Сцинтилляционные детекторы комптоновских поляриметров для измерения поляризационных состояний аннигиляционных фотонов
- Авторы: Баранов А.Г.1,2, Ивашкин А.П.1, Мусин С.А.1,3, Салахутдинов Г.Х.2, Стрижак А.О.1,3
-
Учреждения:
- Институт ядерных исследований Российской академии наук
- Национальный исследовательский ядерный университет “МИФИ”
- Московский физико-технический институт (Национальный исследовательский университет)
- Выпуск: № 2 (2024)
- Страницы: 39–45
- Раздел: ТЕХНИКА ЯДЕРНОГО ЭКСПЕРИМЕНТА
- URL: https://journal-vniispk.ru/0032-8162/article/view/266084
- DOI: https://doi.org/10.31857/S0032816224020055
- EDN: https://elibrary.ru/QTYFIZ
- ID: 266084
Цитировать
Полный текст
Аннотация
Рассматриваются конструкция и параметры сцинтилляционных детекторов комптоновских поляриметров для измерения фотонов, образующихся при аннигиляции электрон-позитронных пар в покое. Обсуждаемая установка позволяет измерять и сравнивать поляризационные корреляции рассеянных аннигиляционных фотонов в двух (запутанном и декогерентном) квантовых состояниях. Приводятся амплитудные параметры рассеивателей и детекторов рассеянных фотонов, полученные из предварительных тестов данных детекторов с помощью радиоактивных гамма-источников, а также в процессе набора экспериментальных данных. Показана возможность измерять и сравнивать поляризационные корреляции рассеянных аннигиляционных фотонов.
Полный текст
1. Введение
В данной работе приведена конструкция экспериментальной установки и параметры сцинтилляционных детекторов комптоновских поляриметров для измерения фотонов, образующихся при аннигиляции электрон-позитронных пар в покое. Эти фотоны изначально находятся в запутанном квантовом состоянии, а в процессе предварительного рассеяния в сцинтилляторе GAGG (гадолиний−алюминий−галлиевый гранат Gd₃Al₂Ga₃O₁₂) переходят в декогерентное (потерявшее квантовую запутанность) состояние. Сцинтилляционные детекторы комптоновских поляриметров предназначены для измерения поляризационных корреляций пар аннигиляционных фотонов в различных (запутанных и декогерентных) квантовых состояниях.
Изначально пары запутанных фотонов с энергией 511 кэВ образуются при позитрон-электронной аннигиляции в состоянии покоя. Согласно квантовой теории, аннигиляционные фотоны имеют взаимно ортогональную поляризацию, в то время как состояние поляризации каждого отдельного фотона в паре неопределенно. Данные фотоны являются первой системой, в которой квантовая запутанность была изучена экспериментально путем измерения угловых распределений комптоновского рассеянного гамма-излучения [1]. Хорошее согласие экспериментальных зависимостей с теоретическими ожиданиями [2, 3] послужило обоснованием существования запутанности двух фотонов. Тем не менее ситуация с экспериментальной проверкой квантовой запутанности аннигиляционных фотонов стала довольно неясной после появления недавней теоретической работы [4], в которой утверждается, что комптоновское рассеяние запутанных и декогерентных фотонов идентично, а предыдущие экспериментальные исследования были неполными. Для разрешения данной проблемы было выполнено прямое экспериментальное сравнение кинематики рассеяния фотонов в запутанном и декогерентном состояниях [5, 6]. С этой целью была разработана и создана экспериментальная двухплечевая установка, состоящая из системы комптоновских поляриметров, измеряющих поляризационные состояния и угловые корреляции пар рассеянных аннигиляционных фотонов.
2. Экспериментальная установка
Измерения различных поляризационных состояний аннигиляционных фотонов были выполнены на экспериментальной установке, представленной на рис. 1.
Рис. 1. Схема двухплечевой экспериментальной установки, состоящей из комптоновских поляриметров (а), и фото установки (б).
Установка имеет два идентичных плеча из систем комптоновских поляриметров, размещенных с противоположных сторон от источника аннигиляционных фотонов. Источником фотонов является алюминиевая пластина, предварительно облученная на пучке протонов [7]. Полученный в результате облучения радиоизотоп 22Na является эмиттером позитронов, которые практически мгновенно термализируются и аннигилируют с электронами в пластине алюминия. Данная пластина помещена в центре свинцового коллиматора с горизонтальным отверстием диаметром 5 мм, расположенным вдоль оси установки. Таким образом, аннигиляционные фотоны вылетают в противоположных направлениях вдоль оси установки.
В обоих плечах на горизонтальной оси установки имеется по одному основному комптоновскому рассеивателю из пластмассового сцинтиллятора на основе полистирола.
По окружности под прямым углом к оси установки размещаются NaI(Tl)-детекторы рассеянных фотонов, по 16 штук в каждом плече. Эти детекторы состоят из сцинтиллятора диаметром 50 мм и высотой также 50 мм, помещенного в алюминиевый стакан, с толщиной входного окна 1 мм (рис. 2а). Съем светового сигнала осуществляется вакуумным фотоэлектронным умножителем Hamamatsu R7525 с диаметром фотокатода, равным диаметру NaI(Tl)-сцинтиллятора.
Рис. 2. Фото компонентов детектора рассеянных фотонов (а) и фото промежуточного рассеивателя из GAGG-сцинтиллятора и матрицы кремниевых фотоумножителей (б).
Согласно свойствам процесса комптоновского рассеяния, фотоны рассеиваются преимущественно перпендикулярно их поляризации. Таким образом, взаимная перпендикулярность поляризаций запутанных аннигиляционных фотонов должна отразиться на зависимости числа двойных отсчетов в NaI(Tl)-счетчиках противоположных плеч установки. Согласно квантовой теории, зависимость числа двойных отсчетов от азимутального угла между сработавшими NaI(Tl)-счетчиками противоположных плеч должна иметь синусоидальное поведение. При этом количество отсчетов в перпендикулярно расположенных NaI(Tl)- детекторах должно более, чем в два раза превышать число двойных отсчетов в параллельно ориентированных детекторах.
Для получения декогерентных пар аннигиляционных фотонов рядом с основным пластмассовым рассеивателем в одном плече установлен промежуточный рассеиватель из сцинтиллятора GAGG со считывающей световые сигналы матрицей из кремниевых фотоумножителей. Взаимодействие в GAGG-сцинтилляторе означает, что первоначально запутанная пара фотонов претерпела процесс декогеренции, а декогерентные фотоны получили фиксированные состояния поляризации. Фото промежуточного рассеивателя представлено на рис. 2б.
Использование только активных рассеивателей в установке позволяет измерить энергию, выделяемую электронами отдачи и, таким образом, восстановить кинематику комптоновского рассеяния, главным образом, угол рассеяния, который прямо связан с потерянной энергией фотона. Это позволяет подавить фоновые процессы, такие как двойное рассеяние в одном сцинтилляторе. Отметим, что двойное комптоновское рассеяние в одном сцинтилляторе ведет к неконтролируемой декогеренции квантового состояния изначально запутанных фотонов и потере информации о кинематике рассеяния.
Запись сигналов со всех сцинтилляционных детекторов осуществляется быстрым 64-канальным амплитудно-цифровым преобразователем (АЦП) с частотой записи 62.5 МГц [8], что соответствует временному интервалу 16 нс между соседними точками записи. Триггером записи события является совпадение сигналов в двух основных рассеивателях. Такой триггер позволяет записывать события безотносительно условия срабатывания NaI(Tl)-детекторов рассеянных фотонов, что дает возможность использовать несколько классов физических событий с фиксированными углами комптоновского рассеяния фотонов для последующей амплитудной и временной калибровки детекторов установки.
3. Основные рассеиватели из пластмассового сцинтиллятора
Основные рассеиватели комптоновских поляриметров представляют собой цилиндры из пластмассовых сцинтилляторов диаметром 20 мм и длиной 30 мм. Данные размеры выбраны как компромисс между максимальной эффективностью взаимодействия фотонов с энергией 511 кэВ и минимальной вероятностью двойного комптоновского рассеяния в этом детекторе. Съем светового сигнала со сцинтиллятора осуществляется вакуумным фотоэлектронным умножителем Hamamatsu R2575, имеющим активную область фотокатода диаметром 25 мм и коэффициент усиления 5×105. Основной задачей рассеивателей является регистрация энергии электронов отдачи. Поскольку в эксперименте записываются события со всеми углами рассеяния, энергетический спектр в основных рассеивателях имеет типичную форму комптоновского спектра с обрезанием по энергии ниже 500 кэВ (рис. 3). В то же время требование регистрации рассеянного фотона NaI(Tl)-детектором ведет к отбору событий с углом рассеяния около 90° и энерговыделением в пластмассовом рассеивателе около 250 кэВ, что соответствует половине энергии начального аннигиляционного фотона. Отбор событий с фиксированным углом рассеяния 90° позволяет выполнить амплитудную калибровку рассеивателей в процессе набора экспериментальных данных. Полученный спектр энергий имеет значительную ширину (красная линия на рис. 3), связанную с энергетическим разрешением рассеивателей. Кроме того, дополнительный разброс по энергиям обусловлен диапазоном энерговыделений электронов отдачи, поскольку геометрические размеры NaI(Tl)- счетчика позволяют регистрировать фотоны в диапазоне углов рассеяния 80°−100°.
Рис. 3. Энергетический спектр электронов отдачи в основном рассеивателе при комптоновском рассеянии аннигиляционных фотонов. Черная линия – события со всеми возможными углами рассеяния. Красная линия – события с зарегистрированными рассеянными фотонами в NaI(Tl)-детекторах.
4. Амплитудные параметры NaI(Tl)-детекторов рассеянных фотонов
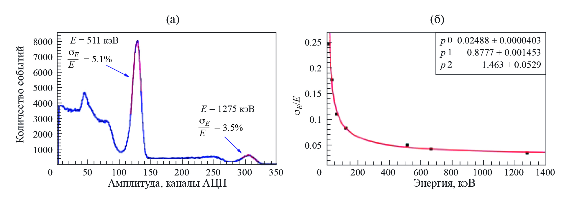
Основной задачей NaI(Tl)-детекторов является регистрация энерговыделения от рассеянных на угол около 90° аннигиляционных фотонов. При прямом угле рассеяния энергия рассеянного фотона равна половине энергии 511 кэВ первичного аннигиляционного фотона. Таким образом, в энергетическом спектре NaI(Tl)-детекторов в идеальном случае нужно наблюдать монолинию 255.5 кэВ. В реальном случае разброс углов рассеяния в диапазоне 80°−100° должен привести к уширению спектра даже для детекторов с идеальным энергетическим разрешением.
Чтобы минимизировать влияние энергетического разрешения на физические спектры, производитель NaI(Tl)-детекторов гарантировал максимальное разрешение 3% для стандартной линии 662 кэВ гамма-источника 137Cs, что должно соответствовать разрешению 3.5% для аннигиляционных фотонов с энергией 511 кэВ. Амплитудный спектр, набранный на источнике 22Na и показанный на рис.4а, подтверждает требуемое энергетическое разрешение. Надпись на рисунке показывает энергетическое разрешение детектора на линии 511 кэВ. Этот же спектр использовался для первоначальной амплитудной калибровки детекторов рассеянных фотонов и выравнивания коэффициентов усиления ФЭУ всех 32 NaI(Tl)-детекторов.
Рис. 4. Амплитудный спектр в NaI(Tl)-детекторе при его облучении гамма-источником 22Na (а) и энергетический спектр рассеянных и зарегистрированных NaI(Tl)-детектором аннигиляционных фотонов (б). Экспериментальный спектр показан синим цветом, расчетный – красным.
В процессе набора экспериментальных данных детекторы NaI(Tl) постоянно перекалибровывались на рассеянных фотонах, имеющих среднюю энергию 255 кэВ. Экспериментальный энергетический спектр зарегистрированных в NaI(Tl)-детекторах рассеянных фотонов показан синим цветом на рис. 4б. Там же красным цветом представлен расчетный спектр, полученный в программе моделирования Geant4 [9] для случая идеального энергетического разрешения NaI(Tl)-детекторов. В последнем случае ширина пика в расчетном спекте отражает эффект разброса углов рассеяния фотонов вокруг 90°. Надписи на рис. 4б указывают на соответствующие ширины пика рассеянных фотонов. Как видно ширина расчетного пика немного меньше, чем у экспериментального пика, что указывает на определенный вклад энергетического разрешения NaI(Tl)-детекторов.
5. Параметры промежуточного рассеивателя из GAGG-сцинтиллятора
Промежуточный рассеиватель расположен перед одним из основных рассеивателей и является ключевым элементом экспериментальной установки, поскольку именно он разделяет события по разным типам квантовых состояний. Регистрация сигнала в промежуточном рассеивателе означает, что начальный аннигиляционный фотон переходит из запутанного в декогерентное состояние. Отсутствие же сигнала в этом детекторе указывает на сохранение запутанного состояния двух фотонов. Именно поэтому надежная идентификация сигнала в промежуточном рассеивателе является принципиальной в данном эксперименте.
Основными требованиями к промежуточному рассеивателю являются: а) минимальный порог регистрации сигнала, поскольку неэффективность в регистрации низкого энерговыделения приводит к ложной идентификации квантового состояния и б) минимальный пассивный материал на пути фотонов, так как взаимодействие в этом материале также ведет к неправильной идентификации квантового состояния. Этим двум требованиям удовлетворяют негигроскопичные сцинтилляторы с высоким удельным световым выходом, в частности, гадолиний-алюминий-галлиевый гранат, активированный ионами церия – GAGG-сцинтиллятор [10], который и был использован в данной установке. Поперечные размеры сцинтиллятора 15 × 15 мм2 и толщина 7 мм обеспечивают требуемую вероятность взаимодействия фотонов с энергией 511 кэВ и соответствуют размерам фотодетектора, состоящего из матрицы кремниевых фотоумножителей (SiPM) Hamamatsu MPPC S14161-3050HS-04. Толщина матрицы около 1мм обеспечивает минимальное паразитное рассеяние фотонов в пассивном материале. Высокие коэффициент усиления этой матрицы 2.5×106 и квантовая эффективность около 50% обеспечивают низкий уровень электронных шумов и амплитудный порог регистрации сигналов на уровне нескольких фотоэлектронов.
Измеренное энергетическое разрешение GAGG-рассеивателя для нескольких источников гамма-квантов представлены на рис. 5 и 6. Полученные в ходе тестов значения энергетических разрешений были аппроксимированы функцией
где E [кэВ] – энергия, p0, p1, p2 − коэффициенты аппроксимации.
Рис. 5. Амплитудные спектры в промежуточном GAGG-рассеивателе, полученные при облучении детектора различными гамма-источниками: а – спектры для источников 241Am (синяя линия) и 57Co (черная линия), б – спектр для источника 137Cs.
Рис. 6. Амплитудный спектр в GAGG-детекторе для гамма-источника 22Na (а) и зависимость энергетического разрешения GAGG-детектора от энергии, выделенной в сцинтилляторе (б).
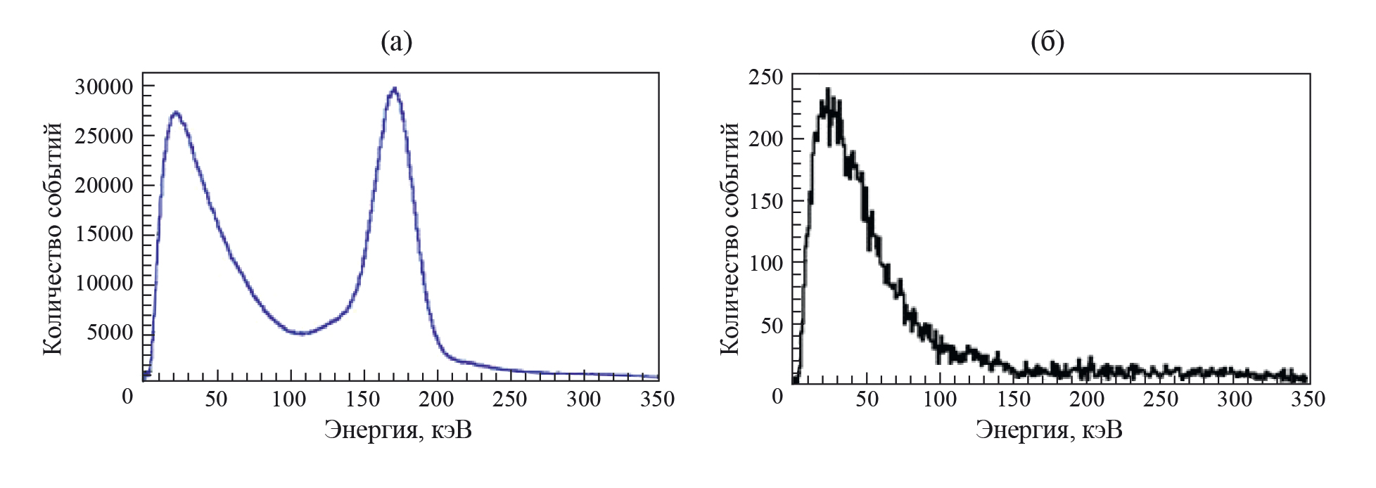
Благодаря высокому световому выходу, низкому уровню электронных шумов и высокой квантовой эффективности фотодетектора GAGG, рассеиватель позволяет регистрировать низкую энергию отдачи электронов с порогом около 1–2 кэВ. Это подтверждается измеренным энергетическим спектром сигналов в промежуточном рассеивателе, представленном на рис. 7 для двух типов записанных событий с регистрацией и без регистрации рассеянных фотонов в NaI(Tl)-счетчиках. В последнем случае (рис. 7а) удается зарегистрировать фотоны с углом рассеяния около 180○ в основном рассеивателе и поглощенные в GAGG-сцинтилляторе. Эти события формируют пик в районе 170 кэВ в энергетическом спектре, который используется для постоянной энергетической перекалибровки в процессе набора экспериментальных данных. Отметим, что, согласно расчетам Монте-Карло, энергетический спектр должен быть почти плоский в диапазоне энергий от 0 до 20 кэВ. Провал в спектре с энергиями ниже 20 кэВ (рис. 7б) обусловлен более низкой эффективностью идентификации низкоамплитудных сигналов из-за работы алгоритма подавления электронных шумов. Эффективность регистрации низких энергий может быть улучшена с использованием комбинированного метода низкочастотной фильтрации электронных шумов и идентификации полезных сигналов по форме импульса, который в настоящее время находится в разработке.
Рис. 7. Энергетический спектр в промежуточном GAGG-рассеивателе без требования регистрации рассеянного фотона в NaI(Tl) (а) и при условии регистрации рассеянного фотона NaI(Tl)-счетчиком (б).
5. Заключение
В данной работе проведены исследования сцинтилляционных детекторов различных типов, используемые в комптоновских поляриметрах установки по измерению поляризационных корреляций аннигиляционных фотонов. Показано, что применение органических и неорганических сцинтилляторов позволило создать относительно простую установку по регистрации комптоновского рассеяния обсуждаемых фотонов. Благодаря низкому эффективному заряду пластмассового сцинтиллятора обеспечена оптимальная эффективность комптоновского рассеяния при минимальной вероятности фонового двукратного рассеяния в основном рассеивателе.
Благодаря высоким световому выходу GAGG-сцинтиллятора и квантовой эффективности фотодетектора, в промежуточном рассеивателе получен низкий порог регистрации электронов отдачи на уровне 1–2 кэВ. А использование матрицы кремниевых фотоумножителей для съема сигнала в промежуточном рассеивателе позволило минимизировать влияние пассивного материала на пути прохождения фотонов.
Применение традиционных сцинтилляционных детекторов на основе кристаллов NaI(Tl) и вакуумных фотоэлектронных умножителей является оптимальным вариантом для создания нескольких десятков счетчиков рассеянных фотонов с большим телесным углом и высоким энергетическим разрешением. Спектрометрические параметры NaI(Tl)-детекторов позволили минимизировать аппаратурный вклад в энергетический спектр рассеянных фотонов. Использование в физическом анализе амплитудных параметров всех детекторов экспериментальной установки дало возможность восстановить возможные кинематики комптоновского рассеяния, минимизировать влияние фоновых процессов и получить новые физические результаты по исследование поляризационных корреляций запутанных и декогерентных пар аннигиляционных фотонов, представленные в работе [6].
Об авторах
А. Г. Баранов
Институт ядерных исследований Российской академии наук; Национальный исследовательский ядерный университет “МИФИ”
Автор, ответственный за переписку.
Email: baranov@inr.ru
Россия, 108840, Москва, Троицк, ул. Физическая, 27; 115409, Москва, Каширское шоссе, 31
А. П. Ивашкин
Институт ядерных исследований Российской академии наук
Email: baranov@inr.ru
Россия, 108840, Москва, Троицк, ул. Физическая, 27
С. А. Мусин
Институт ядерных исследований Российской академии наук; Московский физико-технический институт (Национальный исследовательский университет)
Email: baranov@inr.ru
Россия, 108840, Москва, Троицк, ул. Физическая, 27; 141701, Долгопрудный, Московская обл., Институтский пер., 9
Г. Х. Салахутдинов
Национальный исследовательский ядерный университет “МИФИ”
Email: baranov@inr.ru
Россия, 115409, Москва, Каширское шоссе, 31
А. О. Стрижак
Институт ядерных исследований Российской академии наук; Московский физико-технический институт (Национальный исследовательский университет)
Email: baranov@inr.ru
Россия, 108840, Москва, Троицк, ул. Физическая, 27; 141701, Долгопрудный, Московская обл., Институтский пер., 9
Список литературы
- Bohm D., Aharonov Y. // Phys. Rev. 1957. V. 108. P. 1070. https://doi.org/10.1103/PhysRev.108.1070
- Langhoff H. // Z. Physik. 1960. V. 160. P. 186. https://doi.org/10.1007/bf01336980
- Kasday L.R., Ullman J., Wu C.S. // Nuovo Cim. 1975. V. 25. P. 633. https://doi.org/10.1007/bf02724742
- Hiesmayr B., Moskal P. // Sci. Rep. 2019. V. 9. P. 8166. https://doi.org/10.1038/s41598-019-44570-z
- Abdurashitov D., Baranov A., Borisenko D., Guber F., Ivashkin A., Morozov S., Musin S., Strizhak A., Tkachev I., Volkov V., Zhuikov B. // JINST. 2022. V. 17. P. 03010. https://doi.org/10.1088/1748-0221/17/03/P03010
- Ivashkin A., Abdurashitov D., Baranov A., Guber F., Morozov S., Musin S., Strizhak A., Tkachev I. // Sci. Rep. 2023. V. 13. P. 7559. https://doi.org/10.1038/s41598-023-34767-8
- Zhuikov B.L., Kokhanyuk V.M., Konyakhin N.A., Vincent J. // Nucl. Instrum. and Methods. 1999. V. 438. P. 173. https://doi.org/10.1016/S0168-9002(99)00672-5
- AFI electronics webpage, https://afi.jinr.ru.
- Agostinelli S., Allison J., Amako K., Apostolakis J., Araujo H., Arce P., Asai M., Axen D., Banerjee S., Barrand G., Behner F., Bellagamba L., Boudreau J., Broglia L., Brunengo A. // Nucl. Instrum. and Methods. 2003. V. 506. P. 250. https://doi.org/10.1016/S0168-9002(03)01368-8
- Yu H., Xiangyu M., Shumin Y., Jun Z., Xiangjun Z., Renzhong T. // Nucl. Instrum. and Methods. 2022. V. 1032. P. 166653. https://doi.org/10.1016/j.nima.2022.166653
Дополнительные файлы










