Time Characteristics of FEU-175 and FEU-186 Single-Electron Photomultipliers with Jitter of 0.4 ns
- Authors: Ermalitsky F.A.1, Ermalitskaya K.F.2, Lukyanov V.N.3, Vyaznikov A.N.3, Kirpichenko R.V.3, Mamaeva G.A.3, Radko A.E.1, Samtsov M.P.1, Filipova O.A.3
-
Affiliations:
- Institute of Applied Physical Problems, Sevchenko Belarusian State University
- Belarusian State University
- Central Research Institute Electron
- Issue: No 2 (2023)
- Pages: 129-136
- Section: ЛАБОРАТОРНАЯ ТЕХНИКА
- URL: https://journal-vniispk.ru/0032-8162/article/view/138346
- DOI: https://doi.org/10.31857/S0032816223010147
- EDN: https://elibrary.ru/PVAFCP
- ID: 138346
Cite item
Full Text
Abstract
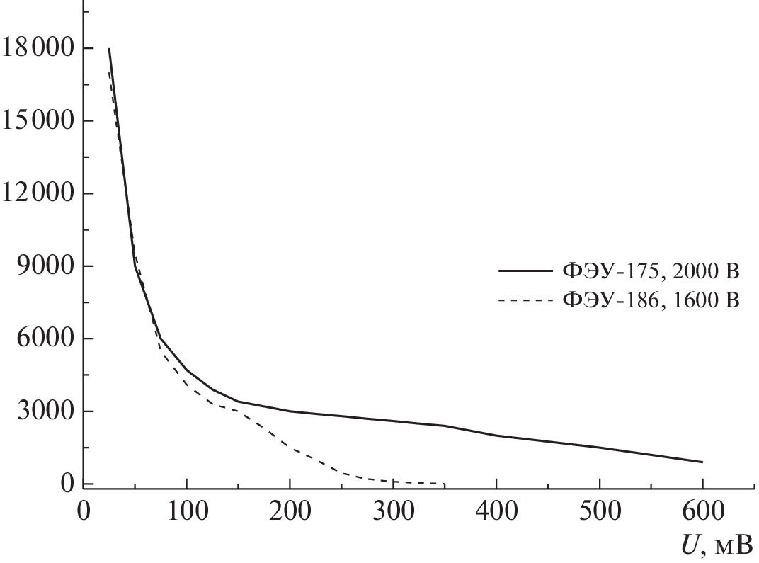
The results from studying the time characteristics (counting, amplitude distributions of single-electron pulses, spread of the signal propagation time (jitter) when exposed to radiation from picosecond diode lasers in the spectral range 405–780 nm) of high-speed photomultipliers FEU-175 and FEU-186 manufactured by AO Central Research Institute Electron (St. Petersburg). FEU-175 and FEU-186, respectively, are equipped with bialkali and multialkali photocathodes; their operating spectral range is 250–650 and 250–800 nm, respectively. Signal amplification is provided by a 14-dynode multiplication system, while the rise time of the PMT impulse response does not exceed 1.5 ns and the jitter is approximately 0.4 ns. PMT data can be used as photodetectors in single-quantum kinetic spectrometers with subnanosecond resolution and in other high-speed optoelectronic recorders.
About the authors
F. A. Ermalitsky
Institute of Applied Physical Problems, Sevchenko Belarusian State University
Email: f.ermalitski@gmail.com
220062, Minsk, Belarus
K. F. Ermalitskaya
Belarusian State University
Email: samtsov@mail.ru
220050, Minsk, Belarus
V. N. Lukyanov
Central Research Institute Electron
Email: samtsov@mail.ru
194223, St. Petersburg, Russia
A. N. Vyaznikov
Central Research Institute Electron
Email: samtsov@mail.ru
194223, St. Petersburg, Russia
R. V. Kirpichenko
Central Research Institute Electron
Email: samtsov@mail.ru
194223, St. Petersburg, Russia
G. A. Mamaeva
Central Research Institute Electron
Email: samtsov@mail.ru
194223, St. Petersburg, Russia
A. E. Radko
Institute of Applied Physical Problems, Sevchenko Belarusian State University
Email: samtsov@mail.ru
220062, Minsk, Belarus
M. P. Samtsov
Institute of Applied Physical Problems, Sevchenko Belarusian State University
Email: samtsov@mail.ru
220062, Minsk, Belarus
O. A. Filipova
Central Research Institute Electron
Author for correspondence.
Email: samtsov@mail.ru
194223, St. Petersburg, Russia
References
- Demas J.N. Exited state lifetime measurements. NY., London: Academy Press, 1983. https://doi.org/10.1016/b978-0-12-208920-6.x5001-0
- Lakowicz J.R. Principles of fluorescence spectroscopy. 3rd ed. NY.: Springer, 2006. https://doi.org/10.1007/978-0-387-46312-4
- Hamamatsu. Photomultiplier tubes. Hamamatsu Photonics K.K. 2016.
- Ветохин С.С., Ермалицкий Ф.А., Мельников С.М., Суханин С.В., Шойтов М.А. // ПТЭ. 1998. № 2. P. 5.
- Ермалицкий Ф.А., Радько А.Е., Самцов М.П. // ПТЭ. 2020. № 6. С. 125. https://doi.org/10.31857/S0032816220060051
- Воропай Е.С., Ермалицкая К.Ф., Ермалицкий Ф.А., Радько А.Е., Ржеуцкий Н.В., Самцов М.П. // ПТЭ. 2022. № 1. С. 100. https://doi.org/10.31857/S0032816222010232
- Воропай Е.С., Ермалицкий Ф.А., Каплевский К.Н., Радько А.Е. // ПТЭ. 2016. № 4. С. 156. https://doi.org/10.7868/S0032816216040157
- Dendebera M., Chornodolskyy Ya., Gamernyk R., Antonyak O., Pashuk I., Myagkota S., Gnilitskyi I., Pankratov V., Vistovskyy V., Mykhaylyk V., Grinberg M., Voloshinovskii A. // Journal of Luminescence. 2020. V. 225. P. 117346. https://doi.org/10.1016/j.jlumin.2020.117346
- Белько Н.В., Самцов М.П., Тихомиров С.А., Буганов О.В. // Журнал прикладной спектроскопии. 2020. Т. 87. № 5. С. 752. https://doi.org/10.1007/s10812-020-01078-z
Supplementary files










