Expanding the Analytical Capabilities of Scanning Electron Microscopy in the Detection of Backscattered Electrons
- Authors: Zaitsev S.V.1, Zykova E.Y.1, Rau E.I.1, Tatarintsev A.A.1, Kiselevskii V.A.1
-
Affiliations:
- Moscow State University, Faculty of Physics
- Issue: No 6 (2023)
- Pages: 167-175
- Section: ЛАБОРАТОРНАЯ ТЕХНИКА
- URL: https://journal-vniispk.ru/0032-8162/article/view/233276
- DOI: https://doi.org/10.31857/S0032816223040092
- EDN: https://elibrary.ru/SUMXJW
- ID: 233276
Cite item
Full Text
Abstract
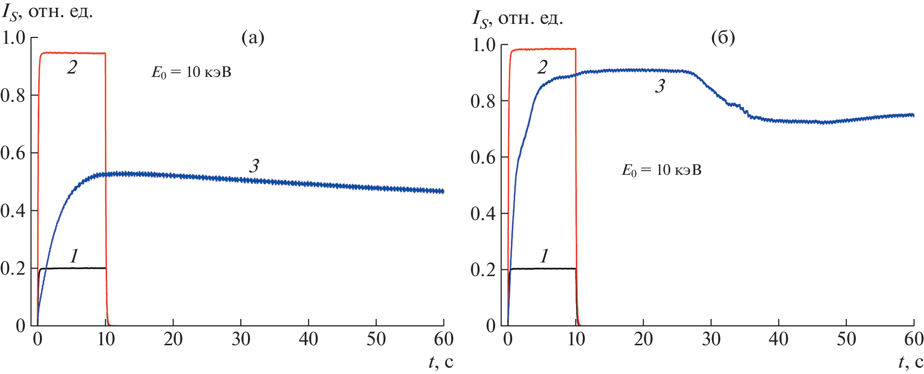
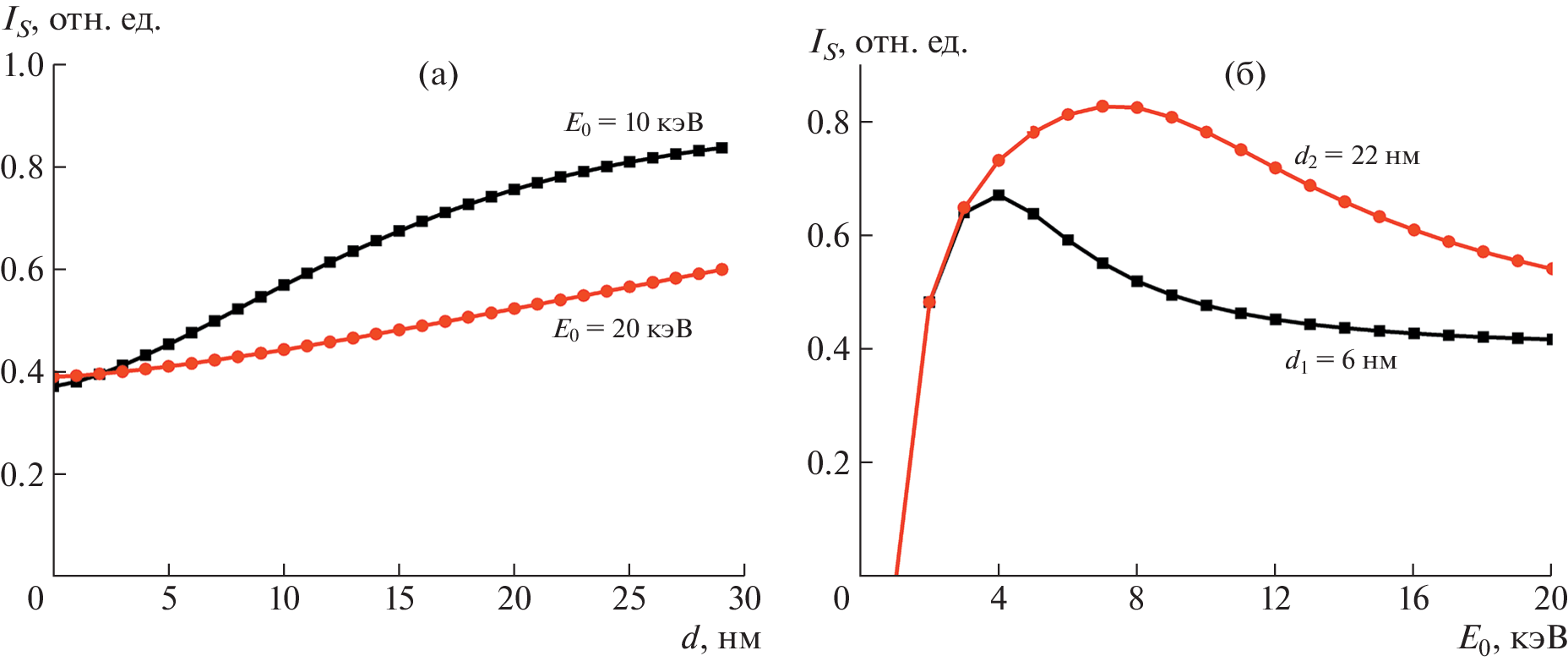
New possibilities for the mode of detecting backscattered electrons in a scanning electron microscope (SEM) are presented. The technique for determining the chemical composition of the probed area of the sample using the precalibrated scale of the SEM’s gray screen has been further developed. Simple relationships are presented for practical application in finding the thicknesses of thin films on a massive substrate. The parameters of the double layer of the film nanostructure on the substrate are determined, that is, depth and thickness of subsurface fragments of the microobject. A technique is proposed for measuring the surface potential of negatively charged dielectric samples upon irradiation with medium-energy electrons
About the authors
S. V. Zaitsev
Moscow State University, Faculty of Physics
Email: rau@phys.msu.ru
119991, Moscow, Russia
E. Yu. Zykova
Moscow State University, Faculty of Physics
Email: rau@phys.msu.ru
119991, Moscow, Russia
E. I. Rau
Moscow State University, Faculty of Physics
Email: rau@phys.msu.ru
119991, Moscow, Russia
A. A. Tatarintsev
Moscow State University, Faculty of Physics
Email: rau@phys.msu.ru
119991, Moscow, Russia
V. A. Kiselevskii
Moscow State University, Faculty of Physics
Author for correspondence.
Email: rau@phys.msu.ru
119991, Moscow, Russia
References
- Reimer L. Scanning Electron Microscopy. Physics of Image formation and Microanalysis. 2-d ed. Berlin: Springer, 1998.
- Sercel P.C., Lebens J.A., Vahala K.J. // Review of Scientific Instruments. 1989. V. 60. № 12. P. 3775. https://doi.org/10.1063/1.1140489
- Guritagaitia A., Rosenkranz R., Löffler M., Clausner A., Standke Y., Zschech E. // Ultramicroscopy. 2018. V. 195. P. 47. https://doi.org/10.1016/j.ultramic.2018.08.026
- Müller E., Gerthsen D. // Ultramicroscopy. 2017. V. 173. P. 71. https://doi.org/10.1016/j.ultramic.2016.12.003
- Sánchez E., Torres Deluigi M., Castellano G. // Microscopy Microanal. 2012. V. 18. P. 1355. https://doi.org/10.1017/S1431927612013566
- Hyonchol Kim, Tsutomu Negishi, Masato Kudo, Hiroyuki Takei, Kenji Yasuda // Journal of Electron Microscopy. 2010. V. 59. № 5. P. 379. https://doi.org/10.1093/jmicro/dfq012
- Zhang H.R., Egerton R.F., Malac M. // Micron. 2012. V. 43. P. 8. https://doi.org/10.1016/j.micron.2011.07.003
- Niedrig H.J. // J. Applied Physics. 1982. V. 53. № 4. P. R15. https://doi.org/10.1063/1.331005
- Wilson D.J., Curzon A.E. // Thin Solids Films. 1988. V. 165. № 1. P. 217. https://doi.org/10.1016/0040-6090(88)90692-X
- Зайцев С.В., Купреенко С.Ю., Рау Э.И., Татаринцев А.А. // ПТЭ. 2015. № 6. С. 51. https://doi.org/10.7868/S0032816215060129
- Купреенко С.Ю., Орликовский Н.А., Рау Э.И., Тагаченков А.М., Татаринцев А.А. // ЖТФ. 2015. Т. 85. № 10. С. 101. https://doi.org/10.1134/S1063784215100205
- Афанасьев В.П., Капля П.С., Костановский И.А. // Поверхность. Рентгеновские, синхротронные и нейтронные исследования. 2013. № 2. С. 30. https://doi.org/10.7868/S0207352812080045
- Михеев Н.Н. // Поверхность. Рентгеновские, синхротронные и нейтронные исследования. 2020. № 12. С. 70. https://doi.org/10.31857/S1028096020120201
- Dapor M., Bazzanella N., Toniutti L., Miotello A., Crivellari M., Gialanelta S. // Surf. Interf. Anal. 2013. V. 45. P. 677. https://doi.org/10.1002/sia.5144
- Assa’d A.M.D. // Applied Physics A. 2018. V. 124. P. 699. https://doi.org/10.1007/s00339-018-2073-8
- August H.-J., Wernisch J. // J. Microscopy. 1990. V. 157. № 2. P. 247. https://doi.org/10.1111/j.1365-2818.1990.tb02962.x
- Staub P.-F. // J. Phys. D: Appl. Phys. 1994. V. 27. P. 1533. https://doi.org/10.1088/0022-3727/27/7/030
- Fitting H.J. // J. of Electron Spectroscopy and Related Phenomena. 2004. V. 136. № 3. P. 265. https://doi.org/10.1016/j.elspec.2004.04.003
- Rau E.I., Karaulov V.Yu., Zaitsev S.V. // Review of Scientific Instruments. 2019. V. 90. № 2. P. 023701. https://doi.org/10.1063/1.5054746
- De Nee P.B. Scanning Electron Microscopy. S.E.M. Inc. / Ed. O’Hare. NY.: 1978. V. 1. P. 741.
- Забродский В.В., Зайцев С.В., Караулов В.Ю., Рау Э.И., Смоляр В.А., Шерстнёв Е.В. // Изв. РАН. Сер. физич. 2019. Т. 83. № 11. С. 1488.
- Cosslett V.E., Thomas R.N. // British J. Appl. Phys. 1964. V. 15. № 8. P. 883. https://doi.org/10.1088/0508-3443/15/8/303
- Бакалейников Л.А., Домрачева Я.В., Заморянская М.В., Колесникова Е.В., Попова Т.Б., Флегонтова Е.Ю. // Физика и техника полупроводников. 2009. Т. 43. № 4. С. 568.
- Hejna J. // Scanning. 1992. V. 14. P. 256. https://doi.org/10.1002/sca.4950140503
- Рау Э.И., Зайцев С.В., Караулов В.Ю. // Письма в ЖТФ. 2022. Т. 48. № 23. С. 22. https://doi.org/10.21883/PJTF.2022.23.53947.19361
- Рау Э.И., Татаринцев А.А., Купреенко С.Ю., Зайцев С.В., Подбуцкий Н.Г. // Поверхность. Рентгеновские, синхротронные и нейтронные исследования. 2017. № 10. С. 69. https://doi.org/10.7868/S0207352817100110
- Рау Э.И., Татаринцев А.А. // Физика твердого тела. 2021. Т. 63. № 4. С. 483.
Supplementary files










