РАСШИРЕНИЕ ВОЗМОЖНОСТЕЙ МАГНИТОМЕТРА С ПОЛЮСАМИ-ПОЛУСФЕРАМИ
- Авторы: Сандуляк А.А.1, Сандуляк Д.А.1, Полисмакова М.Н.1, Ершова В.А.1, Сандуляк А.В.1
-
Учреждения:
- МИРЭА – Российский технологический университет
- Выпуск: № 4 (2023)
- Страницы: 116-122
- Раздел: ОБЩАЯ ЭКСПЕРИМЕНТАЛЬНАЯ ТЕХНИКА
- URL: https://journal-vniispk.ru/0032-8162/article/view/138444
- DOI: https://doi.org/10.31857/S0032816223030102
- EDN: https://elibrary.ru/ISGMKU
- ID: 138444
Цитировать
Полный текст
Аннотация
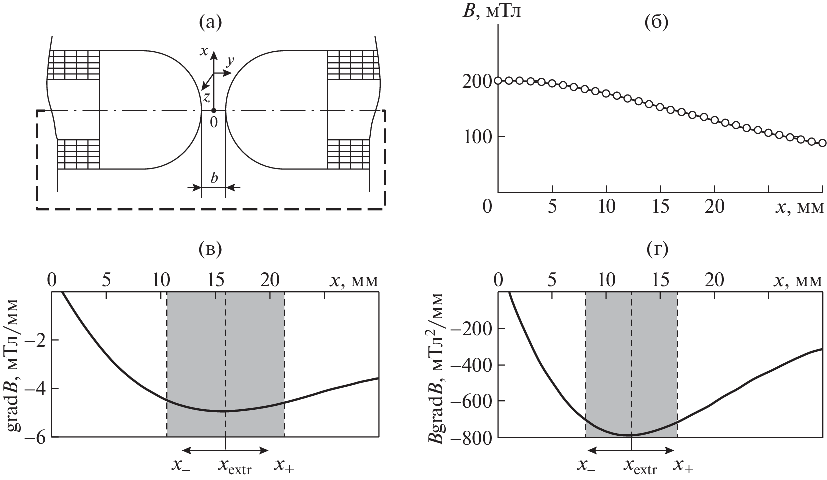
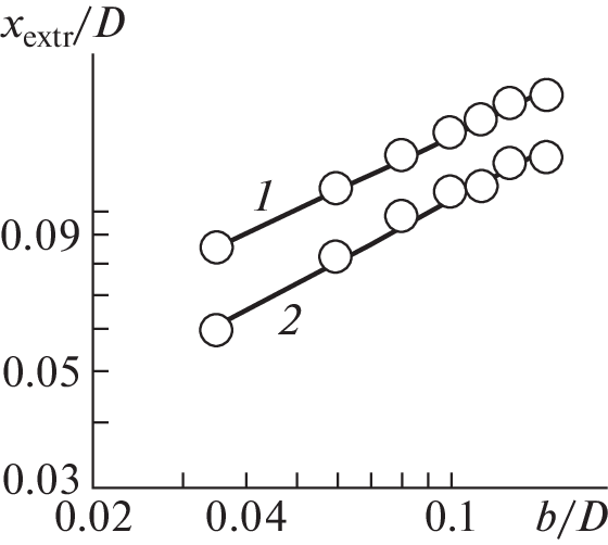
Описан модернизированный магнитометр, работающий на пондеромоторном принципе, в котором специально используемые полюса сферической формы создают неоднородное магнитное поле с зонами с практически постоянными значениями магнитного градиента (MG) и/или магнитного силового фактора (MFF) в окрестностях экстремумов координатных зависимостей MG и MFF. Зоны MGconst и MFFconst, фиксируемые в магнитометре ограничителями в виде управляемых маркеров (лазерных), имеют индивидуальные значения координат их условных центров xextr и протяженностей ∆x с допускаемой погрешностью изменения данных MG и MFF в пределах таких зон. Показано, что при разных взаимных расстояниях между полюсами-полусферами диаметром D зона MFFconst в сравнении с зоной MGconst располагается (по xextr/D) на треть ближе к межцентровой линии полюсов-полусфер и является настолько же менее протяженной (по ∆x/D).
Об авторах
А. А. Сандуляк
МИРЭА – Российский технологический университет
Email: d.sandulyak@mail.ru
Россия, 107076, Москва, ул. Стромынка, 20
Д. А. Сандуляк
МИРЭА – Российский технологический университет
Email: d.sandulyak@mail.ru
Россия, 107076, Москва, ул. Стромынка, 20
М. Н. Полисмакова
МИРЭА – Российский технологический университет
Email: d.sandulyak@mail.ru
Россия, 107076, Москва, ул. Стромынка, 20
В. А. Ершова
МИРЭА – Российский технологический университет
Email: d.sandulyak@mail.ru
Россия, 107076, Москва, ул. Стромынка, 20
А. В. Сандуляк
МИРЭА – Российский технологический университет
Автор, ответственный за переписку.
Email: d.sandulyak@mail.ru
Россия, 107076, Москва, ул. Стромынка, 20
Список литературы
- Liu Y.-L., Li D.-W., He J., Xie X.-Z, Chen D., Yan E.-K., Ye Y.-J., Yin D.-C. // Rev. Scient. Instrum. 2018. V. 89. P. 105103. https://doi.org/10.1063/1.5016570
- Zeng J., Tong X., Yi F., Chen L. // Minerals. 2019. V. 9 (9). P. 509. https://doi.org/10.3390/min9090509
- Hu K., Sun J., Guo Z., Wang P., Chen Q., Ma M., Gu N. // Advanced Materials. 2015. V. 27. P. 2507. https://doi.org/10.1002/adma.201405757
- Mariani G., Fabbri M., Negrini F., Ribani P.L. // Separation and Purification Technology. 2010. V. 72. P. 147. https://doi.org/10.1016/j.seppur.2010.01.017
- Xue Z., Wang Y., Zheng X., Lu D., Li X. // Separation and Purification Technology. 2020. V. 237. P. 116375. https://doi.org/10.1016/j.seppur.2019.116375
- Baik S.K., Ha D.W., Ko R.W., Kwon J.M. // Physica C: Superconductivity. 2012. V. 480. P. 111. https://doi.org/10.1016/j.physc.2012.04.036
- Hosu B.G., Jakab K., Bánki P., Toth F.I., Forgacs G. // Rev. Scient. Instrum. 2003. V. 74 (9). P. 41583. https://doi.org/10.1063/1.1599066#
- Казин П.Е., Кульбакин И.В. Методы исследования магнитных свойств материалов. М.: МГУ, 2011.
- Cape J.A., Young R.A. // Rev. Scient. Instrum. 1971. V. 42 (7). P. 1061. https://doi.org/10.1063/1.1685279
- Quinn R.K., Knauer R.C. // Rev. Scient. Instrum. 1972. V. 43 (10). P. 1543.
- Petersson L., Ehrenberg A. // Rev. Scient. Instrum. 1985. V. 56 (4). P. 575.
- Marcon P., Ostanina K. // PIERS Proceedings. Malaysia, Kuala Lumpur, March 27−30. 2012. P. 420.
- Сандуляк А.А., Сандуляк А.В., Полисмакова М.Н., Киселев Д.О., Ершова В.А., Сандуляк Д.А. // ПТЭ. 2018. № 1. С. 109. https://doi.org/10.7868/S0032816218010342
- Sandulyak A.A., Sandulyak A.V., Polismakova M., Ershova V., Sandulyak D., Kiselev D. // Applied Physics, System Science and Computers (APSAC 2017). Lecture Notes in Electrical Engineering. V. 428. Springer, 2017.
- Сандуляк А.А., Сандуляк Д.А., Горпиненко Ю.О., Ершова В.А., Сандуляк А.В. // Российский технологический журнал. 2021. Т. 9. № 5. С. 36. https://doi.org/10.32362/2500-316X-2021-9-5-36-44
- Sandulyak A.A., Polismakova M.N., Sandulyak D.A., Sandulyak A.V., Ershova V.A. // Glass and Ceramics. 2021. V. 78 (3). P. 104. https://doi.org/10.1007/s10717-021-00356-2
- Сандуляк А.А., Киселев Д.О., Полисмакова М.Н., Сандуляк А.В., Сандуляк Д.А. // Сборник материалов III Международной научно-практической конференции “Актуальные направления научных исследований: перспективы развитияˮ. Челябинск: ЦНС “Интерактив плюсˮ, 2017. С. 137.
- Сандуляк А.А., Киселев Д.О., Сандуляк А.В., Полисмакова М.Н., Сандуляк Д.А. // Приборы. 2017. № 10. С. 4.
- Сандуляк А.А., Сандуляк А.В., Полисмакова М.Н., Киселев Д.О., Сандуляк Д.А. // Российский технологический журнал. 2017. Т. 5. № 2. С. 57. https://doi.org/10.32362/2500-316X-2017-5-2-57-69
Дополнительные файлы







