Установка по регистрации деформационно-стимулированной люминесценции кристаллов
- Authors: Шункеев К.Ш.1, Сергеев Д.М.1, Сагимбаева Ш.Ж.1, Убаев Ж.К.1, Герман А.Е.2, Лицкевич А.Ю.2
-
Affiliations:
- Актюбинский региональный университет им. К. Жубанова
- Гродненский государственный университет им. Янки Купалы
- Issue: No 3 (2024)
- Pages: 74-81
- Section: ОБЩАЯ ЭКСПЕРИМЕНТАЛЬНАЯ ТЕХНИКА
- URL: https://journal-vniispk.ru/0032-8162/article/view/277672
- DOI: https://doi.org/10.31857/S0032816224030094
- EDN: https://elibrary.ru/OVGLGV
- ID: 277672
Cite item
Full Text
Abstract
Создана экспериментальная установка для регистрации интегральной рентгенолюминесценции и спектров рентгенолюминесценции, временной зависимости интегральной туннельной люминесценции и спектров туннельной люминесценции, интегральной термостимулированной люминесценции и спектров термостимулированной люминесценции, а также спектров вспышки и оптической стимуляции вспышки облученных рентгеновскими лучами кристаллов, предварительно одноосно деформированных по кристаллографическим направлениям <100> или <110> при низкой температуре (85 К).
Full Text
1. ВВЕДЕНИЕ
Многочисленные экспериментальные исследования показали, что во всех 20 щелочно-галоидных кристаллах [1, 2] люминесценция автолокализованного экситона, а также люминесценции, связанные с примесями или собственными дефектами решетки, проявляются в спектральном диапазоне от 1.5 до 6.0 эВ, который представляет наибольший интерес в связи со спектральной чувствительностью люминесцентной установки.
В последние годы активно ведутся исследования релаксационных процессов в щелочно-галоидных кристаллах с применением различных видов деформации [3–6], понижающей симметрию решетки, для разработки материалов с заданными физическими характеристиками и поиск оптических материалов, сохраняющих широкую спектральную область прозрачности даже под воздействием ионизирующей радиации. В щелочно-галоидных кристаллах под действием сверхвысоких давлений обнаружены и исследованы совершенно новые структуры, отличающиеся от классических структур [4]. На основе теории функционала плотности (DFT) и связанных кластеров (CCSD) разрабатываются структуры нанотрубок с гексагональными и восьмиугольными поперечными сечениями, чья стабильность превышает стабильность крупных кристаллов LiF [5] и NaCl [6] типичной кубической формы.
Известно [1, 2, 7], что в щелочно-галоидных кристаллах интенсивность люминесценции автолокализованного экситона максимальна при температуре жидкого гелия (4.2 К). Однако с ростом температуры кристалла происходит эффект температурного тушения, поэтому люминесценции автолокализованных экситонов желательно исследовать при низких температурах. В связи с этим внешнее воздействие (облучение, деформация), понижающее симметрию решетки кристаллической матрицы в щелочно-галоидных кристаллах, также должно осуществляться преимущественно при низких температурах (по крайней мере при Т = 80 К) или необходимо выбирать такие кристаллы (например KI), у которых люминесценция автолокализованного экситона при Т = 80 К не испытывает температурного тушения.
С этой целью разработан специальный криостат, который позволяет задать нужную степень относительной деформации и зафиксировать ее по выбранному кристаллографическому направлению <100> или <110> в широком интервале температур (85–400 К) в условиях высокого технического вакуума.
В экспериментальном плане сама кубическая структура щелочно-галоидных кристаллов создает уникальную возможность для осуществления приложения одноосной деформации строго по кристаллографическим направлениям <110> или <100>, соответствующим ориентации автолокализованного экситона в кристаллах с решеткой типа NaCl и CsI соответственно. Таким образом, экспериментальная установка должна регистрировать высокочувствительными современными детекторами на основе цифровой технологии максимальное количество люминесцентных характеристик кристаллов при воздействии низкотемпературной одноосной упругой и пластической деформации.
2. СПЕКТРАЛЬНЫЙ КОМПЛЕКС ДЛЯ РЕГИСТРАЦИИ ЛЮМИНЕСЦЕНТНЫХ ХАРАКТЕРИСТИК КРИСТАЛЛОВ
Создана универсальная экспериментальная установка на основе цифровой технологии сканирования для последовательного исследования восьми люминесцентных характеристик щелочно-галоидных кристаллов в широком интервале спектра (1.5–6.0 эВ) и температур (85–400 К) при непосредственном воздействии одноосной деформации по кристаллографическим направлениям <100> или <110>, а именно:
- интегральной рентгенолюминесценции (ИРЛ) — IИРЛ = f(X),
- спектров рентгенолюминесценции (РЛ) — IРЛ = f(hν),
- временной зависимости интегральной туннельной люминесценции (ИТЛ) — IИТЛ = f(τ),
- спектров туннельной люминесценции (ТЛ) — IТЛ = f(hν),
- интегральной термостимулированной люминесценции (ИТСЛ) — IИТСЛ = f(T),
- спектров термостимулированной люминесценции (ТСЛ) — IТСЛ = f(hν),
- спектров вспышки — IВ = f(hν),
- спектров оптической стимуляции вспышки IF = f(hν), предварительно облученных рентгеновскими лучами.
Интегральные интенсивности люминесценции кристаллов могут зависеть от температуры (IИТСЛ = f(T)), времени (IИТЛ = f(τ)) и дозы облучения (IИРЛ = f(X)), а спектральные интенсивности люминесценции зависят только от энергии (hν) излучения кристалла — IРЛ = f(hν), IТЛ = f(hν) и IТСЛ = f(hν).
Блок-схема установки представлена на рис. 1, ее условно можно разделить на два канала: спектральный и интегральный. Спектральный канал обеспечивает сканирование: IРЛ = f(hν), IТЛ = f(hν), IТСЛ = f(hν), IВ = f(hν), IF = f(hν), а интегральный канал отвечает за параметры IИРЛ = f(X), IИТЛ = f(t), IИТСЛ = f(T).
Рис. 1. Блок-схема люминесцентного комплекса. Зона экспериментатора отделена свинцовой защитой толщиной 10 мм, Л — линза кварцевая, ФЭУ — фотоэлектронный умножитель Н 8259-01 “Hamamatsu”, МСД-2 — монохроматор, ВИТ-2 — вакуумметр, РУП-120 — пульт управления рентгеновского аппарата, W — рентгеновская трубка с вольфрамовым антикатодом, LiF — литий-фторовое окно, Ве — бериллиевое окно, МДР-23 — монохроматор, Ф — фильтр, S — лампа накаливания.
Спектральный канал установки позволяет сканировать спектры излучения кристаллов в зависимости от функционального назначения: IРЛ = f(hν), IТЛ = f(hν), IТСЛ = f(hν), IВ = f(hν), а IF = f(hν) — с помощью светосильного монохроматора МСД-2 и фотоэлектронного умножителя (ФЭУ) марки Н 8259-01 фирмы “Нamamatsu”, работающего в режиме счета фотонов, управляемых компьютерной программой SpectraScan [8, 9] в интервале 200–850 нм (6.0–1.5 эВ) с оптимальными скоростями 50 нм/с, 25 нм/с, 10 нм/с и 5 нм/с в одном направлении (200→850 нм) с целью предотвращения сдвига максимума полосы излучения.
Сканирования интегрального излучения кристаллов в зависимости от функционального назначения: IИРЛ = f(X), IИТЛ = f(τ) и IИТСЛ = f(T), осуществлялись с помощью аналогичного высокочувствительного ФЭУ Н 8259-01 фирмы “Нamamatsu”, управляемого компьютерной программой ThermoScan [8, 9].
Контроллеры монохроматора МСД-2 и медь-константантовой термопары построены на базе высокопроизводительных 32-битных микропроцессоров семейства stm32 с ядром Cortex-M архитектуры ARM производства STMicroelectronics (Швейцария).
Люминесцентные характеристики кристаллов сканировались по принципу от интегрального к спектральному (по парам) в последовательности согласно вышеуказанной нумерации: 1 — IИРЛ = f(X) и 2 — IРЛ = f(hν), 3 — IИТЛ = f(τ) и 4 — IТЛ = f(hν), 5 — IИТСЛ = f(T) и 6 — IТСЛ = f(hν), 7 — IВ = f(hν) и 8 — IF = f(hν).
В качестве методического приема для экспериментатора очень важно увидеть в интегральном канале световой сигнал (ФЭУ-1), после этого следует сканирование его спектрального состава (ФЭУ-2). Поэтому для начала эксперимента тестовым индикатором излучения имеющегося кристалла является интегральный сигнал рентгенолюминесценции — IИРЛ = f(X), который пропорционально возрастает с ростом значений напряжения (кВ) и тока (мА), подаваемых на рентгеновскую трубку при включении рентгеновской установки РУП-120 (тракт W→ Кристалл→ФЭУ-1 на рис. 1; рис. 2а).
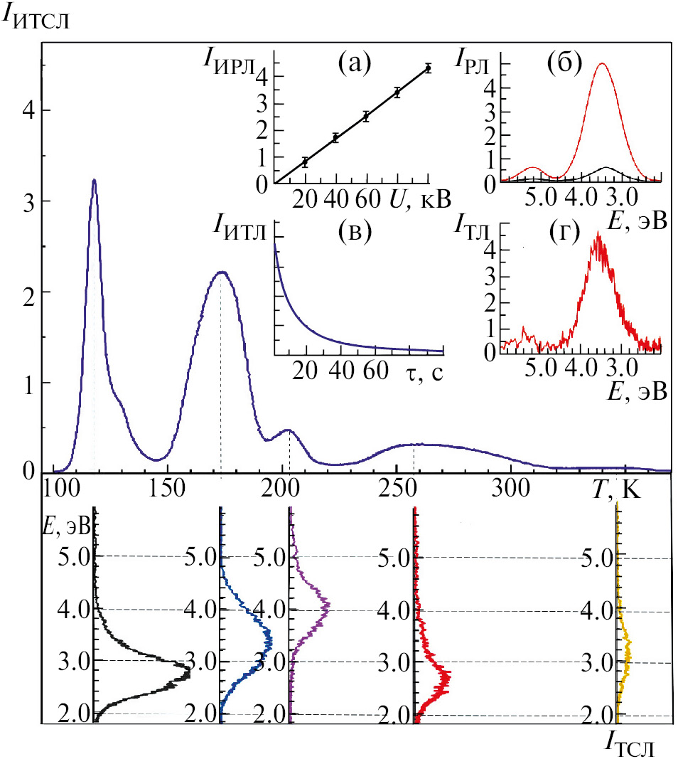
Рис. 2. Люминесцентные характеристики кристалла NaCl: а — интегральная рентгенолюминесценция, б — спектры рентгенолюминесценция (1 — до деформации, 2 — при деформации с ε = 1.2%), в — временная зависимость интегральной туннельной люминесценции, г — спектры туннельной люминесценции. Верхняя панель — интегральная термостимулированная люминесценция в интервале 85–450 К, нижняя панель — спектры термостимулированной люминесценции кристалла NaCl, облученного рентгеновскими лучами при Т = 85 К в течение одного часа.
Наличие интегрального светового сигнала кристалла IИРЛ = f(X) при облучении рентгеновскими лучами предоставляет возможность регистрации спектров ентгенолюминесценции IРЛ = f(hν). Под термином “рентгенолюминесценция” подразумевается люминесценция кристаллов при непосредственном возбуждении рентгеновскими лучами. При регистрации спектров РЛ кристаллов очень важно получить стабилизированный интегральный сигнал IИРЛ = f(X), который обеспечивается постоянством режима работы рентгеновской трубки (W) при значениях напряжения 100 кВ и тока 3 мА от блока управления РУП-120.
Спектры РЛ кристаллов — IРЛ = f(hν) (тракт W→Кристалл→МСД-2→ФЭУ-2 на рис. 1; рис. 2б) регистрировались в широком диапазоне (200–800 нм) с использованием рентгеновской установки РУП-120, работающей в режиме 3 мА и 100 В. При таком режиме работы установки РУП-120 рентгеновская трубка (W) обеспечивает спектр жесткого тормозного ионизирующего излучения, которое проникает по всей толщине кристалла, не создавая на тонком слое кристалла повышения концентрации радиационных дефектов, искажающих спектр РЛ [10].
Последующие люминесцентные характеристики щелочно-галоидных кристаллов требуют накопления радиационных дефектов, в связи с чем после регистрации спектров РЛ необходимо облучить кристалл рентгеновскими лучами при температуре 85 К в течение определенного времени (например, 30 мин). После этого источник ионизирующего излучения РУП-120 (рис.1) выключается и синхронно сканируются временная зависимость интегральной туннельной люминесценции [9] IИТЛ = f(τ) (тракт Кристалл→ФЭУ-1 на рис. 1; рис. 2в) и спектры ТЛ радиационных дефектов [9] IТЛ = f(hν) (тракт Кристалл→МСД-2→ФЭУ-2 на рис. 1; рис. 2г).
Низкая температура способствует формированию близко расположенных радиационных дефектов, а длительность облучения увеличивает их концентрацию, благодаря чему происходит туннелирование между основными состояниями электронных и дырочных радиационных дефектов, например между F’- и VK-центрами. После полного затухания ИТЛ приступили к регистрации интегральной термостимулированной люминесценции IИТСЛ = f(T) (верхняя панель на рис.2) и спектров IТСЛ = f(hν) (нижняя панель на рис.2).
Интегральная термостимулированная люминесценция IИТСЛ = f(T) регистрировалась со скоростью линейного нагрева 0.2 К (тракт Кристалл→ФЭУ-1 на рис. 1; верхняя панель рис. 2). Спектральный состав термостимулированной люминесценции IТСЛ = f(hν) сканировался с максимальной скоростью 50 нм/с [8] (тракт Кристалл→МСД-2→ФЭУ-2 на рис. 1; нижняя панель рис. 2). За время сканирования каждого спектра ТСЛ в интервале 2.0-6.0 эВ температура образца изменялась на 1.0-1.5 К, что вполне удовлетворительно, так как полуширина пиков ИТСЛ находится в интервале 8-20 К. По природе термостимулированная люминесценция является излучательной рекомбинацией радиационных дефектов, созданных под действием ионизирующей радиации. При регистрации спектров ТСЛ выбиралось оптимальное время рентгеновского облучения с тем, чтобы сигнал был вполне регистрируемый, но при этом не создавалось такое количество F-центров, которое искажало бы спектры излучения из-за реабсорбции.
Реализована методика регистрации спектров излучения (вспышки) при оптической стимуляции области спектра, соответствующей электронным центрам. Аппаратурная возможность регистрации спектров излучения (вспышки) аналогична регистрации спектров фотовозбуждения и излучения.
Спектры вспышки IВ = f(hν) при оптической стимуляции регистрировались в следующем порядке: кристалл облучался при Т = 80 К в изодозовом режиме до и при упругой деформации, затем осуществлялась фотостимуляция с помощью лампы накаливания и монохроматора МДР-23 с соответствующими светофильтрами СЗС-7 и ЖС-4, пропускающими излучения в интервале спектров от 1.5 эВ до 2.1 эВ (тракт S→МДР-23→Ф→Кристалл→МСД-2→ФЭУ-2 на рис. 1).
Спектры оптической стимуляции вспышки IF = f(hν) регистрировались на максимуме спектра излучения по аналогии с регистрацией спектров фотовозбуждения при оптической стимуляции в интервале 2.2–1.0 эВ.
3. КРИОСТАТ ДЛЯ НИЗКОТЕМПЕРАТУРНОЙ ОДНООСНОЙ ДЕФОРМАЦИИ КРИСТАЛЛОВ
Для регистрации перечисленных выше люминесцентных характеристик щелочно-галоидных кристаллов под действием низкотемпературной (85 К) одноосной упругой и пластической деформации специально разработан и запатентован универсальный криостат [11, 12], который позволяет задать нужную степень относительной деформации и зафиксировать ее по выбранному кристаллографическому направлению <100> или <110> в условиях высокого технического вакуума Р = 1 · 10–5 Торр (1.3 · 10–3 Па) (рис. 3).
Рис. 3. Схема криостата для деформации кристаллов в диапазоне температур 85–400 К: 1 — шлиф, 2 — медный кристаллодержатель, 3 — резервуар для заливки жидкого азота, 4 — ручки для вращения головки криостата, 5 — специальные прижимные щечки, 6 — исследуемый монокристалл, 7 — сжимающий винт, 8 — окошки из LiF, 9 — стопор, 10 — прокладка из фторопласта, 11 — омметр, 12 — нониусная шкала (L).
Криостат состоит из двух частей (рис. 3), которые разделены конусообразным шлифом 1, позволяющим вращать верхнюю часть относительно нижней без разгерметизации криостата. Верхняя часть криостата состоит как одно целое из приваренных между собой медного кристаллодержателя 2, трубки 3 из сплава ковар и головки из нержавеющей стали с ручками 4. Кристаллодержатель 2 представляет собой прорезь, в которую помещаются прижимные щечки 5, кристалл 6 и Г-образный сжимающий винт 7 с шагом резьбы 1 мм. Трубка из сплава ковар 3 используется в качестве резервуара для заливки жидкого азота с целью охлаждения кристалла через медный кристаллодержатель.
Согласно конструкции криостата (рис. 3), прижимные щечки 5, расположенные с двух сторон кристалла в виде пластинки Т-образной формы, во-первых, обеспечивают хороший контакт поверхности кристалла при строгом сохранении параллельности граней кристалла, который зафиксирован сжимающим винтом 7, а во-вторых, предотвращают механическое кручение кристалла при поступательном движении вверх сжимающего винта 7 при вращении по часовой стрелке верхней части криостата по шлифу 1 с помощью ручек 4. Щечки имеют разные формы в зависимости от направления одноосной деформации (<100> или <110>), как показано на рис. 4.
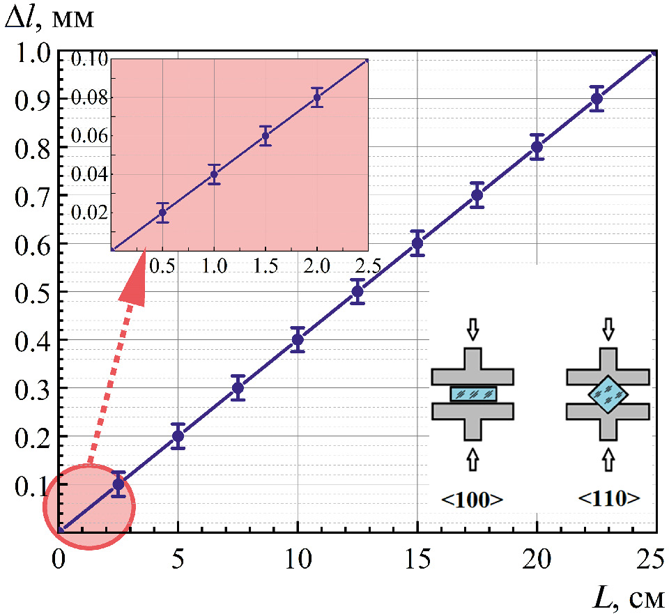
Рис. 4. Градуировочная кривая для экспериментального определения задаваемой степени относительной деформации кристаллов [12]. В верхнем левом углу рисунка пунктирной стрелкой указан увеличенный участок начального этапа деформации от 0 до 2.5%. В правом нижнем углу показано положение прижимных щечек и кристалла при деформации по направлениям <100> и <110>.
Одноосная деформация кристалла начинается при дальнейшем вращении верхней части криостата с момента контакта сжимающего винта 7 с металлическим стопором 9, изолированным от корпуса криостата фторопластовой прокладкой 10. Их контакт замыкает цепь, что фиксирует омметр 11, этот контакт является индикатором начала деформации кристалла по нониусной шкале (L0).
Нижняя часть криостата снабжена прозрачными в широком интервале спектра (12–0.2 эВ или 105–6000 нм) окошками 8 из LiF (рис. 3), которые необходимы для регистрации спектров люминесценции кристаллов при облучении рентгеновской радиацией через бериллиевое (Be) окошко толщиной 0.5 мм (см. рис. 1).
Задаваемая степень относительной деформации кристалла (например, ε = 1.0%, ε = 2.0%, ε = 3.0% и т.д.) вычисляется по известной формуле:
или или ,
где l0 — начальная длина кристалла до деформации, которая измеряется микрометром или микроскопом, l — длина кристалла после деформации, Δl = l0 — l — изменение длины кристалла после деформации, оно определяется по градуировочной кривой (рис. 4), построенной на основе шага резьбы сжимающего винта (1 мм). Согласно градуировочной кривой (рис. 4), при полном обороте (360°) верхней части криостата по длине окружности (Lmax = 25 см) с момента контакта сжимающего винта 7 со стопором 9 кристалл деформируется на 1 мм.
Для наглядности процесса низкотемпературной деформации специально из данных градуировочной кривой Δl~f(L) (рис. 4) составлена табл. 1 для кристалла с известной длиной (l0 = 10 мм).
Таблица 1. Параметры низкотемпературной одноосной деформации кристалла (l0 = 10 мм)
Задаваемая степень деформации ε, % | Вычисление Δln = 0.01εn l0, мм | Отрезок окружности криостата для получения задаваемой степени деформации ΔL, см | Задаваемый шаг вращения верхней части криостата ΔL, см | Градуировочная кривая Δl~f(L), по которой определяется ΔL, см (рис. 4) |
0.2 | 0.02 | 0.5 | 0.5 | увеличенная |
0.4 | 0.04 | 1.0 | 0.5 | увеличенная |
0.6 | 0.06 | 1.5 | 0.5 | увеличенная |
0.8 | 0.08 | 2.0 | 0.5 | увеличенная |
1.0 | 0.1 | 2.5 | 0.5 | основная |
2.0 | 0.2 | 5.0 | 2.5 | основная |
3.0 | 0.3 | 7.5 | 2.5 | основная |
Алгоритм деформирования кристалла заключается в следующем (табл. 1): задается степень одноосной деформации (например ε = 0.8%), вычисляется изменение длины кристалла (Δl = 0.08) после деформации, а затем по градуировочной кривой (рис. 4) определяется отрезок окружности криостата для получения задаваемой степени деформации при вращении верхней части криостата (ΔL = 0.5 см).
Отсчет одноосной деформации кристалла начинается с момента контакта сжимающего винта 7 со стопором 9, который сигнализируется звуком и визуализацией прибором 11, работающим в режиме омметра (рис. 3). В момент контакта останавливается дальнейшее вращение верхней части криостата и стрелкой, направленной вниз, расположенной над шлифом, фиксируется положение контактной точки L0 по миллиметровой шкале, расположенной под шлифом криостата (см. рис. 3).
Дальнейшее вращения верхней части криостата по часовой стрелке (см. рис. 3) от точки L0 до значения, например ΔL = 2.0 см, приводит к поступательному движению нижней прижимной щечки относительно верхней, чем экспериментально создается одноосное сжатие вдоль длины кристалла (l0 = 10 мм) до значения ε1 = 0.8% (см. табл. 1). При этом сжимающее напряжение кристалла можно накапливать путем мелкого пошагового погружения (ΔL = 0.5), что важно при системном исследовании влияния одноосной деформации на люминесцентные характеристики кристаллов.
После достижения задаваемого значения степени одноосной деформации (например ε1 = 0.8%, согласно данным табл. 1) кристалл в сжатом состоянии вращением верхней части криостата против часовой стрелки возвращается в прежнее положение, как на рис. 1, для обеспечения одинаковой геометрии при регистрации люминесцентных характеристик.
Следует отметить, что в зависимости от длины кристалла l0 положение контактной точки начала деформации L0, указываемое стрелкой, направленной вниз, будет смещаться по миллиметровой шкале (см. рис. 4). Например, на рис. 3 стрелка, направленная вниз, указывает по шкале на L0 = 17.
Направленность одноосной деформации кристаллов обеспечивается формой прижимных щечек: сжатие кристаллов по направлению <100> реализуется плоскими щечками, а по направлению <110> — прямоугольными щечками (рис. 4).
Таким образом, конструкция криостата [11, 12] позволяет экспериментально задать нужную степень деформации ε кристалла, причем механическое напряжение можно при необходимости снять или заново обновить в широком диапазоне температур (85–400 К). Охлаждение кристаллов достигается заливкой жидкого азота в резервуар 3 криостата, а нагрев с постоянной скоростью — с помощью стержневой печки, опускаемой в резервуар 3 криостата. Температура кристалла регистрировалась медь-константановой термопарой с помощью контроллера, управляемого программы ThermoScan.
4. ЗАКЛЮЧЕНИЕ
В результате эксплуатации спектрального комплекса, позволяющего исследовать множество люминесцентных характеристик кристаллов в широком интервале спектра (1.5–6.0 эВ) и температуры (85–400 К) при воздействии локальной термоупругой одноосной деформации (<100>, <110>) и рентгеновской радиации, получены важнейшие результаты по релаксации электронных возбуждении в щелочно-галоидных кристаллах при понижении симметрии решетки [10, 13–16].
- Экспериментально обнаруженный эффект усиления интенсивности собственной люминесценции щелочно-галоидных кристаллов интерпретирован как увеличение вероятности автолокализации анионных экситонов в регулярных узлах решетки за счет низкотемпературной упругой одноосной деформации [16–18]. Эффект запатентован [19, 20].
- На основании коррелированного роста интенсивности Ex и двух компонент (σ и π) люминесценции автолокализованного экситона при росте степени низкотемпературной (85 К) одноосной упругой деформации установлено, что Ex-люминесценция в кристаллах RbI (3.1 эВ) и KI (3.05 эВ) является собственной люминесценцией решетки иодидов щелочных металлов [16, 17]. Таким образом, разрешен исторический спор относительно природы Ex-люминесценции в кристаллах RbI и KI [16, 17].
- Обнаружен (на примере кристалла KCl:Na) уникальный эффект резкого усиления экситоноподобной люминесценции за счет рекомбинационной сборки электронно-дырочных пар в поле легкого иона натрия, являющегося центром люминесценции экситоноподобного образования [10, 13, 19, 20]. Эффект запатентован [19, 20].
В целом открываются новые возможности экспериментального исследования фундаментальных механизмов повышения выхода люминесценции в ионных кристаллах при понижении симметрии решетки с целью разработки сцинтилляционных материалов нового поколения.
БЛАГОДАРНОСТИ
Авторы выражают благодарность коллективу и руководству Актюбинского регионального университета им. Жубанова за многолетнюю поддержку в создании универсального спектрального комплекса на основе цифровой технологии, не имеющего аналогов в Республике Казахстан.
ФИНАНСИРОВАНИЕ РАБОТЫ
Работа выполнена при поддержке Министерства науки и высшего образования Республики Казахстан в рамках проекта ИРН АР23488688.
About the authors
К. Ш. Шункеев
Актюбинский региональный университет им. К. Жубанова
Email: sh.zh.sagimbaeva@gmail.com
Kazakhstan, 030000, Актобе, просп. А. Молдагуловой, 34
Д. М. Сергеев
Актюбинский региональный университет им. К. Жубанова
Email: sh.zh.sagimbaeva@gmail.com
Kazakhstan, 030000, Актобе, просп. А. Молдагуловой, 34
Ш. Ж. Сагимбаева
Актюбинский региональный университет им. К. Жубанова
Author for correspondence.
Email: sh.zh.sagimbaeva@gmail.com
Kazakhstan, 030000, Актобе, просп. А. Молдагуловой, 34
Ж. К. Убаев
Актюбинский региональный университет им. К. Жубанова
Email: sh.zh.sagimbaeva@gmail.com
Kazakhstan, 030000, Актобе, просп. А. Молдагуловой, 34
А. Е. Герман
Гродненский государственный университет им. Янки Купалы
Email: sh.zh.sagimbaeva@gmail.com
Belarus, 230023, Гродно, ул. Элизы Ожешко, 22
А. Ю. Лицкевич
Гродненский государственный университет им. Янки Купалы
Email: sh.zh.sagimbaeva@gmail.com
Russian Federation, 230023, Гродно, ул. Элизы Ожешко, 22
References
- Song K.S., Williams R.T. Self-Trapped Excitons. Berlin: Springer, 1996. https://doi.org/10.1007/978-3-642-85236-7.
- Лущик Ч.Б., Лущик А.Ч. Распад электронных возбуждений с образованием дефектов в твердых телах. Москва: Наука, 1989.
- Grinberg M. // J. Luminescence. 2011. V. 131 (3). P.433. https://doi.org/10.1016/j.jlumin.2010.10.043.
- Zhang W., Oganov A.R., Goncharov A.F., Zhu Q., Boulfelfel S.E., Lyakhov A.O., Stavrou E., Somayazulu M., Prakapenka V.B., Konôpková Z.// Science. 2013. V. 342 (6165). P. 1502. https://doi.org/10.1126/science.1244989.
- Fernandez-Lima F.A., Henkes A.V., da Silveira E.F., Nascimento M.A.Ch. // J. Phys. Chem. C. 2012. V. 116 (8). P. 4965. https://doi.org/10.1021/jp208090j.
- Baker M. D., Baker A. D., Hanusa C. R. H., Paltoo K., Danzig E., Belanger J. // J. Phys. Chem. C. 2013. V. 117 (48). P. 25742. https://doi.org/10.1021/jp405978d.
- Ikezawa M., Wakita S., Kojima T., Ueta M. // J. Phys. Soc. 1967. V. 23. P. 138. https://doi.org/10.1143/JPSJ.23.138.
- Шункеев К.Ш., Мясникова Л.Н., Сагимбаева Ш.Ж., Убаев Ж.К., Лицкевич А.Ю., Герман А.Е. РК Патент 34978 // Бюл. №13. Опубл. 02.04.2021. https://gosreestr.kazpatent.kz/Invention/Details?docNumber = 324704
- Шункеев К.Ш., Сагимбаева Ш.Ж., Маратова А., Мясникова Л.Н. РК Патент 6563 // Бюл. №42. Опубл. 22.10.2021. https://gosreestr.kazpatent.kz/Utilitymodel/Details?docNumber = 342135
- Shunkeyev K., Tilep A., Sagimbayeva Sh., Ubaev Z., Lushchik A. // Crystals. 2023. V. 13 (2). P. 364. https://doi.org/10.3390/cryst13020364.
- Shunkeyev K., Sarmukhanov E., Bekeshev A., Sagimbaeva Sh., Bizhanova K. // J. Phys. Conf. 2012. V. 400. P. 052032. https://doi.org/10.1088/1742-6596/400/5/052032.
- Шункеев К., Бармина А., Сармуханов Е., Бижанова К., Шункеев К. РК Патент 26141 // Бюл. № 9 от 14.09.2012. https://gosreestr.kazpatent.kz/Invention/Details?docNumber = 152330
- Shunkeyev K., Tilep A., Sagimbayeva Sh., Lushchik A., Ubaev Z., Myasnikova L., Zhanturina N., Aimaganbetova Z. // Nucl. Instrum. Meth. B. 2022. V. 528. P. 20. https://doi.org/10.1016/j.nimb.2022.08.002.
- Shunkeyev K., Aimaganbetova Z., Myasnikova L., Maratova A., Ubaev Z. // Nucl. Instrum. Meth. B. 2021. V. 509. P. 7. https://doi.org/10.1016/j.nimb.2021.10.010.
- Sergeyev D., Shunkeyev K., Zhanturina N., Shunkeyev S. // IOP Conference Series: Materials Science and Engineering. 2013. V. 49 (1). Р. 012049. https://doi.org/10.1088/1757-899X/49/1/012049.
- Шункеев К.Ш., Лущик А.Ч., Мясникова Л.Н., Сагимбаева Ш.Ж., Убаев Ж.К., Аймаганбетова З.К. // Физика низких температур. 2019. Т. 45. С. 1323. https://doi.org/10.1063/1.5125992.
- Shunkeyev K., Maratova A., Lushchik A., Myasnikova L. // Integrated Ferroelectrics. 2021. V. 220 (1). P. 140. https://doi.org/10.1080/10584587.2021.1921543.
- Шункеев К.Ш., Жантурина Н.Н., Аймаганбетова З.К., Бармина А.А., Мясникова Л.Н., Сагимбаева Ш.Ж., Сергеев Д.М. // Физика низких температур. 2016. Т. 42 (7). С. 738. https://doi.org/10.1063/1.4960008.
- Шункеев К., Мясникова Л., Бармина А., Сергеев Д., Жантурина Н., Сагимбаева Ш. РК Патент 33327 // Бюл. №46. Опубл. 07.12.2018. https://gosreestr.kazpatent.kz/Invention/Details?docNumber = 278954
- Сагимбаева Ш.Ж, Тилеп А.С., Шункеев К.Ш. РК Патент 7073 // Бюл. №18. Опубл. 06.05.2022. https://gosreestr.kazpatent.kz/Utilitymodel/Details?docNumber = 351481
Supplementary files






