Волоконный когерентный фазовый рефлектометр для инженерной геологии
- Авторы: Алексеев А.Э.1, Горшков Б.Г.2, Потапов В.Т.1, Таранов М.А.1,3, Симикин Д.Е.1,3
-
Учреждения:
- Фрязинский филиал Института радиотехники и электроники им. В.А. Котельникова РАН
- Институт общей физики им. А.М. Прохорова РАН
- Институт океанологии им. П.П. Ширшова РАН
- Выпуск: № 5 (2023)
- Страницы: 146-152
- Раздел: ФИЗИЧЕСКИЕ ПРИБОРЫ ДЛЯ ЭКОЛОГИИ, МЕДИЦИНЫ, БИОЛОГИИ
- URL: https://journal-vniispk.ru/0032-8162/article/view/138513
- DOI: https://doi.org/10.31857/S0032816223050026
- EDN: https://elibrary.ru/ZHXJCA
- ID: 138513
Цитировать
Полный текст
Аннотация
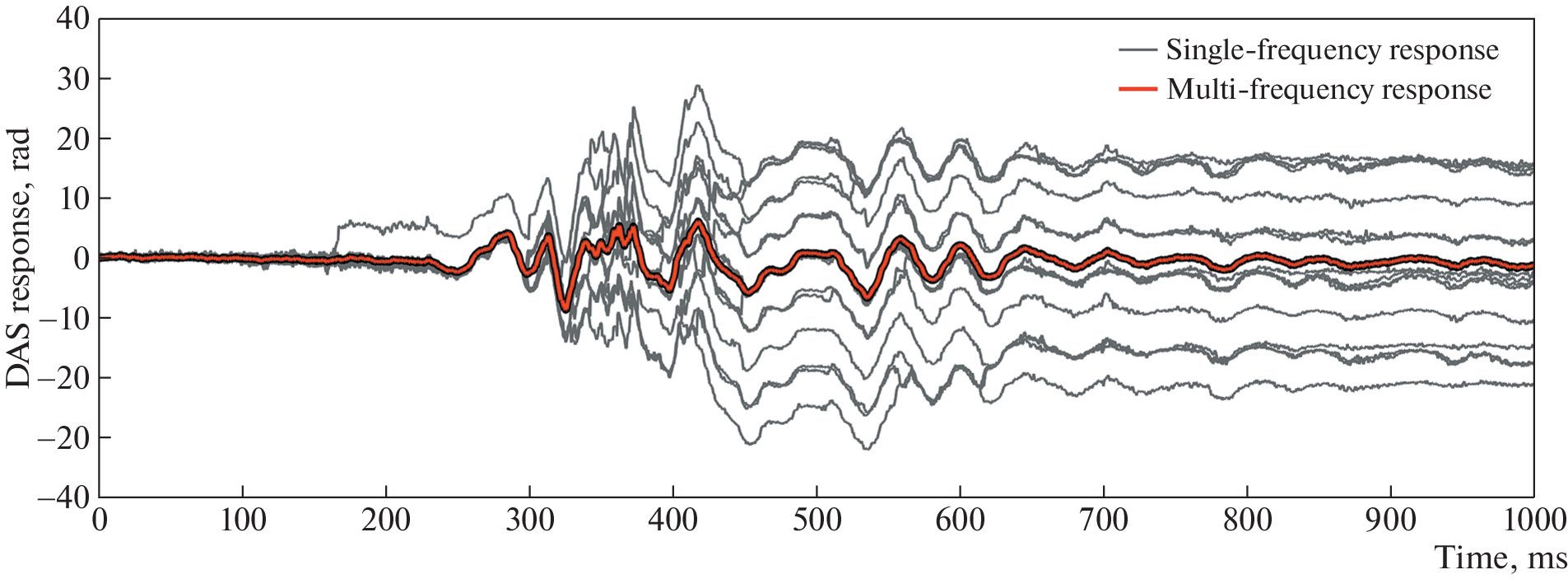
Предложена новая архитектура волоконного когерентного фазового рефлектометра (распределенного датчика акустических воздействий, φ-OTDR) с возможностью его применения в задачах инженерной геологии. Датчик основан на двухимпульсной схеме, в которой пара импульсов формируется с помощью несбалансированного интерферометра Майкельсона. Необходимая для осуществления демодуляции обратно-рассеянного излучения фазовая задержка формируется с помощью симметричного ответвителя 3 × 3, встроенного в интерферометр. Использование несбалансированного интерферометра в схеме генерации двойных зондирующих импульсов позволяет снизить требования к степени когерентности источника излучения, так как вносимая временная задержка между двойными импульсами компенсируется в волоконном тракте рефлектометра. Это позволяет использовать в качестве источника излучения лазер с относительно широкой спектральной линией, около 1 ГГц, а также формировать короткие импульсы лазерного излучения (с длительностью 7 нс) путем прямой модуляции тока инжекции лазерного диода. Для снижения замираний сигнала в рефлектометре, а также для улучшения линейности его отклика используется усреднение откликов по 16 оптическим частотам. Работоспособность распределенного акустического датчика была продемонстрирована при детектировании сильного ударного воздействия на горизонтально закопанный в грунт кабель, а также при регистрации сейсмических волн с помощью кабеля, размещенного в скважине на дне моря.
Об авторах
А. Э. Алексеев
Фрязинский филиал Института радиотехники и электроники им. В.А. Котельникова РАН
Email: aleksey.e.alekseev@gmail.com
Россия, 141190, Московской обл., Фрязино, , пл. Введенского, 1
Б. Г. Горшков
Институт общей физики им. А.М. Прохорова РАН
Email: aleksey.e.alekseev@gmail.com
Россия, 119991, Москва, ул. Вавилова, 38
В. Т. Потапов
Фрязинский филиал Института радиотехники и электроники им. В.А. Котельникова РАН
Email: aleksey.e.alekseev@gmail.com
Россия, 141190, Московской обл., Фрязино, , пл. Введенского, 1
М. А. Таранов
Фрязинский филиал Института радиотехники и электроники им. В.А. Котельникова РАН; Институт океанологии им. П.П. Ширшова РАН
Email: aleksey.e.alekseev@gmail.com
Россия, 141190, Московской обл., Фрязино, , пл. Введенского, 1; Россия, 117997, Москва, Нахимовский проспект, 36
Д. Е. Симикин
Фрязинский филиал Института радиотехники и электроники им. В.А. Котельникова РАН; Институт океанологии им. П.П. Ширшова РАН
Автор, ответственный за переписку.
Email: aleksey.e.alekseev@gmail.com
Россия, 141190, Московской обл., Фрязино, , пл. Введенского, 1; Россия, 117997, Москва, Нахимовский проспект, 36
Список литературы
- Mateeva A., Lopez J., Potters H., Mestayer J., Cox B., Kiyashchenko D., Wills P., Grandi S., Hornman K., Kuvshinov B., Berlang W., Yang Zh., Detomo R. // Geophys. Prospect. 2014. V. 62. P. 679. https://www.earthdoc.org/content/journals/10.1111/1365-2478.12116
- Fernández-Ruiz M.R., Soto M.A., Williams E.F., Martin-Lopez S., Zhan Z., Gonzalez-Herraez M., Martins H.F. // APL Photon. 2020. V. 5. P. 030901. https://aip.scitation.org/doi/full/10.1063/1.5139602
- Williams E.F., Fernández-Ruiz M.R., Magalhaes R., Vanthillo R., Zhan Z., González-Herráez M., Martins H.F. // Nature commun. 2019. V. 10. P. 1. https://www.nature.com/articles/s41467-019-13262-7
- Bakulin A., Silvestrov I., Pevzner R. // The Leading Edge. 2020. V. 39. P. 808. https://doi.org/10.1190/tle39110808.1
- Gorshkov B.G., Yüksel K., Fotiadi A.A., Wuilpart M., Korobko D.A., Zhirnov A.A., Konstantin V.S., Turov A.T., Konstantinov Y.A., Lobach I.A. // Sensors. 2022. V. 22. P. 1033. https://www.mdpi.com/1424-8220/22/3/1033/htm
- Alekseev A.E., Gorshkov B.G., Potapov V.T. // Laser Phys. 2019. V. 29. P. 055106. https://iopscience.iop.org/article/10.1088/1555-6611/ab0d15
- Gorshkov B.G., Alekseev A.E., Taranov M.A., Simikin D.E., Potapov V.T., Ilinskiy D.A. // Appl. Opt. 2022. V. 61. P. 8308. https://doi.org/10.1364/AO.468804
- Hartog A.H. An introduction to distributed optical fibre sensors. CRC press. 2017.
- Posey R.Jr, Johnson G.A., Vohra S.T. // Electron. Lett. 2000. V. 36. P. 1688. https://digital-library.theiet.org/content/journals/10.1049/el_20001200
- Masoudi A., Belal M., Newson T.P. // Measurem. Sci. Technol. 2013. V. 24. P. 085204. https://iopscience.iop.org/article/10.1088/0957-0233/24/8/085204/
- Dakin J.P., Lamb C. UK Patent GB2222247A. 1990. https://patents.google.com/patent/GB2222247A/en
- Alekseev A.E., Vdovenko V.S., Gorshkov B.G., Potapov V.T., Simikin D.E. // Laser Phys. 2014. V. 24. 115106. https://iopscience.iop.org/article/10.1088/1054-660X/24/11/115106
- Alekseev A.E., Vdovenko V.S., Gorshkov B.G., Potapov V.T., Simikin D.E. // Laser Phys. 2015. V. 25. P. 065101. https://iopscience.iop.org/article/10.1088/1054-660X/25/6/065101/
- Nikitin S.P., Kuzmenkov A.I., Gorbulenko V.V., Nanii O.E., Treshchikov V.N. // Laser Phys. 2018. V. 28. 085107. https://iopscience.iop.org/article/10.1088/1555-6611/aac714/meta
- Hartog A., Kader K. Distributed fiber optic sensor system with improved linearity, US Patent No. 9.170.149. 2015. https://patents.google.com/patent/US9170149B2/en
- Lu Y., Zhu T., Chen L., Bao X. (2010). // J. Lightwave Technol. 2010. V. 28. P. 3243. https://opg.optica.org/jlt/abstract.cfm?uri=jlt-28-22-3243
- Gorshkov B.G., Alekseev A.E., Simikin D.E., Taranov M.A., Zhukov K.M., Potapov V.T. Sensors. 2022. V. 22. P. 9482. https://doi.org/10.3390/s22239482
- Alekseev A.E., Gorshkov B.G., Bashaev A.V., Potapov V.T., Taranov M.A., Simikin D.E. // Laser Phys. 2021. V. 31. P. 035101. https://iopscience.iop.org/article/10.1088/1555-6611/abd936/meta
- Hartog A.H., Kotov O.I., Liokumovich L.B. In: Second EAGE Workshop on Permanent Reservoir Monitoring 2013 – Current and Future Trends. European Association of Geoscientists & Engineers. 2013 (July). P. 351. https://doi.org/10.3997/2214-4609.20131301
- Alekseev A.E., Gorshkov B.G., Potapov V.T. // Laser Phys. 2019. V. 29. P. 055106. https://iopscience.iop.org/article/10.1088/1555-6611/ ab0d15/meta
- Alekseev A.E., Gorshkov B.G., Potapov V.T., Taranov M.A., Simikin D.E. // Laser Phys. 2020. V. 30. P. 035107. https://iopscience.iop.org/article/10.1088/1555-6611/ab70b0/meta
- Alekseev A.E., Gorshkov B.G., Potapov V.T., Taranov M.A., Simikin D.E. // Appl. Opt. 2022. V. 61. P. 231. https://opg.optica.org/ao/abstract.cfm?uri=ao-61-1-231
- Hartog A.H., Liokumovich LB., Ushakov N.A., Kotov O.I., Dean T., Cuny T., Constantinou A., Englich F.V. // Geophys. Prospect. 2018. V. 66. P. 192. https://doi.org/10.1111/1365-2478.12612
- Ogden H.M., Murray M.J., Murray J.B., Kirkendall C., Redding B. // Scien. Rep. 2021. V. 11. P. 1. https://www.nature.com/articles/s41598-021-97647-z
- Mermelstein M.D., Posey R., Johnson G.A., Vohra S.T. // Opt. Lett. 2001. V. 26. P. 58. https://doi.org/10.1364/OL.26.000058
- Судакова М.С., Белов М.В., Понимаскин А.О., Пирогова А.С., Токарев М.Ю., Колюбакин А.А. // Геофизика 2021. Т. 6. С. 111. https://elibrary.ru/item.asp?id=47926026
Дополнительные файлы








