Изготовление кварцевых полых волокон: решение задачи устойчивости вытяжки капилляров
- Авторы: Первадчук В.П.1, Владимирова Д.Б.1, Деревянкина А.Л.1
-
Учреждения:
- Пермский национальный исследовательский политехнический университет
- Выпуск: № 5 (2023)
- Страницы: 180-189
- Раздел: ЛАБОРАТОРНАЯ ТЕХНИКА
- URL: https://journal-vniispk.ru/0032-8162/article/view/138522
- DOI: https://doi.org/10.31857/S0032816223050130
- EDN: https://elibrary.ru/ZKBBSD
- ID: 138522
Цитировать
Полный текст
Аннотация
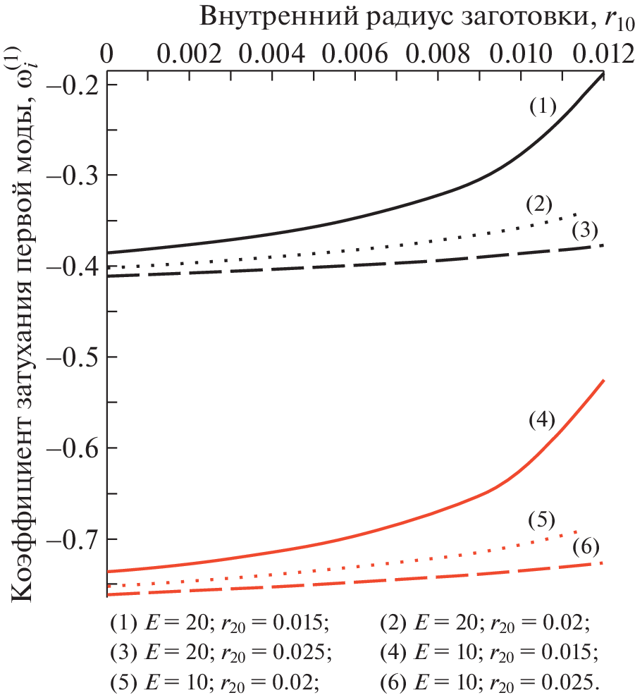
Решение задачи стабильности процесса изготовления (“вытяжки”) микроструктурированных оптических волокон (“дырчатых волокон”) имеет важнейшее значение для определения эффективных технологических режимов производства. В данном исследовании использована предложенная авторами модифицированная модель вытяжки капилляров, учитывающая инерционные, вязкостные силы и силы поверхностного натяжения, а также все виды теплообмена. На основании линейной теории устойчивости определены области стабильности процесса вытяжки капилляров. При исследовании было оценено влияние кратности вытяжки и сил инерции (числа Рейнольдса) на устойчивость рассматриваемого процесса. Показано существование оптимальных параметров нагревательного элемента: распределение температуры по поверхности печи и радиуса печи, при которых значительно (в несколько раз) увеличивается устойчивость процесса вытяжки кварцевых труб.
Об авторах
В. П. Первадчук
Пермский национальный исследовательский политехнический университет
Email: al_derevyankina@mail.ru
Россия, 614990, Пермь, Комсомольский просп., 29
Д. Б. Владимирова
Пермский национальный исследовательский политехнический университет
Email: al_derevyankina@mail.ru
Россия, 614990, Пермь, Комсомольский просп., 29
А. Л. Деревянкина
Пермский национальный исследовательский политехнический университет
Автор, ответственный за переписку.
Email: al_derevyankina@mail.ru
Россия, 614990, Пермь, Комсомольский просп., 29
Список литературы
- Pendão C., Silva I. // Sensors. 2022. V. 22. P. 7554. https://doi.org/10.3390/s22197554
- Lin W., Zhang C., Li L., Liang S. // In Proceedings of the 2012 Symposium on Photonics and Optoelectronics. Shanghai. China. 21–23 May 2012. P. 1.
- Krohn D.A., MacDougall T., Mendez A. Fiber Optic Sensors: Fundamentals and Applications. Spie Press. Bellingham. WA. 2014.
- Xiao F., Chen G.S., Hulsey J.L. // Sensors. 2017. V. 17. P. 2390. https://doi.org/10.3390/s17102390
- Padma S., Umesh S., Pant S., Srinivas T. // J. Biomedical Opt. 2016. V. 21. P. 86012. https://doi.org/10.1117/1.JBO.21.8.086012
- Kahandawa G.C., Epaarachchi J., Wang H., Lau K. // Photonic Sens. 2012. V. 2. P. 203. https://doi.org/10.1007/s13320-012-0065-4
- Qiao X., Shao Z., Bao W., Rong. Q. // Sensors. 2017. V. 17. P. 429. https://doi.org/10.3390/s17030429
- Nie M., Xia Y.H., Yang H.S. // Clust. Comput. 2019. V. 22. P. 8217. https://doi.org/10.1007/s10586-018-1727-9
- Wu T., Liu G., Fu S., Xing F. // Sensors 2020. V. 20. P. 4517. https://doi.org/10.3390/s20164517
- Reeves W., Knight J., Russell P., Roberts P. // Opt. Express 2002. 10. 609. https://doi.org/10.1364/oe.10.000609
- Habib M.A., Anower M.S., Hasan M.R. // Curr. Opt. Photon. 2017. V. 1. P. 567. https://doi.org/10.3807/COPP.2017.1.6.567
- Troia B., Paolicelli A., Leonardis F., Passaro V. // Adv. Photon. Cryst. 2013. V. 1. P. 241. https://doi.org/10.5772/53897
- Maidi A.M., Kalam M.A., Begum F. // Photonics. 2022. V. 9. P. 958. https://doi.org/10.3390/photonics9120958
- Griffin S. // Lc Gc North America. 2002. V. 20 (10). P. 928.
- Mcmican R. // Reinforced Plastics 2012. V. 56 (5). P. 9. https://doi.org/10.1016/S0034-3617(12)70110-8
- Xue C., Qin Y., Fu H., Fan J. // Polymers 2022. V. 14. P. 3372. https://doi.org/10.3390/ polym14163372
- Wang K.Y., Liu R.X., Zhang L., Yan Y.H., Sui X.Y., Zhou C.L., Cheng Z.Q. // IOP Conf. Series: Materials Science and Engin. 2019. P. 678. https://doi.org/10.1088/1757-899X/678/1/012076
- Fitt A.D., Furusawa K., Monro T.M., Please C.P. // J. Light. Technol. 2001. V. 19. P. 1924. https://doi.org/10.1109/50.971686
- Pervadchuk V., Vladimirova D., Gordeeva I., Kuchumov A.G., Dektyarev D. // Fibers 2021. V. 9. P. 77. https://doi.org/10.3390/fib9120077
- Lienard I.V., John H. A Heat Transfer Textbook. Phlogiston Press: Cambridge. MA. 2017.
- Fitt A.D., Furusawa K., Monro T.M., Please C.P., Lienard I.V., John H. // J. Light. Technol. 2001. V. 19. P. 1924. https://doi.org/10.1109/50.971686
- Drazin P.G., Reid W.H. Hydrodynamic Stability, Cambridge University Press. 2010. https://doi.org/10.1017/CBO9780511616938
- Morgan R. // Math. J. 2015. V. 16. P. 67.
- Rodríguez R.S., Avalos G.G., Gallegos N.B., Ayala-jaimes G., Garcia A.P. // Symmetry 2021. 13. 854. https://doi.org/10.3390/sym13050854
- Jung H.W., Hyun J.C. // Rheology Rev. 2006. V. 2006. P. 131.
- Bechert M., Scheid B. // Phys. Rev. Fluids 2017. V. 2. P. 10.1103. https://doi.org/10.1103/PhysRevFluids.2.113905
- Van der Hout R. // Europ. J. Appl. Math. 2000. V. 11. P. 129. https://doi.org/10.1017/S0956792599004118
- Hagen T., Langwallner B. // ZAMM·Z. Angew. Math. Mech. 2006. V. 86. P. 63. https://doi.org/10.1002/zamm.200410225
- Vasil’ev V.N., Dul’nev G.N., Naumchik V.D. // J. Engeen. Phys. 1988. V. 55. P. 918.
Дополнительные файлы










