Восстановление профиля электронной температуры плазмы по данным диагностики электронного циклотронного излучения и относительная калибровка ее частотных каналов в режиме омического нагрева плазмы в стеллараторе Л-2М
- Authors: Мещеряков А.И.1, Гришина И.А.1
-
Affiliations:
- Институт общей физики им. А. М. Прохорова Российской академии наук
- Issue: No 1 (2024)
- Pages: 85-92
- Section: ОБЩАЯ ЭКСПЕРИМЕНТАЛЬНАЯ ТЕХНИКА
- URL: https://journal-vniispk.ru/0032-8162/article/view/263948
- DOI: https://doi.org/10.31857/S0032816224010121
- EDN: https://elibrary.ru/FSELJS
- ID: 263948
Cite item
Full Text
Abstract
Предложена методика восстановления профиля электронной температуры в условиях, когда интегральный коэффициент поглощения электронного циклотронного (ЭЦ) излучения меньше единицы. Проведено численное моделирование плазмы в режиме омического нагрева для стелларатора Л-2М. Показано, что профиль радиационной температуры, построенный по данным диагностики ЭЦ-излучения в режиме омического нагрева, требует значительной коррекции. Ширина профиля оказывается меньше, чем ширина истинного профиля температуры, а центральная температура плазмы занижена примерно на 30%. Предложен новый метод относительной калибровки каналов диагностики ЭЦ-излучения в режиме омического нагрева. Полученные калибровочные коэффициенты могут быть использованы при проведении измерений температуры плазмы в режиме электронного циклотронного резонансного нагрева.
Full Text
1. ВВЕДЕНИЕ
В настоящее время диагностика определения профиля электронной температуры по спектру электронного циклотронного (ЭЦ) излучения на второй гармонике широко используется в экспериментах по нагреву плазмы в тороидальных магнитных ловушках [1–4]. Интенсивность ЭЦ-излучения на n-й гармонике электронной циклотронной частоты связана с электронной температурой плазмы соотношением [5]
, (1)
где ρ – коэффициент отражения стенок вакуумной камеры, τn = ∫Ƙndr – оптическая толщина плазмы для n-й гармоники ЭЦ-излучения, Ƙn – коэффициент поглощения среды для n-й гармоники, с – скорость света. На современных установках для измерения интенсивности ЭЦ-излучения обычно используется вторая гармоника, распространяющаяся в виде необыкновенной волны. Поэтому в дальнейшем мы будем опускать индекс “n” и говорить только о второй гармонике. Кроме того, мы будем пренебрегать отражением ЭЦ-излучения от стенок камеры, считая, что ρ = 0.
Интенсивность ЭЦ-излучения плазмы принято характеризовать радиационной температурой Trad(ω), определяемой следующей формулой:
Для максвелловской функции распределения электронов по энергии радиационная температура определяется следующей формулой [6]:
(2)
где интегрирование в обоих случаях ведется вглубь от границы плазмы вдоль траектории распространения излучения.
Поскольку вдали от точки ЭЦ-резонанса коэффициент поглощения среды Ƙ близок к нулю, для плавного профиля электронной температуры и монотонного профиля напряженности магнитного поля можно заменить электронную температуру ее значением в точке резонанса и получить следующее выражение для радиационной температуры [7]:
(3)
где Q = 1 – exp(–τ) – интегральный коэффициент поглощения, rres – координата точки, где выполняются условия ЭЦ-резонанса для частоты ω. Таким образом, измеряя спектральную интенсивность ЭЦ-излучения (или радиационную температуру) на различных частотах, можно определять профиль электронной температуры, поскольку для различных частот резонансные условия выполняются на различных радиусах.
Несмотря на очевидную простоту данного метода, существует ряд ограничений на его применимость, которые необходимо учитывать при интерпретации результатов измерений ЭЦ-излучения. Во-первых, как следует из формулы (3), при недостаточной оптической толщине, когда τ ≤ 1, измеренная радиационная температура Trad оказывается ниже электронной температуры плазмы Te. Кроме того, при малых значениях градиента магнитного поля область, где выполняются условия ЭЦ-резонанса, может иметь некоторую протяженность, что может приводить к существенным ошибкам в привязке по радиусу.
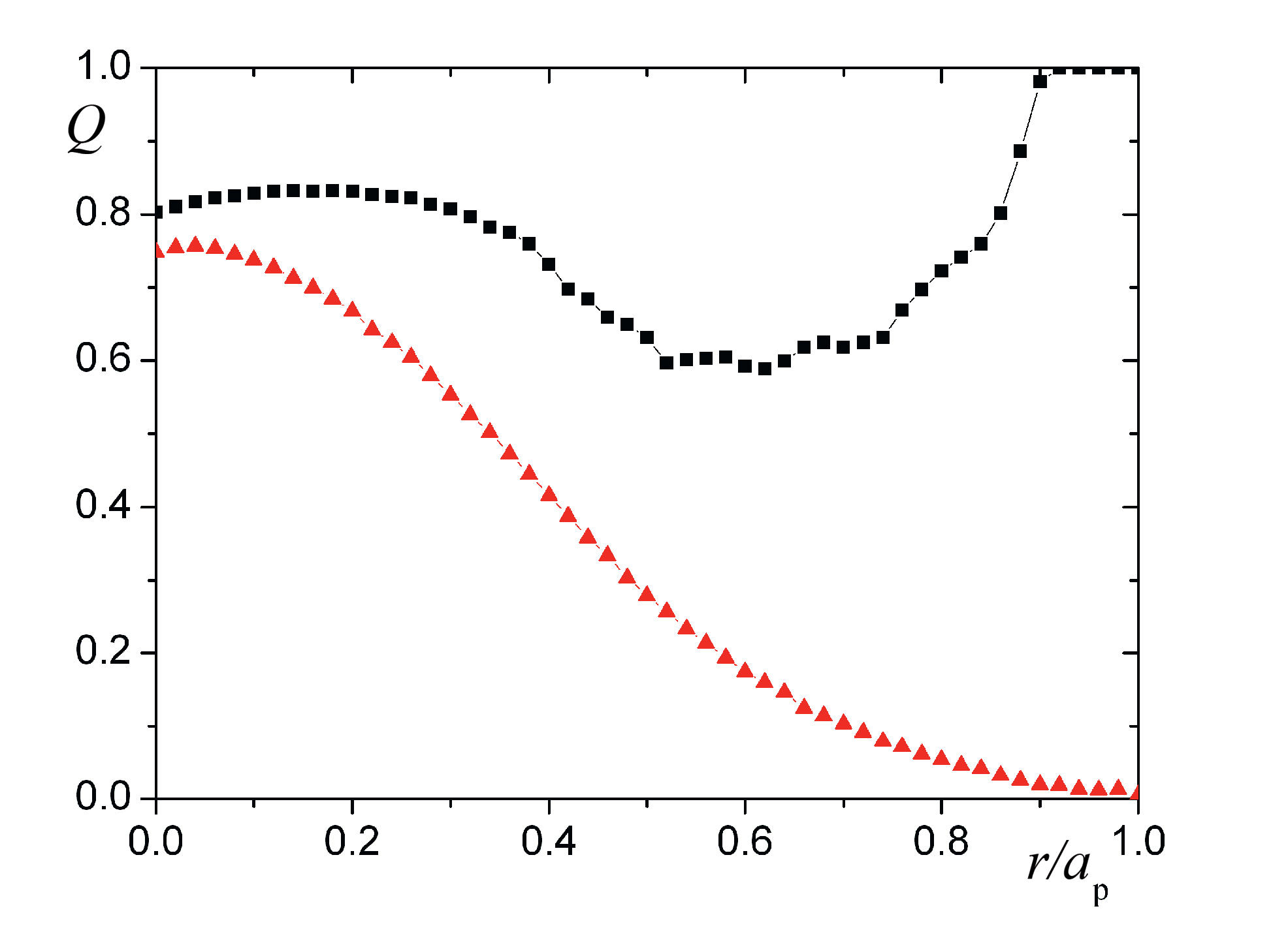
Оба этих недостатка диагностики ЭЦ-излучения существенно влияют на результаты измерения электронной температуры в режиме омического нагрева плазмы в стеллараторе Л-2М. Для иллюстрации этого утверждения на рис. 1 для типичного импульса омического нагрева представлены расчетные профили интегрального коэффициента поглощения со стороны сильного QHFS и слабого QLFS полей. Профили температуры и плотности электронов, а также другие параметры, используемые в расчетах, будут приведены ниже. Видно, что за исключением небольшого участка плазмы на периферии плазменного столба со стороны слабого поля, в остальной плазме Q < 1, и методика приведет к заметному занижению измеряемой радиационной температуры по сравнению с электронной температурой плазмы.
Рис. 1. Расчетные значения интегрального коэффициента поглощения со стороны слабого (черные ромбы) и сильного (красные треугольники) магнитного поля в режиме омического нагрева.
Что касается привязки измерений к определенному радиусу, на стеллараторе Л-2М она затруднена именно со стороны слабого поля. На рис. 2 представлены профили модуля магнитного поля и градиента магнитного поля в стеллараторе Л-2М. Видно, что для некоторого интервала радиусов со стороны слабого магнитного поля градиент магнитного поля близок к нулю, что затрудняет определение конкретного радиуса, откуда приходит ЭЦ-излучение.
Рис. 2. Модуль магнитного поля (черные квадраты) и его градиент (красные треугольники) в зависимости от большого радиуса установки. Стрелками показаны границы плазменного шнура.
При измерениях электронной температуры по спектру ЭЦ-излучения существует известная проблема абсолютной и относительной калибровок приемников излучения в каналах диагностики. Проведение абсолютной калибровки, например, по спектру шумового источника с известной температурой требует точного соответствия условий калибровки и условий измерения. Это означает необходимость помещения источника шумового излучения внутрь камеры стелларатора, что не всегда возможно непосредственно перед проведением эксперимента. Поэтому на стеллараторе Л-2М используется метод относительной калибровки каналов в режиме омического нагрева. Для проведения такой калибровки необходимо обеспечить омический режим со стабильными температурой и плотностью в течение времени проведения калибровки. В связи с тем, что магнитное поле установки меняется во время омического разряда, области резонансного магнитного поля для каждого из каналов диагностики оказываются в центральной области плазмы в различные моменты времени. Сравнивая интенсивности максимальных значений сигналов в различных каналах (соответствующие одной и той же температуре плазмы в центре), можно получить относительные калибровочные коэффициенты для каналов диагностики. После этого при построении профиля электронной температуры осуществлялась абсолютная калибровка температуры в центре плазмы по данным спектрометра мягкого рентгеновского излучения. Этот метод калибровки обладает недостатком, который заключается в том, что он не позволяет провести калибровку части каналов, расположенных со стороны сильного магнитного поля. Это связано с тем, что калибровка этих каналов требует увеличения магнитного поля до значений, превышающих возможности магнитной системы стелларатора Л-2М. Например, чтобы прокалибровать канал с частотой приема f = 81 ГГц, требуется магнитное поле, превышающее В = 1.45 Тл. Поэтому для Л-2М разработка альтернативного метода калибровки каналов диагностики ЭЦ-излучения является актуальной задачей.
В работе предложена методика восстановления профиля электронной температуры Te(r) по профилю радиационной температуры Trad(r), измеренному диагностикой ЭЦ-излучения в омическом режиме в условиях Q < 1. Было проведено численное моделирование спектров ЭЦ-излучения в условиях, соответствующих омическому нагреву плазмы в стеллараторе Л-2М. На основании результатов моделирования с использованием экспериментально полученного профиля Trad (r) был восстановлен профиль электронной температуры Te(r) в режиме омического нагрева. Кроме того, предложена методика проведения относительной калибровки частотных каналов диагностики ЭЦ-излучения, которая может быть использована в дальнейшем при проведении измерений в режиме электронного циклотронного резонансного нагрева на стеллараторе Л-2М.
2. ЭКСПЕРИМЕНТАЛЬНАЯ УСТАНОВКА
Эксперименты проводились на стеллараторе Л-2М – тороидально-симметричной магнитной ловушке, предназначенной для удержания высокотемпературной плазмы. Л-2М – это классический двухзаходный стелларатор (заходность винтовой обмотки l = 2, число периодов поля при обходе тора N = 7) с большим радиусом тора R = 1 м, радиусом плазмы a = 0.115 м и тороидальным магнитным полем B0 = 1.34 Тл [8]. Угол вращательного преобразования, создаваемый магнитной системой, меняется от ι = 0.18 на магнитной оси системы до ι = 0.78 на границе плазмы. В качестве рабочего газа в экспериментах используется водород. Установка может работать как в режиме омического нагрева плазмы, так и в режиме электронного циклотронного резонансного нагрева. Экспериментальные данные, обсуждаемые в данной статье, получены с использованием диагностики ЭЦ-излучения. Излучение из плазмы принималось с помощью приемных антенн, которые располагались в поперечном сечении тороидальной камеры как снаружи, так и изнутри, что позволяло наблюдать плазму со стороны как сильного, так и слабого поля. В качестве детектора использовался многоканальный супергетеродинный приемник миллиметрового диапазона [9, 10].
Для получения стабильных и длительных омических разрядов с контролируемой плотностью на стеллараторе Л-2М проводится боронизация стенок вакуумной камеры. Боронизация проводится в тлеющем разряде в гелии, в который дополнительно напускаются пары карборана С2В10Н12. Пары карборана диссоциируют в разряде и покрывают стенки камеры бор-углеродной пленкой толщиной порядка 80 мкм. В результате этой процедуры в омическом разряде наблюдалось уменьшение интенсивности свечения линий кислорода (в 5 раз) и углерода (в 3 раза), а общие радиационные потери уменьшались примерно в 2.5 раза [11].
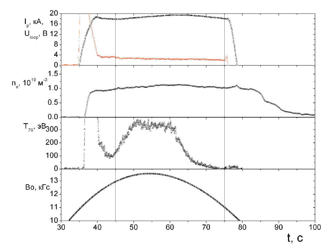
Проведение процедуры боронизации вакуумной камеры позволило получать в режиме омического нагрева импульсы с длительностью стационарной фазы разряда порядка 30−40 мс. Типичная временная эволюция параметров плазмы в разряде после проведения боронизации показана на рис. 3 (выстрел № 64118). На рисунке видно, что в течение 30–40 мс остаются постоянными (в пределах 10%) такие параметры, как электронная плотность, ток по плазме и напряжение на обходе (т. е. мощность омического нагрева), а также радиационные потери, которые, как правило, не превышают 25% от мощности нагрева. Таким образом, можно ожидать, что в этот временной интервал остается постоянной и центральная электронная температура, а возможно, также и профиль электронной температуры. Последнее утверждение ниже будет подтверждено экспериментально с использованием диагностики ЭЦ-излучения. Структура вложенных магнитных поверхностей и удержание плазмы тоже остаются неизменными. В то же время в течение стационарной фазы разряда меняется величина магнитного поля: в импульсе, показанном на рис. 3, в интервале с 45 по 75 мс магнитное поле сначала возрастает от 13 до 13.6 кГс, а затем уменьшается до 11 кГс. При изменении магнитного поля область циклотронного резонанса (область, из которой приходит ЭЦ-излучение на частоте, например, 76.5 ГГц) сначала перемещается с периферийных областей в центр плазмы, а потом обратно на периферию. В таких стабильных импульсах с длительной стационарной фазой появляется возможность измерить профиль радиационной температуры в одном импульсе по сигналу одного частотного канала.
Рис. 3. Временная эволюция параметров плазмы в типичном омическом разряде после проведения боронизации стенок вакуумной камеры. Сверху вниз: Ip – плазменный ток, Uloop – напряжение на обходе (красная кривая), ne – электронная плотность, T76 – сигнал диагностики ЭЦ-излучения на частоте 76.5 ГГц.
3. ИЗМЕРЕНИЕ РАДИАЦИОННОЙ ТЕМПЕРАТУРЫ В РЕЖИМЕ ОМИЧЕСКОГО НАГРЕВА
Для определения профиля радиационной температуры в импульсе омического нагрева выберем канал диагностики ЭЦ-излучения с частотой 76.5 ГГц. Этот канал удобен для рассмотрения, так как при изменении магнитного поля в течение импульса установки резонансная область для этой частоты перемещается, пересекая почти все магнитные поверхности стелларатора Л-2М. Используя данные рис. 3, можно сопоставить сигнал диагностики ЭЦ-излучения и сигнал магнитного поля в каждый момент времени. Воспользовавшись картой магнитных поверхностей и линий постоянного магнитного поля для стелларатора Л-2М, для каждого момента времени по величине магнитного поля можно определить положение резонансной области для частоты выбранного канала. В итоге сигнал диагностики ЭЦ-излучения оказывается привязанным к радиусу магнитной поверхности, с которой излучение поступает на приемник, и становится возможным построить радиальный профиль радиационной температуры по сигналу одного частотного канала (рис. 4). На рис. 4 полые красные кружки соответствуют первой половине импульса (45–55 мс), когда магнитное поле возрастает, а зеленые треугольники – второй половине импульса (55–75 мс), когда магнитное поле уменьшается. Видно, что красные и зеленые значки рисуют один и тот же профиль радиационной температуры, хотя они соответствуют различным моментам времени. Это происходит из-за того, что резонансное магнитное поле для данной частоты проходит через одни и те же участки плазмы два раза: один раз при росте, а второй раз при уменьшении магнитного поля. Это означает, что профиль электронной температуры остается неизменным в течение этого интервала времени. На рис. 4 также показан профиль радиационной температуры (синяя сплошная кривая), полученный при моделировании ЭЦ-излучения со стороны сильного магнитного поля. Этот профиль будет обсуждаться в разд. 4.
Рис. 4. Профиль радиационной температуры на частоте 76.5 ГГц в импульсе № 64118 в режиме омического нагрева. Полые красные кружки соответствуют первой половине импульса (45–55 мс), когда магнитное поле возрастает, а зеленые треугольники – второй половине импульса (55–75 мс), когда магнитное поле уменьшается. Сплошная синяя линия показывает профиль радиационной температуры, полученный в результате моделирования.
Подчеркнем еще раз, что диагностика ЭЦ-излучения позволяет построить профиль именно радиационной, а не реальной электронной температуры. Чтобы восстановить профиль электронной температуры, необходимо провести моделирование ЭЦ-излучения плазмы. В модели будем считать функцию распределения электронов по энергии максвелловской. Задавая профиль электронной температуры, мы будем рассчитывать профиль радиационной температуры, численно интегрируя выражение (2) вдоль прямой горизонтальной траектории, проходящей через центр плазмы в стандартном диагностическом сечении стелларатора Л-2М. При интегрировании мы будем также использовать профиль плотности плазмы ne(r) = n0 (1–(r/ap)4), близкий к измеренному в режиме омического нагрева диагностикой многохордового интерферометра на длине волны 2 мм, и центральную электронную температуру T0, независимо измеренную с помощью рентгеновского спектрометра KEVEX. Будем подбирать профиль электронной температуры таким, чтобы расчетный профиль радиационной температуры совпал с экспериментальным.
Кроме того, при моделировании были учтены некоторые особенности экспериментальной установки. На установке имеется некоторая асимметрия приема ЭЦ-излучения. Рупор со стороны сильного магнитного поля имеет диаметр 2 см. Поэтому пятно, из которого этот рупор собирает излучение, имеет диаметр 2r0 = 4 см. А рупор со стороны слабого магнитного поля имеет диаметр 8 см, и он собирает излучение с пятна диаметром 2r0 = 1 см. В эксперименте радиальное распределение интенсивности принимаемого рупорами излучения имеет вид I = I0 exp(–r2/r02). В расчетах пучок принимаемого излучения радиусом r0 разбивался на 9 частей. Центральная часть представляла собой круг радиусом r0/2, интенсивность внутри которого учитывалась с весом 1. Оставшееся кольцо, ограниченное радиусами r0 и r0/2, разбивалось на 8 секторов, интенсивность излучения внутри которых имела вес 3/8. Такое разбиение пучка обеспечивает относительную близость распределения принимаемого излучения к гауссовскому пучку, сокращая при этом время вычислений. Кроме того, разбиение принимаемого излучения на секторы позволило учесть в расчетах изменение магнитного поля по сечению принимаемого излучения. Модуль магнитного поля в сечении плазмы меняется по сечению плазмы и по сечению принимаемого излучения весьма существенно (рис. 5). На рисунке показаны радиальные зависимости модуля магнитного поля (в единицах циклотронной частоты) в различных точках сечения принимаемого пучка.
Рис. 5. Зависимости модуля магнитного поля (в единицах резонансной частоты) от большого радиуса установки для пяти точек в поперечном сечении принимаемого ЭЦ-излучения: в центре сечения и в четырех точках, сдвинутых от центра вверх, вниз, вправо и влево.
4. РЕЗУЛЬТАТЫ ЧИСЛЕННОГО МОДЕЛИРОВАНИЯ
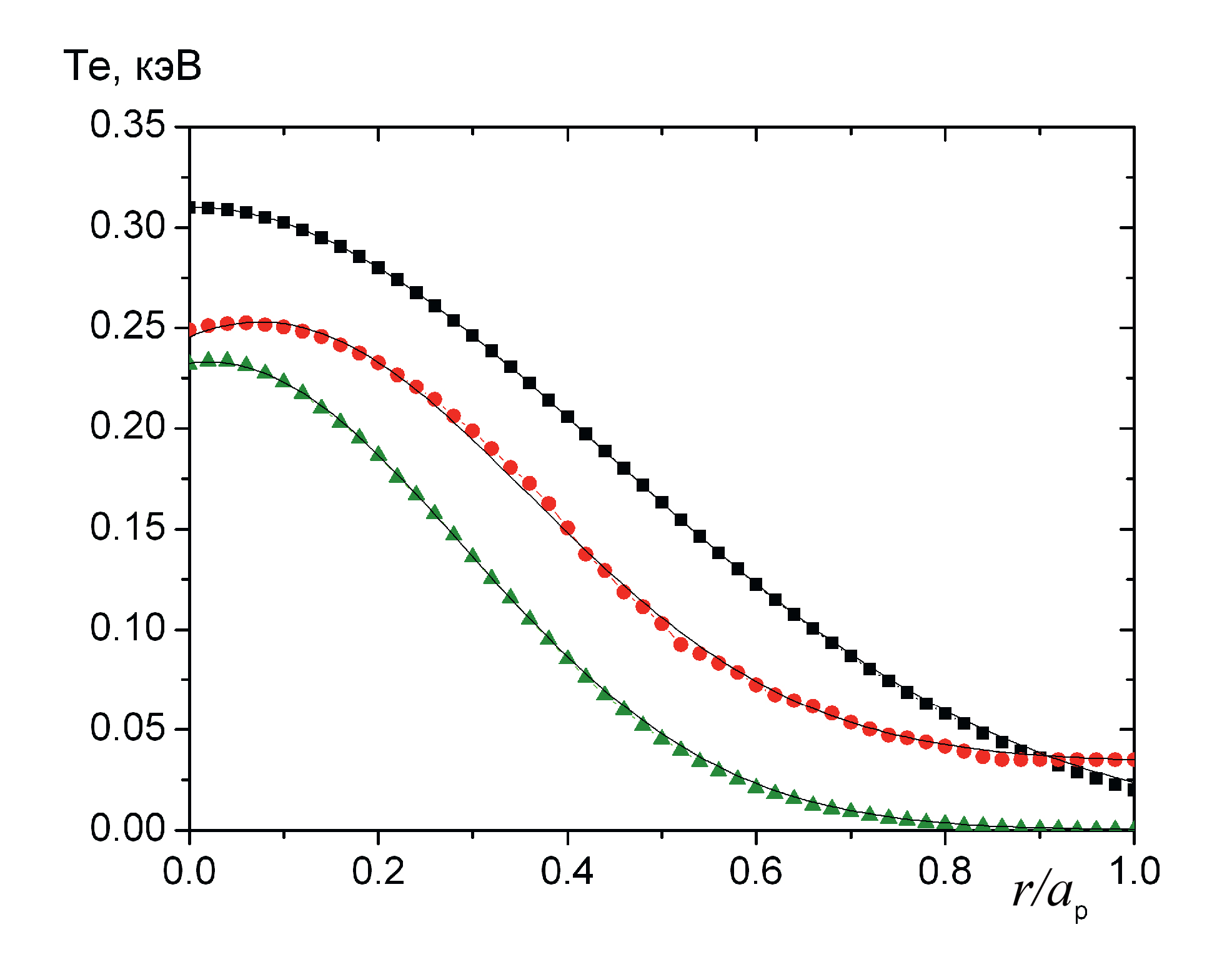
На рис. 6 приведены профиль электронной температуры, восстановленный для выстрела, показанного на рис. 3, а также расчетные профили радиационной температуры ЭЦ-излучения, принимаемого со стороны сильного и слабого магнитных полей. Профиль электронной температуры подобран таким образом, чтобы расчетный и экспериментальный профили радиационной температуры совпадали для канала 76.5 ГГц (со стороны сильного магнитного поля). Хорошее совпадение расчетного и экспериментального профилей радиационной температуры иллюстрирует рис. 4. Видно, что совпадение профилей наблюдается в широком интервале радиусов –0.5 < r/ap < –0.1. В интервале радиусов –1 < r/ap < –0.5 экспериментальные точки лежат несколько выше расчетных точек. Возможно, это связано с тем, что при моделировании считалось, что коэффициент отражения ЭЦ-излучения от стенок камеры равен нулю, а в действительности отраженное излучение может оказывать влияние на сигналы в каналах диагностики ЭЦ-излучения. Если в формуле (1) коэффициент отражения не равен нулю, то интенсивность ЭЦ-излучения будет выше.
На рис. 6. видно, что различие между профилями радиационной и электронной температур и центральными температурами этих профилей весьма заметное (около 30%). Радиационная температура дает заниженное значение по сравнению с истинной электронной температурой. Кроме того, форма профиля радиационной температуры отличается от формы профиля электронной температуры: ширина профиля радиационной температуры оказывается меньше, чем ширина истинного профиля температуры. Поэтому простая нормировка профиля радиационной температуры по центральной температуре, измеряемой спектрометром мягкого рентгеновского излучения KEVEX, не решает проблемы получения истинного профиля электронной температуры.
Рис. 6. Профиль электронной температуры, полученный в результате моделирования (черные квадраты), и расчетные профили радиационной температуры ЭЦ-излучения, принимаемого со стороны сильного (зеленые треугольники) и слабого (красные кружки) магнитных полей.
Таким образом, в условиях, когда интегральный коэффициент поглощения ЭЦ-излучения меньше единицы, применение предложенной методики восстановления профиля электронной температуры по данным диагностики ЭЦ-излучения является необходимым.
5. ОТНОСИТЕЛЬНАЯ КАЛИБРОВКА КАНАЛОВ ДИАГНОСТИКИ ЭЦ-ИЗЛУЧЕНИЯ В РЕЖИМЕ ОМИЧЕСКОГО НАГРЕВА
В предыдущем разделе мы восстановили истинный профиль электронной температуры в выстреле № 64118 по данным диагностики ЭЦ-излучения на частоте 76.5 ГГц.
Для того же импульса установки (рис. 3) для другой частоты ЭЦ-излучения, например 78 ГГц, можно провести аналогичное моделирование, задав в качестве исходного профиль электронной температуры, полученный при обработке сигнала на частоте 76.5 ГГц, и получить профиль радиационной температуры для частоты 78 ГГц (рис. 7). Сравнив экспериментальные данные по профилю радиационной температуры с расчетом, можно подобрать амплитудный коэффициент, при котором экспериментальный и расчетный профили радиационной температуры для частоты 78 ГГц совпадут. Проделав ту же процедуру для остальных частотных каналов, мы получим коэффициенты относительной калибровки каналов диагностики ЭЦ-излучения. В дальнейшем эти коэффициенты можно использовать для определения электронной температуры по сигналам ЭЦ-излучения и в режиме электронного циклотронного резонансного нагрева. Преимущество этого метода калибровки по сравнению с методом, используемым на стеллараторе Л-2М в настоящее время и описанным во Введении, состоит в том, что он позволяет откалибровать все частотные каналы диагностики ЭЦ-излучения, не прибегая к увеличению магнитного поля до значений, на которые установка не рассчитана.
Рис. 7. Профиль радиационной температуры на частоте 78 ГГц в импульсе № 64118 в режиме омического нагрева. Полые красные кружки соответствуют первой половине импульса (45–55 мс), когда магнитное поле возрастает, а зеленые треугольники – второй половине импульса (55–75 мс), когда магнитное поле уменьшается. Сплошная синяя линия показывает профиль радиационной температуры, полученный в результате моделирования.
6. ВЫВОДЫ
Предложена методика восстановления профиля электронной температуры по сигналу одного частотного канала диагностики ЭЦ-излучения в условиях, когда интегральный коэффициент поглощения ЭЦ-излучения меньше единицы. Проведено численное моделирование ЭЦ-излучения плазмы в режиме омического нагрева для стелларатора Л-2М. Моделирование показало, что профиль радиационной температуры, построенный по данным диагностики ЭЦ-излучения в режиме омического нагрева, требует значительной коррекции. Ширина профиля оказывается меньше, чем ширина истинного профиля температуры, а центральная температура плазмы занижена примерно на 30%. Применение предложенной методики восстановления профиля электронной температуры по сигналу одного частотного канала диагностики ЭЦ-излучения позволило получить профиль температуры, с хорошей точностью соответствующий реальному профилю температуры.
Предложен новый метод относительной калибровки каналов диагностики ЭЦ-излучения в режиме омического нагрева. Преимуществом этого метода является то, что он не требует использования высоких магнитных полей, недостижимых на установке Л-2М. Полученные калибровочные коэффициенты могут быть использованы при проведении измерений температуры плазмы в режиме электронного циклотронного резонансного нагрева.
Моделирование профиля радиационной температуры выполнено А. С. Сахаровым в 2011 году.
About the authors
А. И. Мещеряков
Институт общей физики им. А. М. Прохорова Российской академии наук
Author for correspondence.
Email: meshch@fpl.gpi.ru
Russian Federation, 119991, Москва, ул. Вавилова, 38
И. А. Гришина
Институт общей физики им. А. М. Прохорова Российской академии наук
Email: meshch@fpl.gpi.ru
Russian Federation, 119991, Москва, ул. Вавилова, 38
References
- Nagayama Y., Inagaki S., Sasao H., de Vries P., Ito Y., Kawahata K., Narihara K., Yamada I // Fusion Eng. Des. 2001. V. 53. P. 201. https://doi.org/10.1016/S0920-3796(00)00539-1
- Pandya H.K.B., Kumar R., Danani S., Shrishail P., Thomas S., Kumar V., Taylor G., Khodak A., Rowan W.L., Houshmandyar S., Udintsev V.S, Casal N., Walsh M.J. // J. Phys.: Conf. 2017. V. 823. P. 012033. https://doi.org/10.1088/1742-6596/823/1/012033
- Zhao H., Zhou T., Liu Y., Ti A., Ling B., Austin M.E., Houshmandyar S., Huang H., Rowan W.L., Hu L. // Rev. Sci. Instrum. 2018. V. 89. P. 10H111. https://doi.org/10.1063/1.5035452
- Jeong S.H., Lee K.D., Kogi Y., Kawahata K., Nagayama Y., Mase A., Kwon M. // Rev. Sci. Instrum. 2010. V. 81. P. 10D922. https://doi.org/10.1063/1.3491224
- Акулина Д.К., Смолякова О.Б., Суворов Е.В., Федоренко С.И., Федянин О.И. // Физика плазмы. 1988. Т. 14. С. 649.
- Bornatici M., Cano R., de Barbieri O., Engelman F. // Nucl. Fusion. 1983. V. 23. P. 1153. https://doi.org/10.1088/0029-5515/23/9/005
- Сахаров А.С., Акулина Д.К., Гладков Г.А., Терещенко М.А. // Физика плазмы. 2006. Т. 32. С. 794.
- Abrakov V.V., Akulina D.K., Andryukhina E.D., Batanov G.M., Berezhetskij M.S., Danilkin I.S., Don- skaya N.P., Fedyanin O.I., Gladkov G.A., Grebenshchikov S.E., Harris J.H., Kharchev N.K., Kholnov Yu.V., Kolik L.V., Kovrizhnykh L.M., Larionova N.F., Letunov A.A., Likin K.M., Lyon J.F., Meshcheryakov A.I., Nechaev Yu.I., Petrov A.E., Sarksyan K.A., Sbitnikova I.S. // Nucl. Fusion. 1997. V. 37. P. 233. https://doi.org/10.1088/0029-5515/37/2/I08
- Гладков Г.А. Дисс. … канд. физ.-мат. наук. М.: Институт общей физики им. А. М. Прохорова РАН, 2006.
- Акулина Д.К., Гладков Г.А., Гребенщиков С.Е., Федянин О.И., Щепетов С.В. // Физика плазмы. 2006. Т. 32. С. 502.
- Мещеряков А.И., Акулина Д.К., Батанов Г.М., Бережецкий М.С., Воронов Г.С., Гладков Г.А., Гребенщиков С.Е., Гринчук В.А., Гришина И.А., Колик Л.В., Ларионова Н.Ф., Летунов А.А., Логвиненко В.П., Петров А.Е., Пшеничников А.А., Рябенко Г.А., Сарксян К.А., Скворцова Н.Н., Федянин О.И., Харчев Н.К., Хольнов Ю.В., Шарапов В.М. // Физика плазмы. 2005. Т. 31. С. 496.
Supplementary files









