загр. | 33.7 | 10/29 | 20.1 | 4.5 | – | 18.8/20.2 |
Осоковый, Н, 50–75 | Древесные, (Б, кустарнички), 5, С. lasiocarpa, 10, C. rostrata, 10, C. omskiana, 50, Menuanthes trifoliate, 20, Equisetum palustre, 5, Sph.subsecundum +, следы мин. загр. | 35.9 | 20/39 | 15.6 | 4.5 | – | 20.9/22.9 |
Древесно-осоковый, Н, 75–100 | Древесные, 25; C. lasiocarpa, 20; C. Rostrata, 5; C. omskiana, 50; следы мин. загр. | 32.2 | 20/35 | 17.1 | 4.6 | – | 22.2/21.9 |
Осоковый, Н, 100–150 | Древесные, 10; C. lasiocarpa, 25; C. rostrata, 10; C. omskiana, 45; Comarum palustre, 5; Equisetum palustre, 5, следы мин. загр. | 36.3 | 35/30 | 16.4 | 4.5 | – | 26.3/11.3 |
Травяной, Н, 150–200 | Древесные, 5; C. lasiocarpa, 20; C. rostrata, 25; C. cespitosa, 10; Equisetum palustre, 20; Menuanthes trifoliate, 20, следы мин. загр. | – | 40/38 | – | 4.5 | 2.98 | –/13.1 |
Древесно-травяной, Н, 200–250 | Древесные, 20; C. lasiocarpa, 25; C. rostrata, 5; C. cespitosa, 10; Equisetum palustre, 30; Menuanthes trifoliate, 10 | 24.0 | 45/21 | 15.0 | 4.5 | 2.58 | –/13.7 |
Травяной, Н, 250–300 | Древесные, 5; C. lasiocarpa, 35; C. rostrata, 5; C. cespitosa, 20; Equisetum palustre, 30; Menuanthes trifoliate, 25 | – | 55/34 | – | – | – | – |
Травяной, Н, 300–350 | Древесные, 5; C. lasiocarpa, 25; C. rostrata, 25; Equisetum palustre, 20; Menuanthes trifoliate, 25 | 26.4 | 60/26 | 15.2 | 4.7 | 2.92 | –/11.4 |
Травяной (вахтовый), Н, 350–400 | C. lasiocarpa, 10; C. rostrata, 5; C. cespitosa, 5; Menuanthes trifoliate 65; Equisetum palustrе, 15, следы мин. загр. | – | 60/22 | – | 4.7 | – | – |
Травяной (вахтовый), Н, 400–450 | Древесные, 5; C. lasiocarpa, 10; C. rostrata, 5; Menuanthes trifoliate, 65; Equisetum palustre, 15, следы мин. загр. | 30.4 | 55/20 | 10.0 | 4.7 | 1.98 | –/20.1 |
Мезотрофное болото | |||||||
Магелланикум-торф, В, 0–25 | Sphagnum magellanicum, 85; Sph. fuscum, 10; Sph. angustifolium, 5 | 63.0 | 5/3 | 8.1 | 3.1 | 2.04 | – |
Ангустифолиум-торф, В, 25–50 | Кустарнички, 5; Sph. magellanicum, 5; Sph. angustifolium, 75, E. polystachyon, 15 | 30.6 | 15/18 | 14.7 | – | – | – |
Магелланикум-торф, В, 50–100 | Sph. magellanicum, 90; Sph. angustifolium, 5; E. polystachyon, 5 | 31.1 | 5/3 | 11.3 | 3.4 | 5.28 | 14.1/25.0 |
Балтикум-торф, В, 100–150 | Sph. magellanicum, 5; Sph. angustifolium, 15; Sph. balticum, 50; Sph. majus, 15; Sph. flexuosum, 10; E. polystachyon, 5 | 41.8 | 10/4 | 10.0 | 4.1 | 5.72 | 20.4/20.0 |
Шейхцериевый, П, 150–175 | Кустарнички, 5; C. lasiocarpa, 5; C. rostrata, 5; Scheuchzéria, 70; Sph. magellanicum, 5; Sph. balticum, 5; E. polystachyon, 5 | 40.1 | 35/6 | 19.6 | 4.1 | – | 40.3/16.0 |
Шейхцериево-осоковый, П, 175–200 | C. lasiocarpa, 15; C. rostrata, 40; Scheuchzéria, 25; Menyanthes trifoliata L., 5; E. polystachyon, 5; Sph. (magellanicum central), 10 | 23.5 | 40/8 | 17.9 | – | – | – |
Примечание. Тип залежи: В – верховой, П – переходный, Н – низинный; Б – береза, следы мин. загр. – следы минерального загрязнения, R – степень разложения; А – зольность; ГК/ФК: ГК в числителе – гуминовые кислоты, ФК в знаменателе – фульвокислоты, % на ОВ, Л – лигнин, ЛГВ+ВРВ – легкогидролизуемые и водорастворимые вещества – % на ОВ; прочерк – не определяли.
Торфяной профиль эвтрофного болота в слое 0–75 см классифицируется как осоковый. Однако видовой состав осок разный. Так, осока волосистоплодная (Сarex lasiocarpa), о. вздутая (C. rostrata), о. омская (C. Оmskiana) содержат, соответственно, бензольного битума 2.15, 2.5 и 3.0% на ОВ, легкогидролизуемых веществ – 30.2, 32.3 и 44.0% на ОВ, целлюлозы – 28.2, 27.2 и 28.6% на ОВ [27]. В зависимости от степени участия разных видов осок в ботаническом составе химический состав торфов будет разным. Например, в слое 0–50 см содержится три вида осок в равных количества (из общих 70%). Но уже в слое 50–75 см 50% принадлежит только осоке омской, и этот слой имеет свой индивидуальный химический состав.
На глубине 75–100 см в ботаническом составе торфяного профиля обнаружены древесные остатки, их содержание вниз по профилю увеличивается до 25%. В слое 100–150 см в ботаническом составе торфов появляется хвощ, а с глубины 150–200 см – вахта. Их содержание увеличивается вниз по профилю одновременно с увеличением степени разложения до 60%. Зольность по профилю колеблется (29–39%) и связано это со следами минерального загрязнения, которое отмечается до 2 м и далее с глубины 3.5 м до подстилающих пород. Низкие значения рН 4.5 наблюдаются по всему профилю. Содержание ГК по профилю колеблется в пределах 18.8–26.3% на ОВ. Фульвокислоты преобладают в поверхностном метровом слое (20.2–22.9% на ОВ). Высокое содержание легкогидролизуемых и водорастворимых веществ (24.0–36.3% на ОВ) наблюдается в верхней части профиля с высоким содержанием осок в ботаническом составе.
Мезотрофный профиль до 150 см представлен олиготрофными торфами, которым принадлежит 75–90% в ботаническом составе со степенью разложения 5–15% и зольностью 2.8–7.9%. Обратимся к химическому составу двух видов мха Sph. magellanicum, Sph. Fuscum. Бензольного битума в Sph. мagellanicum содержится 2.51% на ОВ, в Sph. Fuscum – 1.79%, водорастворимых веществ – соответственно 8.2 и 5.8% на ОВ, легкогидролизуемых веществ – 55.5 и 48.9% на ОВ, целлюлозы – 20.0 и 17.1% на ОВ [27]. Их сочетание в торфах влияет на формирование химических свойств торфов. В торфяном профиле с глубины 150 и до 175 см преобладает переходный шейхцериевый торф, которому принадлежит 70% в ботаническом составе. При этом резко повышается степень разложения торфа в этом слое – до 35%. Шейхцерия отличается повышенным содержанием гемицеллюлозы, которая обеспечивает наиболее существенные различия вещественного состава торфообразователей, влияющих на процессы их деструкции и образования ОВ торфа. В слое 175–200 см торфяного профиля шейхцерия занимает уже 25%, осоки – 55%, сфагновые мхи – 15% и появляется вахта – 5%. Реакция среды в торфяном профиле кислая, высокое содержание легкогидролизуемой и водорастворимой фракции ОВ до глубины 175 см – 31.1–63.0% на ОВ, а также лигнина. Особо выделяется слой переходного шейхцериевого торфа с высоким содержанием ГК. Таким образом, химический состав растений-торфообразователей служит исходным материалом при формировании ОВ торфов.
Гидролого-климатические условия периода исследования. При характеристике погодных условий использовали комплексный показатель – гидротермический коэффициент (ГТК). За период исследований контрастных лет по климатическим условиям не наблюдалось. Практически все их можно отнести к среднемноголетним. Но, учитывая тепловлагообеспеченность по месяцам, в период наблюдений вошли: относительно сухой год – 2013, среднемноголетние – 2011 и 2012 гг. и относительно влажный – 2010 г. (табл. 2).
Таблица 2. Гидротермический коэффициент за период 2010–2013 гг., метеостанция Турочак
Годы | Месяц | Среднее за V–IX | ||||
V | VI | VII | VIII | IX | ||
2010 | 1.1 | 1.8 | 1.6 | 3.5 | 2.8 | 2.1 |
2011 | 2.0 | 1.0 | 0.9 | 1.5 | 1.7 | 1.4 |
2012 | 0.9 | 1.8 | 1.5 | 1.5 | 2.2 | 1.6 |
2013 | 1.1 | 0.8 | 1.3 | 1.7 | 0.5 | 1.1 |
Среднемноголетний ГТК | 0.8 | 1.7 | 1.8 | 1.6 | 1.5 | 1.5 |
Примечание. ГТК (гидротермический коэффициент) представляет отношение суммы осадков за период с температурой выше 10°С от испаряемости, выраженной суммой температур за этот же период и уменьшенной в 10 раз.
В этих погодных условиях формирование УБВ в эвтрофном и мезотрофном болотах различалось в динамике с интервалом до 20 см, при этом УБВ на мезотрофном болоте всегда были ближе к поверхности (табл. 3). Динамика УБВ в болотах разного генезиса не всегда характеризуется синхронностью, что определяется особенностью эвтрофного болота, залегающего в межгорной депрессии. Болотообразовательный процесс имеет здесь значительные масштабы благодаря поступлению еще и стоковых вод с окружающих возвышенностей, что не характерно для мезотрофного болота.
Таблица 3. Уровни болотных вод, средние за месяц, см
Болото | Месяц | ||||
V | VI | VII | VIII | IX | |
2010 г. | |||||
Эвтрофное | 10 | 17 | 18 | 19 | 36 |
Мезотрофное | 21 | 27 | 29 | 36 | 25 |
2011 г. | |||||
Эвтрофное | 25 | 36 | 48 | 44 | 42 |
Мезотрофное | 26 | 13 | 24 | 31 | 38 |
2012 г. | |||||
Эвтрофное | 22 | 22 | 34 | 43 | 26 |
Мезотрофное | 33 | 45 | 41 | 60 | 47 |
2013 г. | |||||
Эвтрофное | 27 | 36 | 40 | 32 | 36 |
Мезотрофное | 19 | 26 | 27 | 18 | 33 |
Режим влажности в торфяном профиле обоих болот в течение этих лет изменяется лишь в слое 0–30 см, ниже по профилю влажность равна полной влагоемкости.
Температурный режим в исследуемых болотах рассмотрим на примере среднемноголетнего по метеоусловиям 2012 г. (рис. 1). Торфяной профиль мезотрофного болота прогревается постепенно и проникновение средних суточных температур воздуха прослеживается только в поверхностный 10-сантиметровый слой. В торфяной залежи эвтрофного болота на средние суточные температуры воздуха реагируют слои 20 и 30 см. Динамика изменения температуры в торфяных профилях эвтрофного и мезотрофного типа одинакова, но отмечается запаздывание в прогревании мезотрофного торфяного профиля, и его температура ниже на 4–5°С по сравнению с эвтрофным профилем. Динамика температуры приобретает равномерный вид начиная с 40 см в обоих болотах. Следует отметить, что тепловой поток в торфяном профиле определяется объемной плотностью, степенью разложения, дисперсностью торфа и, следовательно, ботаническим составом растений [29, 38]. В результате торфа мезотрофного болота имеют объемную плотность в пределах 0.04–0.1 г/см3, торфа эвтрофного болота – 0.3–0.4 г/см3. Отмечающиеся различия в динамике температуры в торфяном профиле болот, безусловно, оказывают влияние на их биологический режим.
Рис. 1. Температурный режим болот Горного Алтая в 2012 г.: (a) – эвтрофное, (b) – мезотрофное; 1 – 10 см, 2 – 30 см, 3 – 60 см.
Биологический режим. Важная роль микробного сообщества сводится к избирательному безостаточному окислению, разложению и минерализации отдельных компонентов торфов, снижению молекулярного веса частично разрушаемых компонентов, изменению аминокислотного состава белков и дегидратации циклических соединений. Все эти процессы приводят к накоплению полимеров ароматического строения. Как считают авторы [27], потребление микробным сообществом ОВ торфа происходит избирательно: разложению подвергаются ОВ, наиболее доступные для микробиома. Следовательно, составляющей направленности процесса торфогенеза является соотношение растений и их процентное содержание в ботаническом составе каждого слоя торфяного профиля. Также качественный состав ОВ торфов определяется приуроченностью к определенной природноклиматической зоне [53]. При изучении динамики численности различных групп микробиома важным является оценка соотношения живых и мертвых клеток. В последнее время большое внимание в микробиологических работах, оценивающих распределение и запасы микробной биомассы в болотах, уделяется методу люминесцентной микроскопии. Этот метод позволяет выявить как активный компонент микромицетного комплекса – мицелий, так и неактивный компонент – споры.
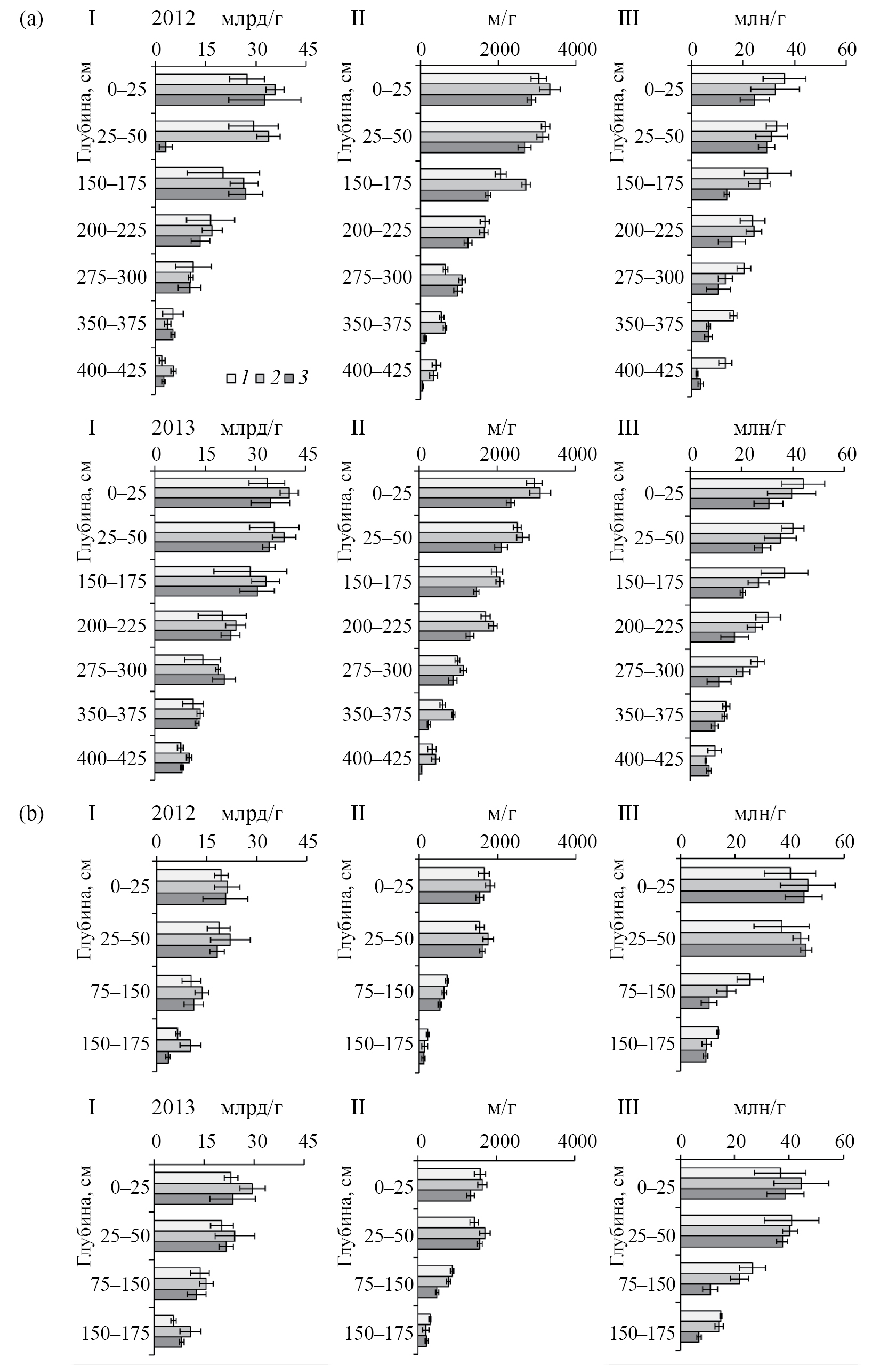
Ранее, в процессе многолетних исследований биологического режима в болотах разного генезиса на территории Западной Сибири с использованием люминесцентно-микроскопического метода, была показана активность биологических процессов по всему торфяному профилю до подстилающих пород. Бактерии, мицелий (актиномицетный, грибной) и споры грибов преобладают в верхнем корнеобитаемом слое, но и в нижележащих слоях они присутствуют [5, 45]. Подобная закономерность была выявлена и при изучении динамики микробных сообществ в исследуемых болотах ГА (рис. 2).
Рис. 2. Динамика компонентов микробной биомассы в торфяном профиле болот Горного Алтая за 2012–2013 гг.: (a) – эвтрофное; (b) – мезотрофное; I – бактерии; II – актиномицетный мицелий; III – споры грибов; 1 – май, 2 – июль, 3 – сентябрь.
Бактерии выявлены по всему торфяному профилю болот. Их численность в эвтрофном болоте за два года варьирует от 2 до 40 млрд кл./г сухого торфа, в мезотрофном – от 4 до 30 млрд кл./г. Максимальная численность бактерий в болотах приурочена к верхнему 0–50 см слою торфяного профиля. Вниз по профилю наблюдается постепенное уменьшение плотности бактериальных популяций до минимальных значений к подстилающей породе: в эвтрофном болоте до 2–10 млрд кл./г (соответственно в 2012 и 2013 гг.) и в мезотрофном – 4–10 млрд кл./г. Более благоприятные погодные условия 2013 г. повлияли на плотность бактериальных популяций бактерий. В особенности это проявлялось в нижней части торфяного профиля, в которой их численность в эвтрофном болоте, например, на глубине 150–175 см увеличивалась на 14%, а в мезотрофном – в 2.5 раза по сравнению с поверхностными слоями. За теплый период высокая численность бактерий в торфяном профиле отмечена в июле и это хорошо прослеживается в динамике мезотрофного болота за 2012 г.
Актиномицетный мицелий определяется по всему профилю. Длина актиномицетного мицелия в эвтрофном профиле снижается от 3.3 км/г в верхних слоях до 80 м/г – в нижних, в мезотрофном профиле соответственно – от 1.8 км/г до 110 м/г. Наибольшая длина актиномицетного мицелия приурочена к поверхностному слою 0–50 см как в эвтрофном, так и в мезотрофном торфяном профиле. С этой глубины отмечается резкое уменьшение длины актиномицетного мицелия в мезотрофном профиле в 1.8–2.2 раза в разные годы. В профиле эвтрофного болота уменьшение длины актиномицетного мицелия происходит постепенно, и к почвообразующей породе его длина равна 500 м/г. Более теплые по погодным условиям месяцы оказали достоверное влияние на увеличение длины мицелия в мезотрофном профиле на глубине 100–175 см (выявлена значимая положительная корреляция (r = 0.94, p < 0.05)). Отмечается, что погодные условия повлияли на динамику мицеальных микроорганизмов. Так, теплый июль за все года исследований благоприятствует увеличению длины мицелия в слое 0–50 см торфяного профиля эвтрофного и мезотрофного типа.
Грибные споры выявлены также по всему профилю исследуемых болот. Их численность варьирует от 3 до 44 млн/г в эвтрофном профиле и от 10 до 43 млн/г в мезотрофном. Высокая численность грибных спор преобладает в эвтрофном профиле до глубины 175 см, в мезотрофном – в слое 0–50 см. Численность спор грибов достоверно реагирует на погодные условия отдельных месяцев теплого периода. В особенности это касается эвтрофного профиля в верхней части профиля (r = 0.84, p < 0.05).
Сравнение с аналогичными болотами Западно-Сибирской равнины [5, 8] показывает, что в эвтрофных и мезотрофных болотах ГА меньше плотность бактериальных популяций бактерий и спор грибов в их максимальных значениях. Например, в эвтрофном болоте (южно-таежная зона Западно-Сибирской равнины) [8] численность бактерий изменяется в пределах 12–67 млрд кл./г, а спор грибов – от 12 до 70 млн спор/г, длина актиномицетного мицелия варьирует от 1–2 км/г в верхней части профиля до 100–400 м в ее нижней части. В исследуемом эвтрофном болоте ГА наблюдается идентичная закономерность по активности микромицетного мицелия. Выявлено, что длина актиномицетного мицелия в болотах ГА распределяется по всему профилю эвтрофного (глубина 4.5 м) и мезотрофного профиля (глубина 2 м), что не всегда характерно, например, для болот Сибири и других регионов [4].
Известно, что метод люминесцентной микроскопии позволяет дифференцировать эукариотные и прокариотные клетки, но не предоставляет возможность судить об их активности и экофизиологическом статусе [31]. Все эти ограничения могут быть преодолены использованием метода СИД. Этот метод широко применяется в ряде зарубежных стран [43, 44, 50]. Рассмотрим результаты, полученные вышеуказанным методом, на примере динамики микробиологической активности в слое 0–175 см эвтрофного (дополнительно анализировали слой 400–425 см) и мезотрофного профиля за теплый период 2013 г. (табл. 4).
Таблица 4. Микробиологическая активность за теплый период, 2013 г.
Глубина, см | БМ, мг/г с. т. | БД, мкг С–СО2/(г ч) | QR (БД/СИД) |
Май | |||
0–25 | 4.29/6.06 | 4.00/1.38 | 0.35/0.20 |
25–50 | 3.89/1.54 | 2.33/1.13 | 0.20/0.75 |
150–175 | 1.58/1.39 | 2.11/1.79 | 0.47/0.71 |
400–425 | 1.76/– | 1.20/– | 0.24/– |
Июль | |||
0–25 | 1.40/3.33 | 2.73/1.12 | 0.85/0.30 |
25–50 | 2.28/1.96 | 2.60/0.62 | 0.45/0.34 |
150–175 | 1.03/2.70 | 2.66/1.79 | 0.60/0.36 |
400–425 | 1.52/– | 1.27/– | 0.30/– |
Сентябрь | |||
0–25 | 5.42/2.75 | 5.44/1.25 | 0.35/0.34 |
25–50 | 1.93/6.56 | 2.78/0.89 | 0.54/0.15 |
150–175 | 1.10/1.77 | 2.94/1.63 | 0.72/0.45 |
400–425 | 0.96/– | 1.56/– | 0.63/– |
Примечание. БД – базальное дыхание; БМ – микробная биомасса, QR – микробный метаболический коэффициент, с. т. – сухой торф, числитель – эвтрофное болото, знаменатель – мезотрофное, прочерк – не определяли.
Пределы изменения микробной биомассы в эвтрофном болоте составляют 1.03–5.42 мг/г за теплый период. Самые высокие значения микробной биомассы отмечаются в поверхностном слое эвтрофного болота – 5.42 мг/г, на глубине 400–425 см ее величина существенно снижается – до 0.96 мг/г. В мезотрофном болоте содержание микробной биомассы в торфяном профиле изменяется от 1.39 до 6.56 мг/г с повышенными величинами в поверхностных слоях. С глубиной содержание биомассы в летний период в обоих болотах уменьшается примерно в 1.3–5.6 раза. Эта закономерность нарушается в мезотрофном профиле в сентябре, когда в слое 25–50 см происходит увеличение биомассы в 2.4 раза по сравнению с поверхностным слоем, что также объясняется погодными условиями сентября 2013 г. Сравним полученные результаты с результатами, приведенными в работе [7]. Как отмечают авторы, наиболее высокие значения микробной массы характерны для слоя 0–40 см, ниже содержание биомассы уменьшалось на глубине 300 см, но показатели по значениям были меньше, чем наблюдается в эвтрофном болоте ГА (1.40–5.42 мг/г). Надо полагать, это объясняется иными условиями торфообразования эвтрофного болота в условиях ГА.
Скорость БД в эвтрофном профиле в слое 0–175 см изменяется в пределах 2.11–5.44 мкг С–СО2/(г ч), высокие значения отмечаются в поверхностном слое в мае (4.0 мкг С–СО2/(г ч) и сентябре (5.44 мкг С–СО2/(г ч). По сравнению с маем скорость БД в поверхностном слое в июле меньше в 1.5 раза, но имеет бо́льшие значения в нижней части профиля. В этом месяце торфяной профиль уже прогревается до глубины 30–40 см, что и определило увеличение скорости БД. В мезотрофном профиле в слое 0–175 см скорость БД изменяется в пределах 0.62–1.79 мкг С–СО2/(г ч), т.е. значительно меньше, чем в эвтрофном торфяном профиле. И другая особенность – самые высокие ее значения определены в слое 150–175 см (в мае – 1.79, июле – 1.79 и в сентябре – 1.63 мкг С–СО2/(г ч)). В этом случае имеется только одно объяснение – появление на этой глубине мезотрофного профиля в ботаническом составе шейхцерии (до 70% его состава), которая характеризуется уникальным составом ОВ.
Микробный метаболический коэффициент (QR), являющийся критерием устойчивости микробных сообществ и индикатором эффективности использования субстрата [41], с глубиной изменяется, но в целом для вегетационного периода 2013 г. не превышает величины 0.85, что характеризует стабильное функционирование микробных сообществ в исследуемых болотах. Согласно работе [42], отсутствие значительных различий величин QR может свидетельствовать об устойчивом протекании микробных процессов, связанных с трансформацией углерода.
Таким образом, можно констатировать, что распределение микробиома в исследуемых болотах отмечается по всему профилю, но проявляется с разной активностью. И несмотря на условия полного затопления торфяного профиля с поверхности, наблюдаемые весной и в периоды выпадения больших осадков, биохимические процессы продолжают протекать. Это отмечено и в эвтрофном (мощность профиля – 4.5 м) и в мезотрофном профиле (при мощности 2 м).
В изучении биологических режимов природных экосистем большую роль играет определение биокаталитических параметров, так как это дает возможность определить направление процессов, происходящих в болотах разного генезиса. Исследования в данном аспекте показывают, что микробиологическая и ферментативная активности могут служить, наряду с другими критериями, надежным диагностическим показателями направленности процессов трансформации ОВ торфов в болотах.
Полученные выше результаты по микробиологической активности торфяных профилей эвтрофного и мезотрофного типов подтверждаются данными по ферментативной активности. Но прежде обратим внимание, что вторая стадия образования гумусовых кислот – их конденсация и полимеризация – включает ферментативное окисление фенольных производных до хинонов и последующую конденсацию фенольных соединений и хинонов с аминокислотами и пептидами. Реакции окисления фенольных соединений с участием кислорода воздуха катализирует фермент полифенолоксидаза, а за счет кислорода, выделяющегося при разложении перекиси водорода, – пероксидаза. К оксидоредуктазам относится и фермент каталаза.
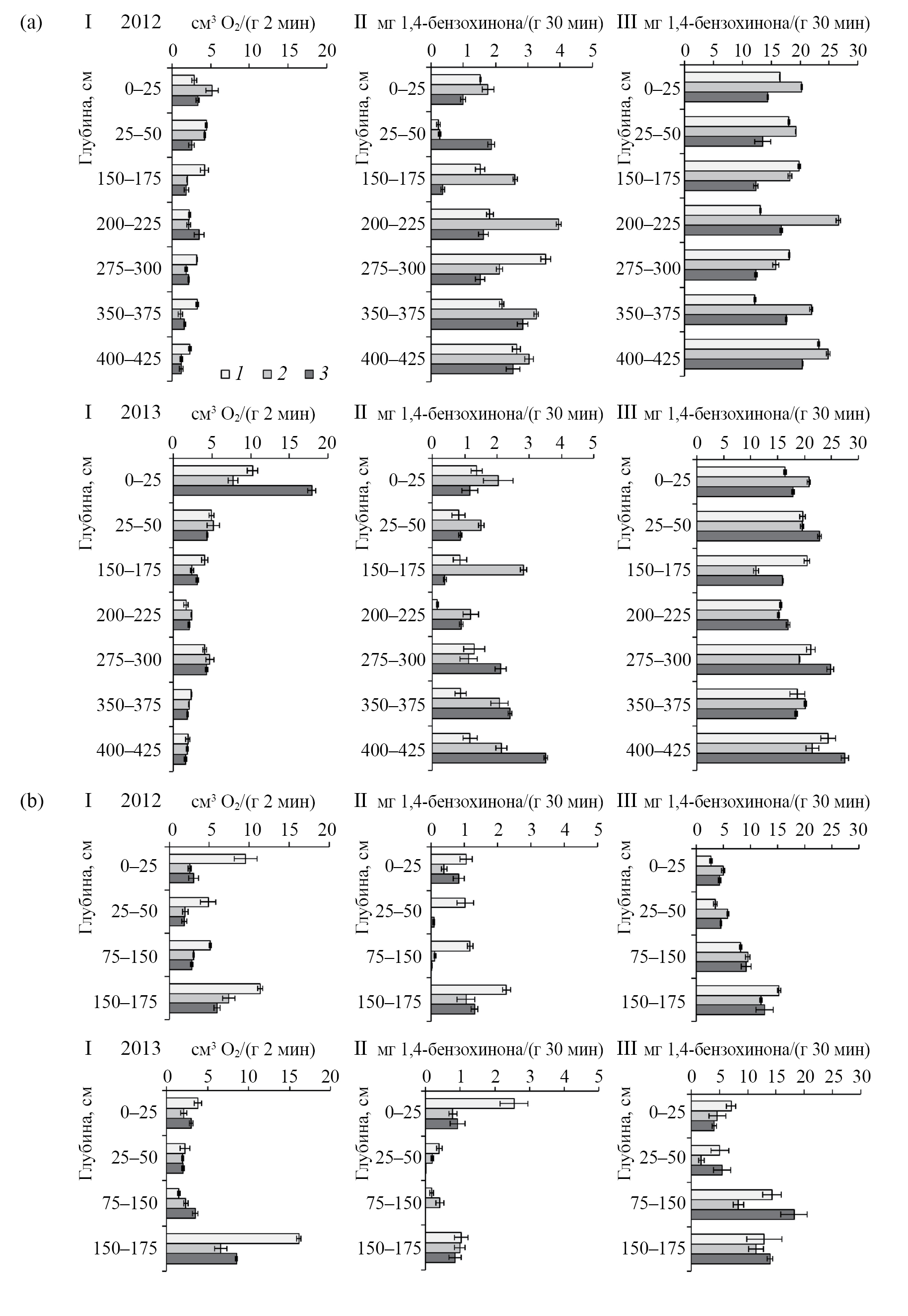
Каталазную активность можно рассматривать как показатель функциональной активности микробиоты в различных экологических нишах [15, 24, 37]. Приведем результаты по динамике общей каталазы, полифенолоксидазы (ПФО) и пероксидазы (ПД) в торфяном профиле исследуемых болот за среднемноголетний 2012 г. и относительно засушливый 2013 г. (рис. 3).
Рис. 3. Динамика активности ферментов в торфяном профиле болот Горного Алтая за 2012–2013 гг.: (a) – эвтрофное; (b) – мезотрофное; I – общая каталаза; II – полифенолоксидаза; III – пероксидаза; 1 – май, 2 – июль, 3 – сентябрь.
Каталаза катализирует реакцию разложения перекиси водорода при взаимодействии ее с субстратом, состав которого для нее важен. Известно, что в пределах даже видов торфов активность каталазы существенно различается. В эвтрофном профиле общая каталазная активность изменяется в теплые периоды в пределах от 1.1 до 17.9 см3 O2/(г 2 мин). Максимальная активность каталазы приурочена к верхнему слою 0–50 см торфяного профиля, в котором отмечается наибольшая численность различных групп микробиома и высокое содержание легкоразлагаемых органических соединений. С глубиной, по мере уменьшения численности микробиоты, все более проявляются в ботаническом составе травянистые растения-торфообразователи (хвоща и вахты) и, соответственно, уменьшается содержание легкогидролизуемых и водорастворимых веществ, наблюдается тенденция к снижению почти в 2 раза активности фермента. Более высокая (в 1.6 раз) общая каталазная активность в эвтрофном профиле отмечается в более благоприятных погодных условиях 2013 года.
В мезотрофном профиле пределы варьирования по общей каталазной активности изменяются за два года от 1.5 до 16.2 см3 O2/(г 2 мин). В профиле до глубины 150 см каталазная активность не превышает 5 см3 О2/(г 2 мин), что объясняется присутствием в ботаническом составе слаборазложившихся (R = 5–15%) олиготрофных сфагновых торфов с низкой зольностью. Исключение отмечается в мае среднемноголетнего года в слое 0–25 см (9.5 см3 O2/(г 2 мин)). Возможно, это связано с накоплением легкогидролизуемых соединений в верхнем слое мезотрофного профиля за предыдущий вегетационный период и высокой сохранностью фермента в торфе, что и обусловило весенний максимум общей каталазной активности. Полученные результаты в целом согласуются с литературными данными, согласно которым олиготрофные торфа отличаются невысокой активностью каталазы [12]. Далее вниз по профилю в слое 150–175 см, который сформирован хорошо разложившимся шейхцериевым переходным торфом, активность общей каталазы в течение всего летнего периода в среднем увеличивается в 2 раза. При этом в сезонной динамике прослеживаются весенний и осенний максимумы активности каталазы и минимальные значения активности в июле.
В процессе торфогенеза значительная роль принадлежит ферментам полифенолоксидазе (ПФО) и пероксидазе (ПД) [6, 11, 37, 48]. Активность ПФО в среднем значении в 2.4 раза выше в эвтрофном профиле (пределы 0.2–4.1 мг 1,4-бензохинона/ (г 30 мин)) по сравнению с мезотрофным (от нуля до 2.6 мг 1,4-бензохинона/(г 30 мин)). Это свидетельствует о том, что в эвтрофном профиле активнее протекают процессы гумификации огранического вещества по сравнению с мезотрофным профилем, верхняя часть которого сформирована олиготрофными сфагновыми торфами, слабоподвергающимися деструкции и дальнейшей гумификации. Сезонная динамика активности ПФО в разные годы различается: более благоприятные погодные условия для процессов гумификации в эвтрофном профиле в среднемноголетний год отмечаются в июле, а в относительно засушливый год – только в сентябре, когда выпадает достаточное количество осадков.
Наименьшие показатели активности ПФО (или ее полное отсутствие) отмечаются в мезотрофном профиле в слое 25–100 см (0–1.17 мг 1,4-бензохинона/(г 30 мин)). В более глубоких слоях профиля, как и в случае с общей каталазой, при смене олиготрофных торфов на переходный шейхцериевый и увеличении содержания ГК от 14 до 40% от ОВ активность ПФО увеличивается в 3–5 раз.
Активность пероксидазы в эвтрофном профиле в средних значениях в 2.2 раза выше (10.9–27.5 мг 1,4-бензохинона/(г 30 мин)), по сравнению с мезотрофным профилем (1.8–18.2 мг 1,4-бензохинона/(г 30 мин)), что определяется разным ботаническим составом и, соотвественно, разным составом ОВ. Динамика ПД в эвтрофном профиле в 2012 и 2013 гг. характеризуется равномерностью распределения по профилю, но в отдельные месяцы отмечается ее повышенная активность. Так, в среднемноголетний год в июле наблюдается высокой активностью ПД (15.8–26.6 мг 1,4-бензохинона/ (г 30 мин)), а также в сентябрь 2013 г. (15.9–27.5 мг 1,4-бензохинона/(г 30 мин)). В профиле мезотрофного болота происходит увеличение активности ПД в среднем в 3 раза ближе к подстилающей породе, но меньше активности, что отмечается в эвтрофном болоте. Предположительно, это можно объяснить быстрым разложением растительных тканей растений-торфообразователей, содержащих значительное количество легкогидролизуемых веществ, на поверхности мезотрофного болота в аэробных условиях их первоначального превращения в торф. Когда же этот слой в процессе торфообразования оказывается под действием времени на глубине, биохимические процессы продолжают свою работу преобразования ОВ, но направление смещается в сторону гумификации, так как легкодоступного ОВ уже нет. Этому благопрятствуют и биохимические процессы, протекающие в системах [19].
Динамика концентрации парниковых газов. Концентрация парниковых газов (определения проведены за три года) изменяется в мезотрофном профиле по СО2 в пределах 0.05–1.10 ммоль/дм3, по СН4 – 0.00–0.62 ммоль/дм3 (рис. 4). Для эвтрофного профиля эти значения более высокие: по СО2 – 0.07–1.40 и по СН4 – 0.00–0.65 ммоль/дм3. Если сравнить эти показатели с западносибирскими аналогами болот [12], то можно отметить их близкие значения по концентрации СО2, но более высокие концентрации СН4 в болотах ГА.
Рис. 4. Профильная динамика газового состава за 2010, 2012, 2013 гг.: V – май, VII – июль, IX – сентябрь, в 2012 г. в сентябре не определяли.
В эвтрофном болоте в среднемноголетний год (2011 г.) концентрация СО2 характеризуется как высокая во влажном мае (ГТК 2), в остальные месяцы – примерно похожая, независимо от погодных условий месяцев. Высокая концентрация СО2 прослеживалась и в более сухой год (2013 г.). Вместе с тем ученые констатируют увеличение концентрации СО2 именно в сухие периоды [20], но это отмечается чаще для минеральных почв. При расчете парных коэффициентов корреляций между концентрацией СО2 и параметрами других режимов в торфяном профиле эвтрофного болота отмечено наличие связей с численностью бактерий по всему профилю (с поверхности (r = –0.72, p < 0.05), с глубины 175 см – (r = –0.95, p < 0.05)) с активностью неферментативной каталазы, начиная с глубины 200 см – (r = –0.71…–0.91), p < 0.05), с активностью пероксидазы и полифенолоксидазы в разных слоях профиля – (r = –0.84–0.72, p < 0.05). Можно предположить, что существует четкая связь концентрации СО2 в исследуемых торфяных профилях с протекающими в них биологическими процессами.
Отсутствие четкой связи с погодными условиями прослеживается и в динамике концентрации СН4 в эвтрофном торфяном профиле. Так, вопреки мнению о снижении активности процесса образования СН4 в сухие годы, высокие значения концентрации СН4 в эвтрофном болоте проявляются в мае во все годы, в том числе в относительно сухой 2013 г. В остальные месяцы концентрация СН4 была практически одинаковой. Расчет коэффициентов корреляции показывает что существует достоверная положительная связь концентрации СН4 в эвтрофном профиле со спорами грибов (r = 0.74, p < 0.05) и отрицательная – с численностью бактерий (r = –0.70, p < 0.05) и активностью каталазы (–0.84, p < 0.05).
Концентрация СО2 в мезотрофном торфяном профиле изменяется в интервале от нуля до 1.2 ммоль/дм3. С поверхности отмечаются наиболее низкие концентрации СО2, вниз по профилю наблюдается ее увеличение. В наибольшей степени это отмечается в мае всех рассматриваемых лет. В июне–сентябре профильная динамика имеет монотонный вид. Положительная корреляционная связь в мезотрофном профиле проявляется между концентрацией СО2 и активностью актиномицетного мицелия в верхней части профиля (r = 0.82, p < 0.05) и отрицательная – с УБВ (r = –0.70, p < 0.05), что показывает высокую связь между этими параметрами.
В мезотрофном болоте во влажном мае всего периода исследования концентрация СН4 была невысокой. Только в сентябре 2011 г. и июле 2012 г. (среднемноголетние годы по ГТК) концентрация СН4 в мезотрофном болоте увеличивается, но не превышает значений СН4 в эвтрофном болоте. Возможно, невысокие значения концентрации в профиле болот ГА объясняются тем, что в период исследований не вошли экстремально влажные и экстремально сухие годы и месяцы. Контрастные погодные условия, надо полагать, выявили бы бо́льшую зависимость динамики газов в торфяном профиле от погодных условий. Что касается распределения СН4 по глубине торфяного профиля, то к подстилающим породам содержание его всегда увеличивается. В мезотрофном профиле положительная корреляционная связь проявляется между концентрацией СН4 и численностью бактерий (r = 0.80, p < 0.05) и отрицательная – с активностью общей каталазы и неферментативной каталазы с коэффициентом корреляции в профиле 0–60 см (r = –0.86, p < 0.05).
Эмиссия парниковых газов. Представляет интерес рассмотрение динамики эмиссии газов за 4 года. В эвтрофном и мезотрофном болотах ГА экстремальные значения эмиссии СО2 варьируют в пределах 17.2–109.9 мг/(м2 ч), эмиссии СН4 – от 0.50 до 15.1 мг/(м2 ч) (табл. 5).
Таблица 5. Эмиссия диоксида углерода, метана в эвтрофном и мезотрофном торфяном профиле за летние периоды
Год | Эвтрофное болото | Мезотрофное болото | ||||||||||
CO2, мг СО2/(м2 ч) | СH4, мг CH4/(м2 ч) | CO2, мг СО2/(м2 ч) | CH4, мг CH4/(м2 ч) | |||||||||
V | VII | IX | V | VII | IX | V | VII | IX | V | VII | IX | |
2010 | 73.7 | 77.1 | 64.0 | – | 6.6 | 5.7 | 37.6 | 62.5 | 109.9 | 0.7 | 6.4 | 15.1 |
2011 | 42.7 | 26.1 | 56.1 | – | 8.0 | 8.6 | 89.6 | 53.0 | 49.1 | 12.3 | 10.4 | 12.5 |
2012 | 17.2 | 49.7 | 27.0 | 1.3 | – | 5.4* | 93.3 | 74.8 | 34.9 | 8.9 | 0.6 | 0.5 |
2013 | 31.0 | 27.2 | 27.0 | 4.1 | 11.3 | 2.2 | 45.7 | 45.4 | 34.9 | 1.8 | – | 1.0 |
* Значение рассчитано методом регрессионного анализа.
Примечание. Прочерк – измерение не проводили.
В эвтрофном болоте наибольшие значения эмиссии СО2 наблюдаются в относительно влажном 2010 г. (ГТК 2) в пределах 64.0–77.1 мг СО2/ (м2 ч) при среднем значении за летний период – 71.6 мг СО2/(м2 ч), что в 1.7–3.7 раза превышает средние значения за другие годы. В сухой 2013 г. значения эмиссии СО2 снижаются до 27.0–31.0 мг СО2/(м2 ч).
Экстремальные значения эмиссии СН4 на эвтрофном болоте характеризуются пределами варьирования от 1.3 до 11.3 мг СН4/(м2 ч) с наибольшей средней эмиссией в сухой 2013 г. – 5.9 мг СН4/ (м2 ч). Во влажный год этот показатель увеличивается до 6.2 мг СН4/(м2 ч).
На мезотрофном болоте эмиссия СО2 была выше (в 1.5–2 раза) по сравнению с эмиссией на эвтрофном болоте, и пределы ее колебаний были в интервале 34.9–109.9 мг СО2/(м2 ч). Во влажный год значения эмиссии остаются высокими за исключением мая, и среднее за сезон составляет 70.0 мг СО2/(м2 ч), практически как и в эвтрофной торфяной залежи. Экстремальные пределы эмиссии СН4 на мезотрофном болоте равны пределам 0.7–15.1 мг СН4/(м2 ч). Если сравнить эти данные с результатами, полученными на эвтрофных и олиготрофных торфяных залежах южно-таежной зоны [10], то величины эмиссии парниковых газов в болотах ГА значительно меньше.
При расчете парных коэффициентов корреляций между значениями эмиссии СО2 и параметрами других режимов в торфяном профиле эвтрофного болота установлено, что существует четкая отрицательная связь эмиссии СО2 с активностью общей каталазы (r = –0.83, p < 0.05) и ферментативной каталазой (r = –0.78, p < 0.05), а также с активностью пероксидазы (r = –0.83, p < 0.05). Эмиссия СН4 в торфяном профиле эвтрофного болота положительно коррелирует с численностью бактерий (r = 0.75, p < 0.05) и активностью полифенолоксидазы (r = 0.85, p < 0.05).
В торфяном профиле мезотрофного болота значения коэффициентов корреляций между значениями эмиссии парниковых газов и другими параметрами биохимического режима имеют более высокие показатели и охватывают весь профиль, в отличие от эвтрофного болота. Особо выделяется слой 75–100 см. Расчет коэффициентов корреляции показал, что существует достоверная связь эмиссии СО2 с общей (r = 0.93, p < 0.05) и ферментативной активностью каталазы (r = 0.87, p < 0.05) до глубины 100 см. Эмиссия метана положительно коррелирует с ферментативной активностью каталазы (r = 0.94, p < 0.05) и отрицательно – с численностью бактерий в слое 0–100 см (r = –0.82, p < 0.05). Следует отметить, что на глубине 100 см происходит смена в ботаническом составе мхов: ангустифолиум и магелланикум на 50% заменяется на балтикум торф. Также эмиссия метана положительно коррелирует с активностью неферментативной каталазы (r = 0.94, p < 0.05) в слоях 0–25 (верховой магелланикум торф) и 150–175 см (переходный шейхцериевый торф с высокой степенью разложения).
Заключение
Болота ГА по своим свойствам значительно отличаются от болот равнинных территорий своими орографическими, геоморфологическими особенностями, литологическим составом подстилающих пород и богатой растительностью. Сформированный в процессе торфообразования ботанический состав стратиграфических слоев торфяных профилей определяет физико-химические и биологические свойства торфов. Торфа эвтрофного профиля характеризуются кислой реакцией среды 4.5–4.7, низким содержанием водорастворимых и легкогидролизуемых веществ и высоким содержанием ГК. Торфа мезотрофного профиля – очень кислой рН (3.1–4.10), меньшим содержанием ГК и высоким – водорастворимых и легкогидролизуемых веществ, а также фульвокислот. Содержание лигнина в экстремальных значениях примерно одинаковое, но по глубине профиля распределено неравномерно.
Активность биологических процессов отмечается по всему торфяному профилю болот до минеральных подстилающих пород, но степень их активности определяется типом болота и ботаническим составом. В эвтрофном торфяном профиле численность бактерий изменяется в пределах 2–40 млрд/г, в мезотрофном – от 4 до 30 млрд/г. Плотность актиномицетного мицелия в эвтрофном профиле варьирует от 3.3 км/г (в поверхностных слоях) до 80 м/г к подстилающим породам, в мезотрофном – соответственно от 1.8 км/г до 110 м/г. Грибные споры представлены в эвтрофном профиле в пределах 3–44 млн/г, в мезотрофном – 10–43 млн/г. Максимальная численность бактерий, грибных спор отмечается в поверхностном слое 0–50 см торфяных профилей болот. Плотность бактериальных сообществ постепенно снижается в сторону подстилающей породы. Важно отметить, что актиномицетного мицелия в эвтрофном торфяном профиле в 2 раза больше, и глубина проникновения достигает 150 см по сравнению с мезотрофным торфяным профилем.
Микробная биомасса (метод базального дыхания) в эвтрофном профиле изменяется от 1.03 до 5.42 мг/г, в мезотрофном профиле – от 1.39 до 6.56 мг/г с повышенными величинами в поверхностных слоях. С глубиной содержание биомассы в обоих болотах снижается в 1.3–5.6 раза. Скорость базального дыхания в эвтрофном профиле в слое 0–175 см варьирует в пределах 2.11–4.0 мкг С–СО2/ (г ч) с наибольшими значениями в поверхностном слое. Скорость базального дыхания в мезотрофном профиле изменяется в пределах 0.62–1.79 мкг С–СО2/ (г ч), что в 2.2 –3.4 раза меньше, чем в эвтрофном торфяном профиле. Микробный метаболический коэффициент в торфяном профиле болот не превышает значения 0.85, что характеризует стабильное функционирование микробных сообществ в исследуемых болотах.
В эвтрофном профиле активность каталазы на протяжении двух лет изменяется от 1.1 до 17.9 см3 O2/(г 2 мин), активность ПФО – от 0.2 до 4.0 мг 1,4-бензохинона/(г 30 мин), активность ПД – от 10.9 до 27.5 мг 1.4-бензохинона/ (г 30 мин). В мезотрофном торфяном профиле пределы варьирования по каталазе составляют 1.5–16.2 см3 O2/ (г 2 мин), по активности ПФО – от нуля до 2.6 мг 1,4-бензохинона/(г 30 мин), по активности ПД – от 1.8 до 18.2 мг 1,4-бензохинона/(г 30 мин).
В процессе исследований определены концентрации СО2 и СН4 в двух болотах ГА: в эвтрофной торфяной залежи: по СО2 – 0.07–1.40 и по СН4 – от нуля до 0.65 ммоль/дм3, в мезотрофной: по СО2 – 0.05–1.10 ммоль/дм3 и по СН4 – от нуля до 0.62 ммоль/дм3. Расчет коэффициентов парной корреляции показал, что существует четкая связь показателей газового режима в болотах ГА с протекающими в них биологическими процессами.
На эвтрофном болоте ГА наблюдаются пределы значений эмиссии: по СО2 – 17.2–77.1 мг СО2/ (м2 ч), по СН4 1.3–11.3 мг СН4/(м2 ч). На мезотрофном болоте ГА пределы значений эмиссии: по СО2 –34.9–109.9 мг СО2/(м2 ч), по СН4 – 0.5–15.1 мг CH4/(м2 ч). СН4 0.5–15.1 мг СН4/(м2 ч). Выявлены значимые взаимосвязи между эмиссией и параметрами других режимов в торфяных профилях разного генезиса.
Финансирование работы
Исследование выполнено за счет гранта РНФ № 24-26-00161, https://rscf.ru/project/24-26-00161/ и ГЗ Минобрнауки РФ (№ 5.7004.2017/64).
Конфликт интересов
Авторы заявляют, что у них нет конфликта интересов.
About the authors
L. I. Inisheva
Tomsk State Pedagogical University
Author for correspondence.
Email: inisheva@mail.ru
ORCID iD: 0000-0002-7549-8339
Russian Federation, Tomsk, 634061
E. V. Porokhina
Tomsk State Pedagogical University
Email: inisheva@mail.ru
Russian Federation, Tomsk, 634061
N. G. Inishev
Tomsk State University
Email: inisheva@mail.ru
Russian Federation, Tomsk, 634050
A. V. Golovchenko
Lomonosov Moscow State University
Email: inisheva@mail.ru
Russian Federation, Moscow, 119991
G. V. Larina
Gorno-Altai State University
Email: inisheva@mail.ru
Russian Federation, Gorno-Altaysk, 649000
References
- Ананьева Н.Д. Микробиологические аспекты самоочищения и устойчивости почв. М.: Наука, 2003. 223 с.
- Волкова И.И. О растительности Тюгурюкского болота (Горный Алтай) // Отечественная геоботаника: основные вехи и перспективы: материалы Всероссийской научной конференции с международным участием (Санкт-Петербург, 20–24 сентября 2011 г.). СПб.: Бостон-спектр, 2011. Т. 1. С. 44–47.
- Волкова И.И., Волков И.В. Ландшафтно-экологическая характеристика мерзлотного седловинного болота у г. Саганы (хребет Иолго, Центральный Алтай) // Вестник Томского гос. Ун-та. Сер. Биология. 2014. № 1 (25). С. 211–222.
- Головченко А.В., Волкова Е.М. Запасы и структура микробной биомассы в торфяниках карстовых ландшафтов Тульской области // Почвоведение. 2019. № 3. С. 370–376.
- Головченко А.В., Дмитриенко Ю.Д., Морозов А.А., Поздняков Л.А., Глухова Т.В., Инишева Л.И. Микробная биомасса в низинных торфяниках: запасы, структура, активность // Почвоведение. 2021. № 7. С. 838–848. https://doi.org/10.31857/S0032180X21050099
- Гродницкая И.Д., Карпенко Л.В., Кнорре А.А., Сырцов С.Н. Микробная активность торфяных почв заболоченных лиственничников и болота в криолитозоне Центральной Эвенкии // Почвоведение. 2013. № 1. С. 67–79.
- Гродницкая И.Д., Трусова М.Ю. Микробные сообщества и трансформация соединений углерода в олотных почвах таежной зоны (Томская область) // Почвоведение. 2009. № 9. С. 1099–1107.
- Добровольская Т.Г., Головченко А.В., Семенова Т.А., Кухаренко О.С., Инишева Л.И. Влияние аэрации на структуру микробных комплексов низинных торфяников // Вестник ТГПУ. 2011. Вып. 5 (107). С. 117–126.
- Добровольская Т.Г., Скворцова И.Н., Лысак Л.В. Методы выделения и идентификации почвенных бактерий. М.: Изд-во МГУ, 1989. 40 с.
- Дьячкова А.В., Давыдов Д.К., Фофонов А.В., Краснов О.А., Головацкая Е.А., Симоненков Д.В., Nakayama T., Максютов Ш.Ш. Влияние аномальных факторов среды на эмиссию метана на Бакчарском болоте в районе пос. Плотниково летом 2018 г. // Оптика атмосферы и океана. 2019. Т. 32. № 6. С. 482–489. https://doi.org/10.17223/25421379/25/4
- Ефремова Т.Т., Ефремов С.П., Аврова А.Ф. Сезонная активность почвенной пероксидазы в осушенных болотных сосняках Западной Сибири: системно-экологический анализ // Почвоведение. 2023. № 10. С. 1244–1258. https://doi.org/10.31857/S0032180X23600774
- Инишева Л.И. Закономерности функционирования болотных экосистем в условиях воздействия природных и антропогенных факторов. Томск: Изд-во ТГПУ, 2020. 482 с.
- Ковалев Р.В. Почвы Горно-Алтайской автономной области. Новосибирск: Наука, 1973. 352 с.
- Кожевин П.А., Полянская Л.М., Звягинцев Д.Г. Динамика развития различных микроорганизмов в почве // Микробиология. 1979. Т. 48. № 4. С. 490–494.
- Козунь Ю.С., Казеев К.Ш., Колесников С.И. Вияние климата на ферментативную активность лесных почв Северного Кавказа // Лесоведение. № 3. 2022. С. 262–269. https://doi.org/10.31857/S002411482203010X
- Круглов Ю.В., Пароменская Л.Н. Модификация газометрического метода определения каталазной активности // Почвоведение. 1966. № 1. С. 93–95.
- Кураков С.А., Крутиков В.А., Ушаков В.Г. Автономный измеритель профиля температуры АИПТ // Приборы и техника эксперимента. 2008. № 5. С. 166–167.
- Лисс О.Л., Абрамова Л.И., Аветов Н.А., Березина Н.В., Инишева Л.И., Курнишкова Т.В., Слука З.А., Толпышева Т.Ю., Шведчикова Н.К. Болотные системы их природоохранное значение. Тула: Гриф и Ко, 2001. 584 с.
- Лиштван И.И., Король Н.Т. Основные свойства торфа и методы их определения. Минск: Наука и техника, 1975. 320 с.
- Махныкина А.В., Прокушкин А.С., Меняйло О.В., Верховец С.В., Тычков И.И., Урбан А.В., Рубцов А.В., Кошурникова Н.Н., Ваганов Е.А. Влияние климатических факторов на эмиссию CO2 из почв в среднетаежных лесах Центральной Сибири: эмиссия как функция температуры и влажности почвы // Экология. 2020. № 1. С. 51–61. https://doi.org/10.31857/S0367059720010060
- Методические указания по расчетам стока с неосушенных и осушенных болот. Мин-во природных ресурсов и экологии РФ; Федер. Служба по гидрометеорологии и мониторингу окружающей среды. Санкт-Петербург: Петербургский модный базар, 2011. 150 с.
- Модина Т.Д., Сухова М.Г. Климат и агроклиматические ресурсы Алтая. Новосибирск: Универсальное кн. изд-во, 2007. 180 с.
- Наставление гидрометеорологическим станциям и постам. Л.: Гидрометеоиздат, 1990. Вып. 8. 360 с.
- Пилецкая О.А., Ячная Д.А. Влияние сроков и способов хранения на изменение активности ферментов черноземовидной почвы Зейско-Буреинской равнины // Бюл. Почв. Ин-та им. В.В. Докучаева. 2022. № 112. С. 48–72. https://doi.org/10.19047/0136-1694-2022-112-48-72
- Полянская Л.М., Головченко А.В., Звягинцев Д.Г. Определение жизнеспособности спор и мицелия почвенных грибов // Микробиология. 1998. Т. 67. № 6. С. 832–836.
- Пяк А.И. Болото в долине ручья Ортолык-Тюргунь (Юго-Восточный Алтай) // Krylovia. 2001. № 2. С. 50–57.
- Раковский В.Е., Пигулевская Л.В. Химия и генезис торфа. М.: Недра, 1978. 231 с.
- Рельеф Алтае-Саянской горной области / Отв. ред. Николаев В.А., Чернов Г.А. Новосибирск: Наука: Сиб. отделение, 1988. 206 с.
- Романов В.В. Гидрофизика болот. Л.: Гидрометеоиздат, 1961. 359 с.
- Русанов Г.Г. Позднеплейстоценовые и голоценовые озера Северного Алтая (происхождение, динамика, физико-географическое значение). Автореф. дис. … канд. геогр. наук. Томск: ТГПУ, 2004. 24 с.
- Сусьян Е.А., Ананьева Н.Д., Гавриленко Е.Г., Чернова О.В., Бобровский М.В. Углерод микробной биомассы в профиле лесных почв южной тайги // Почвоведение. 2009. № 10. С. 1233–1240.
- Сусьян Е.А., Рыбянец Д.С., Ананьева Н.Д. Изменение микробной активности по профилю серой лесной почвы и чернозема // Почвоведение. 2006. № 8. С. 956–964.
- Технический анализ торфа. М.: Недра, 1992. 358 с.
- Физическая география // География Сибири в начале ХХI века. Новосибирск: Академическое изд-во “Гео”, 2016. Т. 5. Западная Сибирь. С. 17–32.
- Хазиев Ф.Х. Методы почвенной энзимологии. М., 1990. 189 с.
- Хазиев Ф.Х. Методы почвенной энзимологии. М.: Наука, 2005. 252 с.
- Хазиев Ф.Х. Функциональная роль ферментов в почвенных процессах // Вестник АН Республики Башкортостан. 2015. Т. 20. № 2. С. 14–24.
- Чечкин С.А. Водно-тепловой режим неосушенных болот и его расчет. Ленинград: Гидрометеоиздат,1970. 205 с.
- Щербакова Т.А. Ферментативная активность почв и трансформация органического вещества. Минск: Наука и техника, 1983. 222 с.
- Anderson J.P.E., Domsch K.H. A phisiological method for the quantitative measurement of microbial biomass in soils // Soil Biol. Biochem. 1978. V. 10. № 3. Р. 314–322.
- Anderson T.H., Domsch K.H. Application of eco-physiological quotients qCO2 and qD on microbial biomass from soils of different cropping histories // Soil Biol. Biochem. 1990. V. 22. № 2. Р. 251–255.
- Anderson T.H., Domsch K.H. The metabolic quotient for CO2 (qCO2) as a specific of environmental conditions, such as pH, on the microbial biomass of forest soils // Soil Biol. Biochem. 1993. V. 25. P. 393–395.
- Benedetti A., Dilly O. Approaches to defining, monitoring, evaluating and managing soil quality // Microbiological Methods for Assessing Soil Quality/ Eds.I. Bloem, D.W. Hopkins, A.Benedetty. Wallingford, UK; Cambridge, MA: CABI Pub. 2006. P. 3–14.
- Doran J.W. Soil health and sustainability: managing the biotic component of soil quality // Appl. Soil Ecology. 2000. V. 15. P. 3–15.
- Inisheva L.I., Golovchenko A.V., Smirnov O.N. Monitoring greenhouse gases in the peat deposits of swamps in Gornyi Altai // Geografiya i Prirodnye Resursy. 2023. V. 44. № 1. P. 31–40. https://doi.org/10.1134/S187537282301002X
- Inisheva L.I., Yudina N.V., Golovchenko A.V., Savelyeva A.V. Biochemical factors controlling the composition of bog water and migration of substances in the system of geochemically linked mire landscapes // Eurasian Soil Science. 2021. V. 54. № 4. P. 499–506. https://doi.org/10.1134/S1064229321040086
- Kaрягiна Л.А., Мiхайлоуская Н.А. Вызначэнне актыунасцi полiфенолаксiдазы i пераксiдазы у глебе // Весцi АН БССР. Сер. с/г навук. 1986. № 2. С. 40–41.
- Kim S.Y., Zhou X., Freeman C., Kang H. Changing thermal sensitivity of bacterial communities and soil enzymes in a bog peat in spring, summer and autumn // Appl. Soil Ecology. 2022. V. 173. P. 104382.
- Naumov A.V., Smolentseva E.N. Chapter 7. Estimation of carbon dioxide exchange of cascade geochemically conjugated steppe ecosystems in salinity condition // Steppe ecosystems: biological diversity, management and restoration. N.Y.: Nova Science, 2013. P. 153–163.
- Sikora L.J., Yakovchenko V., Kaufman D.D. Comprasion of rehydration method for biomass determination to fumigation-incubation and substrate-induced respiration method // Soil Biol. Biochem. 1994. V. 26. № 10. Р. 1443–1445.
- Steinmann Ph., Shotyk W. Sampling anoxic pore water in peatlands using “peepers” for in situ-filtration // Fresenius J. Anal. Chem. 1996. V. 354. P. 709–713. https://doi.org/10.1007/s0021663540709
- Volkova I.I., Callaghan T.V., Volkov I.V., Chernova N.A., Volkova A.I. South-Siberian mountain mires: perspectives on a potentially vulnerable remote source of biodiversity // Ambio. 2021. vol 50. P. 1975–1990.
- Wiesmeier M., Urbanski L., Hobley E., Lang B., von Lutzow M., Marin-Spiotta E., van Wesemael B., Rabot E., Lies M., Garcia-Franco N., Wollschläger U., Vogel H.J., Kogel-Knabner I. Soil organic carbon storage as a key function of soils – a review of drivers and indicators at various scales // Geoderma. 2019. V. 333. P. 149–162. https://doi.org/10.1016/j.geoderma.2018.07.026
Supplementary files






