Селективный измеритель токов фотоэлектронного умножителя для спектроскопии магнитного кругового дихроизма в отраженном свете
- Авторы: Маркин Ю.В.1, Кунькова З.Э.1
-
Учреждения:
- Институт радиотехники и электроники им. В.А. Котельникова Российской академии наук, Фрязинский филиал
- Выпуск: № 4 (2024)
- Страницы: 156-165
- Раздел: ОБЩАЯ ЭКСПЕРИМЕНТАЛЬНАЯ ТЕХНИКА
- URL: https://journal-vniispk.ru/0032-8162/article/view/279070
- DOI: https://doi.org/10.31857/S0032816224040189
- EDN: https://elibrary.ru/NYBVGW
- ID: 279070
Цитировать
Полный текст
Аннотация
Представлена относительно простая схема селективного измерителя постоянной и переменной компонент полного тока фотоэлектронного умножителя при регистрации спектров магнитного кругового дихроизма в отраженном свете с использованием метода фазовой модуляции световой волны с помощью фотоупругого модулятора. В схеме реализован метод измерения анодного тока фотоумножителя с применением нагрузочного сопротивления RL и буферного предусилителя. Выделение переменной компоненты осуществляется компенсацией постоянной составляющей полного сигнала. Описаны экспериментальные методики, позволяющие определять оптимальную величину RL, для которой в полосе частот порядка 100 кГц влияние входной шунтирующей емкости минимально. Определены основной источник и уровень паразитного фототока, не связанного с падающим монохроматическим излучением. Предложен алгоритм регистрации спектра при смене полярности эффекта кругового дихроизма. Работоспособность и эффективность разработанного измерителя иллюстрируются на примере измерения спектра магнитного кругового дихроизма пленки GaMnAs.
Полный текст
ВВЕДЕНИЕ
В спектроскопии магнитного кругового дихроизма в отраженном свете (reflectance magnetic circular dichroism – RMCD) широко используется метод фазовой модуляции линейно поляризованной световой волны, осуществляемый с помощью фотоупругого модулятора (photoelastic modulator – PEM) [1–3]. Эта методика предполагает измерение двух электрических сигналов фотоприемника – постоянного (или низкочастотного) сигнала и гармонического сигнала на высокой частоте фазовой модуляции (fPEM ~ 10–100 кГц). Для регистрации слабого модулированного светового потока используется фотоэлектронный умножитель (ФЭУ) [3, 4], который является датчиком с токовым выходом. В RMCD-спектроскопии амплитуды постоянного и переменного сигналов сильно различаются по величине: отношение амплитуд гармонической и постоянной составляющих обычно имеет порядок 10–5–10–3. Это обстоятельство, наряду с высокой частотой фазовой модуляции, определяет полосу пропускания и динамический диапазон предварительного усилителя фототока ФЭУ, используемого в RMCD-спектрометре.
МЕТОДЫ ИЗМЕРЕНИЯ ТОКА ФЭУ
Измерение анодного тока ФЭУ с выхода разъема, содержащего высоковольтный делитель напряжения, проводится двумя методами: либо регистрацией напряжения на нагрузочном сопротивлении RL, либо с использованием преобразователя ток–напряжение [5, 6]. В RMCD-спектроскопии предпочтительно измерение анодного фототока с использованием нагрузки RL, поскольку схема преобразователя ток–напряжение нестабильна из-за шунтирующей емкости коаксиального кабеля Ccoax [5, 6]. Амплитуду нестабильных высокочастотных колебаний можно существенно уменьшить, устанавливая на выходе преобразователя НЧ-фильтр с частотой среза порядка 100–500 кГц, однако полностью их устранить не удается. Это приводит к дополнительному источнику шума и повышению порога чувствительности измерительной системы. Негативное влияние Ccoax обычно устраняется встраиванием преобразователя (или нагрузки) в разъем с делителем напряжения. Однако такая конструкция в технике лабораторного эксперимента не всегда оправдана [5]. Дальнейшее рассмотрение относится к схеме регистрации напряжения на нагрузочном сопротивлении RL.
Измерение компонент полного сигнала выполняется одновременной подачей последнего на входы предусилителей высокой и низкой частот [3, 7, 8]. Недостатком такой параллельной схемы является необходимость использования отдельного предусилителя для каждого канала. Кроме того, в методе с общей нагрузкой RL для предусилителей требуется тщательное согласование входных импедансов измерительных контуров и его периодический контроль [3]. По этим причинам желательно использовать иную схему, позволяющую выделять эти составляющие полного тока с помощью одного предусилителя.
СХЕМА СЕЛЕКТИВНОГО ИЗМЕРИТЕЛЯ
Ниже описывается схема (рис. 1) селективного измерителя постоянной и переменной компонент фототока ФЭУ, IPH. Входной каскад измерителя выполнен на операционном усилителе (ОУ) AD8675 (М1), включенном по неинвертирующей схеме измерения напряжения, которое индуцируется протеканием переменного анодного тока ФЭУ через нагрузку, представляющую собой параллельное соединение сопротивления RL и емкости CS. Суммарная емкость CS, шунтирующая нагрузку RL, складывается из междуэлектродных емкостей ФЭУ, сопряженного с высоковольтным делителем напряжения, емкости выходного коаксиального кабеля и входной емкости микросхемы М1. С ростом частоты измерений наличие CS приводит к уменьшению токового сигнала на нагрузке RL и фазовым сдвигам [3–6]. Для оптимального подбора величины сопротивления RL при измерениях на частоте фазовой модуляции fPEM (и удвоенной частоте 2fPEM) необходимо знать значение шунтирующей емкости. С этой целью были выполнены предварительные измерения.
Рис. 1. Принципиальная схема селективного измерителя постоянной и переменной компонент тока ФЭУ при регистрации спектров RMCD: M1 – AD8675, M2, M4 – AD8672, M3 – OP97; напряжение питания микросхем ±10 В; A – анод ФЭУ; IPH – анодный фототок с указанием направления протекания; CS – суммарная шунтирующая емкость; К1, К2 – малогабаритные механические переключатели DIP; Вход, Выход 1 и Выход 2 – BNC-ВЧ-разъемы (гнезда); а – схема измерения емкости CS и линейная регрессия зависимости напряжения V на выходе M1 от частоты f модулятора SR540 в координатах (V −2, f 2); R* = 1 МОм, C* = CS + 220 пФ, штриховая линия – результат регрессии массива данных V(fi), i = 1, …, N, N = 42, представленных светлыми кружками; б – схема измерения компонент V=(λ) (сплошная кривая) и V2 f (λ) (точки) полного сигнала с выхода M1, обусловленного протеканием фототока через нагрузку R* = 20 кОм. Зависимости V=(λ) и V2 f (λ) нормированы на максимумы и соответственно. Штриховая кривая – зависимость отклонения ∆dev(λ). Ток накала igl = 9 А, напряжение VPMT ≈ −860 В, ширина входной/выходной щелей монохроматора dsl = 0.2 мм, частота модуляции f = 228 Гц, амплитуда фазовой задержки δ0 = 0.383λ. Штрихпунктирная кривая – зависимость ∆dev(λ), полученная из измеренных спектров V=(λ) и V2 f(λ) при тех же значениях igl, VPMT, dsl, f и δ0 с использованием нагрузки R* = 10 кОм.
Монохроматическое излучение (с длиной волны λ = 530 нм) из выходной щели (шириной dsl = 0.1 мм) монохроматора SPM-2, для которого первичным источником света являлась галогенная лампа накаливания мощностью 150 Вт и напряжением накала 15 В, фокусировалось на входное окно ФЭУ Hamamatsu R374, сопряженного с разъемом Hamamatsu D-Type Socket Assemblies E990–501. В этом разъеме цепь анода А изолирована и выведена вовне с помощью коаксиального кабеля RG-174/U длиной не менее 40 см, конец которого подсоединен к BNC-ВЧ-разъему (штекер) [9]. С помощью оптического прерывателя SR540 (25 Гц ≤ f ≤ 3.8 кГц, f – частота прерывания светового потока) осуществлялась амплитудная модуляция интенсивности света. Выход анодной цепи подсоединялся к нагрузке в виде R*C*-делителя для переменного фототока (R* = = 1 МОм, C* = CS + C, С = 220 пФ 1). Падение напряжения на нагрузке подавалось на вход операционного усилителя (ОУ) М1, включенного по схеме неинвертирующего повторителя (рис. 1а). Переменное выходное напряжение
(1)
с повторителя регистрировалось цифровым синхронным усилителем SR830, для которого опорные импульсы вырабатывались контроллером оптического прерывателя SR540. Ток накала лампы igl = 8 А и напряжение на ФЭУ VPMT = −690 В устанавливались, исходя из условия регистрации максимальной амплитуды (около 1 В) демодулированного напряжения V0 на выходе SR830 при низких частотах амплитудной модуляции света. На рис. 1а представлена линеаризованная зависимость (1), по которой была найдена шунтирующая емкость CS ≈ 71 пФ.
Диапазон выходных фототоков IPH ФЭУ Hamamatsu R374 ограничивается максимальной величиной 100 мкА. Максимальное значение измеряемых фототоков иногда уменьшают примерно до 10 мкА, исходя из условия линейного режима работы ФЭУ относительно суммарного потока Φ = Φ1 + Φ2 светового излучения: IPH(Φ) ≈ IPH(Φ1) + IPH(Φ2) [6, 8]. Измерения в режиме стабилизации постоянной составляющей полного сигнала проводятся при еще меньших значениях IPH ≈ 2 мкА [10]. При фазовой модуляции полоса пропускания для схемы измерения переменного фототока колеблется в широких пределах: fС = 100 кГц – 5 МГц [3, 4, 10]. Однако фотоупругий модулятор является узкополосным устройством, работающим на фиксированной частоте fPEM [11], и демодуляция переменных сигналов осуществляется методом синхронного детектирования с использованием усилителей с полосой пропускания 100 кГц [3]. В связи с этим делать высокочастотный тракт измерителя тока очень широкополосным не имеет смысла.
Для выбора минимального возможного значения частоты среза fС была использована методика контроля достоверности данных RMCD-спектроскопии [3]. Контроль осуществлялся по упрощенной линейной схеме CH–P–PEM–A–PHD 2 (рис. 1б). Здесь CH – оптический прерыватель SR540, модулирующий амплитуду светового потока с частотой fCH, PEM – фотоупругий модулятор PEM-100 с оптической головкой I/FS50 (fPEM = 50 кГц), P и A – приз-мы Глана–Тейлора, оси пропускания которых ориентированы соответственно под углами 45° и –45° относительно оптической оси PEM, PHD – ФЭУ Hamamatsu R374 с указанным выше электрическим разъемом. Схема измерения спектральных зависимостей низкочастотной
(2)
и гармонической
(3)
(на удвоенной частоте 2fPEM) компонент полного периодического сигнала V(λ) с выхода M1 аналогична представленной в работе [3]. Здесь Φλ(λ) – эффективная спектральная плотность светового потока, в которой присутствуют не зависящие от времени t параметры оптической системы, SPMT(λ) – спектральная чувствительность ФЭУ, K(f) – АЧХ представленного на рис. 1б преобразователя тока IPH(λ) в напряжение V(λ) на частотах fCH и 2fPEM. На этом же рис. 1б приведены нормированные на величины своих максимумов спектральные зависимости компонент V=(λ) и V2 f (λ) полного сигнала V(λ) с выхода M1 при выбранной величине нагрузки R* = 20 кОм, для которой частота среза входного делителя фототока fC ≈ 112 кГц. Видно, что нормированные амплитуды V=(λ) (сплошная кривая) и V2 f (λ) (точки) совпадают, а эффективное относительное отклонение ∆dev (штриховая кривая) отношения этих нормированных сигналов от единицы по абсолютной величине меньше 2% почти во всем диапазоне длин волн λ. Небольшое увеличение отклонения |∆dev| вблизи коротковолнового края спектра (λ < 420 нм) может быть связано как с фоновым излучением [3], так и с “узостью” полосы пропускания входного токового делителя (fC ≈ fPEM). Были также выполнены контрольные измерения для нагрузочного сопротивления R* = 10 кОм (fC 224 кГц). В этом случае наблюдается больший коротковолновый рост отклонения |∆dev| (штрихпунктирная кривая), обусловленный повышением порога чувствительности измерительной схемы. Можно заключить, что K(fCH) ≈ K(2fPEM) во всем диапазоне длин волн. В итоге для выбранного номинала нагрузки RL = 20 кОм получаем коэффициент преобразования входного буферного каскада измерителя по постоянному току порядка 106 В/А, что позволяет регистрировать максимальный фототок порядка 10 мкА, находясь в диапазоне линейного режима работы ФЭУ.
Согласно схеме на рис. 1, сигнал V(t) с выхода ОУ M1, состоящий из постоянной V= и переменной V~(t) компонент 3, поступает на вход вычитателя M2.1. Отрицательная обратная связь через инвертирующий интегратор M2.2 компенсирует составляющую V= в полном сигнале. При выборе соответствующего значения постоянной интегрирования τ0 = R0C0 на выходе M2.1 будет присутствовать только переменная составляющая V1(t) = −V~(t), на выходе M2.2 составляющая V2(t) = −V= /2, а на выходе M3 – постоянное напряжение V=. Действительно, в общем случае для фурье-образов Fω{…} сигналов V(t), V1(t) и V2(t) справедливы соотношения
(4)
(5)
Из этих соотношений следует, что для ВЧ-сигналов (ωτ0 >> 1) V1(t) ≈ −V(t), V2(t) ≈ 0, а для НЧ-сигналов (ωτ0 << 1) V1(t) ≈ 0, V2(t) ≈V(t)/2. При фазовой модуляции первая гармоника ВЧ-сигнала V~(t) изменяется с фиксированной частотой fPEM. Следовательно, для оценки τ0 необходимо знать характерный темп изменения V=(t). При фиксированном значении λ этот сигнал постоянен, однако при развертке по длине волны он меняется во времени. Для минимизации переходных процессов необходимо отслеживать эти изменения на выходе ОУ M2.2. Характерная длина интервала ∆t, на котором V=(t) существенно меняется, примерно равна половине времени регистрации спектра, приведенного на рис. 1б. Тогда характерная скорость изменения амплитуды V= на этом интервале f= = V=−1(t) ∙ dV=(t)/dt ~ 1/∆t [12]. Время записи спектра примерно 40 мин, а его полуширина укладывается в интервал ∆t ≈ 23 мин. В результате получаем f= ~ 7∙10–4 с−1 и ~5∙10–2 c. Указанные на схеме (рис. 1) номиналы R0 и C0 соответствуют полученной оценке τ0. Низкочастотный активный RC-фильтр на основе ОУ M3 определяет постоянную времени выходного каскада для составляющей V=, примерно равную 1 с. Такая же постоянная времени обычно устанавливается для синхронного усилителя SR830, используемого для измерений соответствующих гармоник переменного сигнала V~.
Для переменного сигнала V~ входным каскадом является активный полосовой RC-фильтр на основе ОУ M4 с перестраиваемым коэффициентом усиления G по переменному току. Расчет АЧХ-фильтра показал, что его центральная частота f0 близка к fPEM (f0 ≈ 49.8 кГц), его коэффициент ослабления на центральной частоте составляет около −0.385 дБ, полоса пропускания равна примерно 9.8–254.4 кГц. Фильтр устраняет низкочастотные шумы, связанные с дрейфом нуля ОУ, релаксацией темнового тока ФЭУ и фоновым излучением (рассеянным в монохроматоре и в затененном помещении). Фильтр также устраняет высокочастотные сетевые наводки, понижая таким образом порог чувствительности измерительной схемы по переменному сигналу.
ВЫЯВЛЕНИЕ ПАРАЗИТНОЙ СОСТАВЛЯЮЩЕЙ В ПОЛЕЗНОМ СИГНАЛЕ
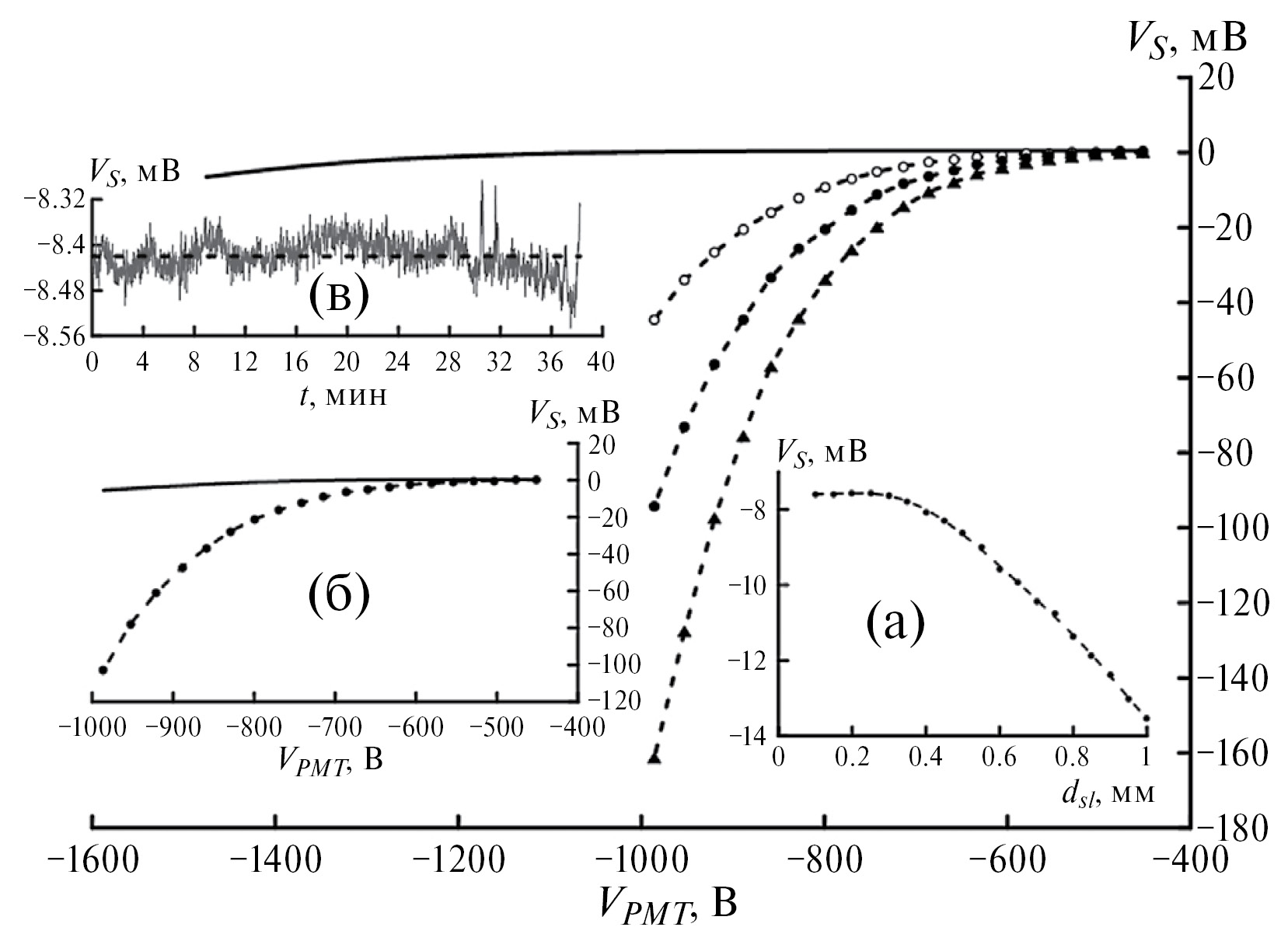
Постоянная компонента V=, наряду с полезным сигналом, пропорциональным интенсивности падающего на ФЭУ монохроматического излучения, также содержит паразитные составляющие VS, связанные с уже упомянутыми темновым током ФЭУ со смещением нуля ОУ и c фоновым излучением. Величина темнового тока ФЭУ Hamamatsu R374 лежит в диапазоне 315 нА (что эквивалентно смещению VS = = 3–15 мВ на выходе M3), она зависит от приложенного рабочего напряжения. Используемые в измерителе ОУ M1–M3 обладают малым напряжением смещения нуля (менее 100 мкВ). Вклад фонового излучения обычно снижается тщательным затемнением оптической части RMCD-спектрометра и установкой непосредственно перед входным окном ФЭУ узкополосного светофильтра с высоким пропусканием в области низкой интенсивности монохроматического излучения. Суммарное смещение VS зависит от ширины щели dsl, тока igl и напряжения VPMT, причем эти параметры при измерениях RMCD-спектров могут меняться в широких пределах [3]. Следовательно, требуется аттестация RMCD-спектрометра на величину и стабильность паразитного смещения с целью его минимизации и внесения соответствующей поправки в измеренные значения V=.
Измерения паразитной составляющей VS в зависимости от ширины щели dsl, тока igl и напряжения VPMT осуществлялись следующим образом. Из оптического тракта удалялся прерыватель CH, цепь анода ФЭУ подсоединялась к разъему Вход измерителя (рис. 1). Постоянная компонента V= с разъема Выход 1 подавалась на вход цифрового мультиметра Keithley 2000. Дисперсионная призма монохроматора устанавливалась в положение, соответствующее выходящему излучению с длиной волны λ0 = 250 нм. В этом случае фокусирующие линзы из оптического стекла выполняли роль широкополосного фильтра, вырезающего из спектра излучения лампы накаливания область λ < 360 нм. Измерения зависимостей V=(VPMT) при различных значениях тока лампы igl и постоянной ширине щели dsl, а также зависимостей V=(dsl) при постоянных igl и VPMT выполнялись без анализатора4. При этом регистрируемая величина V= определяет паразитную составляющую VS, которая присутствует в процессе измерения спектральной зависимости V=(λ) при выбранных значениях параметров dsl, igl и VPMT. На основной части рис. 2 представлены результаты соответствующих измерений. При нулевом напряжении на ФЭУ VS ≈ 0.5 мВ, т. е. суммарное смещение нуля измерителя мало. При закрытом окне ФЭУ с увеличением VPMT смещение растет, оно достигает максимального значения примерно –6.5 мВ при VPMT = −1.5 кВ (т. е. предельный темновой ток ФЭУ около 6.5 нА). Приведенные кривые показывают, что преобладающим источником в суммарном смещении VS является фоновое излучение. На рис. 2а представлена зависимость смещения VS от ширины щели dsl. При малых dsl величина VS практически постоянна, а при dsl > 0.4 мм зависимость VS(dsl) суперлинейна. Следовательно, при широких щелях (dsl ~ 1 мм) вклад выходящего из монохроматора рассеянного света в величину VS сравним с вкладом внешней подсветки. При dsl ≤ 0.5 мм влияние рассеянного в монохроматоре света на величину VS незначительно (не превышает 10%), см. рис. 2б. Действительно, установка узкополосного отсекающего светофильтра СС-8 (∆λ = 350–500 нм) непосредственно после выходной щели монохроматора не влияет на величину паразитного смещения: при одинаковых токах igl и различных ширинах dsl зависимости VS(VPMT) на рис. 2 (dsl = 0.1 мм) и на рис. 2б (dsl = 0.5 мм, штриховые линии с темными точками) практически идентичны. Однако размещение этого светофильтра перед входным окном ФЭУ сужает область значений VS(VPMT) вплоть до величин при полностью закрытом окне. Таким образом, когда VS ~ V=, метод измерения компоненты V= на постоянном токе требует внесения соответствующей поправки. В работе [10] коррекция осуществлялась с помощью предварительной регистрации VS с последующим ее вычитанием из измеренных величин V=. Однако такой подход будет корректным, если в процессе регистрации RMCD-спектров паразитное смещение не меняется. На рис. 2в представлены временной дрейф смещения VS и его шумовая дорожка. Видно, что во временном интервале, сравнимом со временем проведения измерений, изменение VS относительно его среднего уровня (штриховая линия) мало. Следовательно, такой подход обоснован.
Рис. 2. Паразитное смещение Vs(VPMT) при отсутствии (сплошная кривая) и наличии засветки входного окна ФЭУ (dsl = 0.1 мм) и различных значениях тока igl: 7 А (штриховая кривая со светлыми точками); 8 А (штриховая кривая с темными точками); 9 А (штриховая кривая с треугольными символами); а – зависимость смещения VS от ширины dsl при igl = 8 А и VPMT = −714 В (точки); штриховая кривая – результат полиномиальной регрессии массива данных, представленных точками; б – влияние места расположения светофильтра СС-8 на величину VS: непосредственно за выходной щелью монохроматора (штриховая кривая с темными точками); непосредственно перед входным окном ФЭУ (сплошная кривая); igl = 8 А, VPMT = −714 В, dsl = 0.5 мм; в – временной дрейф и шумовая дорожка паразитного смещения при igl = 8 А, VPMT = −714 В, dsl = 0.5 мм. Уровень, отмеченный штриховой линией, соответствует среднему арифметическому значению = −8.42 мВ (среднее арифметическое отклонение от этого уровня δVs = 0.02 мВ).
ОПРЕДЕЛЕНИЕ ПАРАМЕТРОВ ИЗМЕРИТЕЛЯ
Тестирование токового измерителя с целью выявления возможности его использования в составе RMCD-спектрометра осуществлялось по методике контроля достоверности данных RMCD-спектроскопии [3]. Для этого оптическая часть RMCD-спектрометра была тщательно затемнена. В нее был возвращен анализатор, а разъем Выход 2 измерителя (рис. 1) был присоединен ко входу усилителя SR830, для которого опорные импульсы с частотой следования 100 кГц вырабатывались контроллером PEM100. Перед измерением зависимостей V=(λ) и V2f (λ) при выбранных значениях параметров dsl =0.15 мм, igl = 7 А, VPMT = −716 В и амплитуде фазовой задержки δ0 = 0.383 определялась суммарная паразитная составляющая VS путем многократного измерения сигнала V= для λ = 250 нм. Усреднение по множеству измеренных значений V= дало величину около –1.8 мВ, которая определяет паразитную составляющую VS.
Затем в области длин волн 400–800 нм измерялись спектральные зависимости сигналов V=(λ) и V2f (λ).5 По окончании измерений из массива данных V=(λi) формировался скорректированный массив Vс(λi) = V=(λi) − VS. Результаты измерений приведены на рис. 3. Видно, что нормированные на величины своих максимумов амплитуды Vс(λ) (сплошная кривая) и V2f (λ) (точки) совпадают, а абсолютная величина эффективного относительного отклонения ∆dev отношения нормированных сигналов от единицы (штриховая кривая с крестиками) не превышает 1% во всем диапазоне длин волн за исключением отмеченных кружками трех крайних символов с λ ≤ 410 нм. Здесь же представлены исходная спектральная зависимость V=(λ) (штриховая кривая) и соответствующее ей отклонение ∆dev (штриховая кривая с треугольниками). Для крайней левой точки спектральной кривой V=(λ) (λ = 400 нм), отвечающей минимальному значению полезного сигнала, отношение V= /VS ≈ 2. Видно, что с ростом величины этого отношения абсолютное значение относительного отклонения резко уменьшается. Данное обстоятельство определяет критерий выбора диапазона сканирования по длинам волн. При заданных значениях параметров dsl, igl, VPMT и δ0 в рабочем интервале длин волн постоянная компонента V= должна превышать паразитное смещение в несколько раз.
Рис. 3. Спектральные зависимости амплитуд сигналов VC (λ) (сплошная кривая), V=(λ) (штриховая кривая) и V2f (λ) (точки), нормированные на свои максимумы , и соответственно (из-за малости паразитного смещения, Vs ≈ −1.8 мВ, кривые V=(λ) и VC (λ) совпали). Представлены также зависимости (штриховая кривая с крестиками) и (штриховая кривая с треугольниками). Ток накала igl = 7 А, напряжение VPMT = −716 В, ширина dsl = 0.15 мм, δ0 = 0.383. На вставке показан начальный участок спектров VC (λ), V=(λ) и V2 f (λ).
В табл. 1 приведены коэффициенты преобразования по переменному току |Z(f)| для частот fPEM и 2fPEM при различных состояниях переключателей K1 и K2: разомкнутое (OFF) / замкнутое (ON).
Таблица1. Коэффициенты преобразования по переменному току |Z(f)|
Частота, кГц | |Z| в зависимости от состояния переключателей K1/K2, В/А (приблизительные значения) | |||
OFF/OFF | OFF/ON | ON/OFF | ON/ON | |
50 | 1.3 ∙ 106 | 6.7 ∙ 106 | 2.6 ∙ 107 | 1.4 ∙ 108 |
100 | 1.3 ∙ 106 | 6.6 ∙ 106 | 2.6 ∙ 107 | 1.3 ∙ 108 |
Коэффициенты определялись следующим образом. С выхода “SINE OUT” внутреннего генератора усилителя SR830 синусоидальный сигнал требуемой частоты с амплитудой V0 (действующее значение) подавался на вход измерителя через делитель напряжения. Верхним плечом делителя являлось балластное сопротивление RB = 10 МОм, а нижним плечом – эквивалентная шунтирующая емкость С = 62 пФ. Разъем Выход 2 измерителя (рис. 1) был присоединен к входу усилителя SR830, опорные импульсы для которого вырабатывались внутренним генератором. Для заданной частоты f и фиксированного состояния K1 и K2 с учетом входной емкости CIN ОУ M1 (CS ≈C + CIN) коэффициент преобразования рассчитывался по формуле
(6)
где Ve – амплитуда (действующее значение) выходного сигнала SR830. При подаче на вход измерителя через этот же делитель постоянного напряжения Vc и измерении на разъеме Выход 1 мультиметром Keithley 2000 отклика Vr был вычислен коэффициент преобразования по постоянному току R≈RBVr /Vc ≈ 1.1 ∙ 106 В/А.
RMCD-СПЕКТРОСКОПИЯ ПЛЕНКИ GaMnAs
С использованием селективного измерителя в составе RMCD-спектрометра [3] были выполнены тестовые измерения спектра магнитного кругового дихроизма пленки GaMnAs толщиной 130 нм, выращенной на подложке GaAs(100). Относительно слабый при комнатной температуре магнитооптический отклик этого образца обусловлен присутствием в полупроводниковой матрице ферромагнитных нанокластеров MnAs (температура Кюри около 320 K) [14]. Измерения проводились в автоматическом режиме в диапазоне длин волн 400–800 нм при комнатной температуре. Исследуемый образец размещался в центре грани SmCo-магнита, представляющего собой куб с длиной ребра 35 мм, для которой вектор магнитной индукции B0 направлен нормально (|B0| ≈ 5.67 кГс) [3]. Из оптической части спектрометра был удален анализатор. Процедура регистрации паразитной составляющей VS и спектральных зависимостей постоянных сигналов V=(λ) и VC(λ) аналогична описанной выше, а гармоническая компонента Vf(λ) (на частоте фазовой модуляции fPEM) находилась из экспериментальных данных по следующему алгоритму. В заданном диапазоне сканирования по длинам волн с помощью двухфазного синхронного усилителя SR830 измерялись амплитуда полного сигнала и фазовый сдвиг ∆θ(λ), причем перед измерениями осуществлялась автоматическая установка фазы. Здесь VX и VY – синфазная и квадратурная составляющие вектора исследуемого сигнала по отношению к опорному соответственно [15].
На частотах fPEM и 2fPEM инерционность ФЭУ пренебрежимо мала во всем диапазоне длин волн. В этом случае спектральная зависимость ∆θ(λ) примерно постоянна, если во всем исследуемом диапазоне длин волн полярность эффекта RMCD не меняется. Значительное изменение зависимости ∆θ(λ) будет наблюдаться вблизи длин волн, где происходит смена полярности эффекта. Тогда гармоническую компоненту Vf(λ) можно определить из экспериментальных зависимостей VR(λ) и ∆θ(λ) по формуле
(7)
где ∆θ0 ≈ 62° – постоянный сдвиг фаз, вносимый электронной схемой селективного измерителя [15]. Предварительный эксперимент показал, что в области длин волн, где полярность RMCD положительна, ∆θ(λ) ≈ ∆θ0 и Vf(λ) = VR(λ).
На рис. 4 представлена зависимость величины сигнала RMCD Vf(λ)/VC(λ) от длины волны света для тестового образца GaMnAs. Наблюдается качественное согласие RMCD-спектра с опубликованным спектром экваториального эффекта Керра (TKE, transverse Kerr effect) пленки GaMnAs [14] в совпадающих спектральных диапазонах. Сигналы в RMCD- и TKE-спектрах близки по величине, в каждом из спектров наблюдается смена полярности эффекта, а спектральные особенности локализованы при близких длинах волн. Эти данные свидетельствуют о корректности применения алгоритма для нахождения компоненты Vf(λ) из экспериментальных спектральных зависимостей VR(λ) и ∆θ(λ).
Рис. 4. Спектр RMCD(λ) пленки GaMnAs. Точки – зависимость отношения Vf /VC от длины волны, сплошная кривая – результат полиномиальной регрессии массива данных, представленных точками. Штриховая линия разделяет области различной полярности RMCD. Больший разброс значений сигнала RMCD в коротковолновой области спектра обусловлен низкой интенсивностью монохроматического света. Ток накала igl = 8.4 А, напряжение VPMT = −688 В, ширина dsl = 0.2 мм, δ0 = 0.293. Коэффициент преобразования по переменному току |Z~ (f)| 1.3∙106.
ЗАКЛЮЧЕНИЕ
Результаты тестовых испытаний представленного селективного измерителя токов ФЭУ и приведенный пример его использования в RMCD-спектроскопии демонстрируют высокую эффективность измерительной схемы. Величина ∆dev ~ 1% для скорректированной компоненты V= свидетельствует о том, что спектральная зависимость отношения Vf(λ)/ VC(λ) определяет спектр RMCD [3]. На базе измерителя несложно также реализовать весьма популярный режим V= = const [10], который осуществляется соответствующей подстройкой напряжения VPMT. При этом в условиях, отвечающих соотношению |V=| >> |VS|, паразитную составляющую можно не учитывать, однако V= ~ VS в области спектра, отвечающей малой интенсивности падающего монохроматического излучения. В этом случае режим V= = const малоэффективен, поскольку изменение напряжения VPMT изменяет смещение VS (см. рис. 2). Для коррекции малого сигнала V= необходимо фиксировать эти изменения, что сильно усложняет эксперимент.
Отметим, что если фаза гармонической компоненты Vf(λ) нестабильна, то автоматическая установка фазы усилителя SR830 прерывается. Такая ситуация может наблюдаться при измерении токов ФЭУ с помощью преобразователя ток–напряжение [3] из-за нестабильности этой схемы измерений (см. выше). Предлагаемый селективный измеритель лишен этого недостатка, что подтверждается малыми значениями ∆dev (по сравнению с данными в работе [3]) и регистрацией контрольного спектра RMCD(λ) пленки GaMnAs с малой величиной сигнала и сменой полярности RMCD.
Разработанная схема селективного измерителя компонент полного тока ФЭУ по своим параметрам не уступает известным промышленным реализациям компании Hamamatsu [9]. Описанный измеритель может использоваться в различных методиках поляризационной спектроскопии, использующих метод фазовой модуляции поляризованной световой волны с помощью фотоупругого модулятора [13]. Тестовые измерения показали, что основным источником в суммарном паразитном смещении VS является “световое загрязнение”, которое следует минимизировать тщательным затемнением оптической части RMCD-спектрометра. В коротковолновой области спектра при малых интенсивностях полезного светового сигнала вклад излучения, рассеянного в монохроматоре, можно существенно уменьшить установкой отсекающего светофильтра непосредственно перед входным окном ФЭУ.
В данной работе тестовые измерения и запись контрольного RMCD-спектра выполнены в спектральном диапазоне 400–800 нм, ограниченном использованной стеклянной оптикой и областью чувствительности ФЭУ. Расширить спектральный диапазон в коротковолновую область позволяет использование соответствующей оптики (например, из кварцевого стекла), а в качестве источника излучения – ксеноновой или дейтериевой лампы [10]. Расширение рабочего диапазона в длинноволновую область требует высокочастотных ИК-приемников излучения.
ФИНАНСИРОВАНИЕ РАБОТЫ
Работа выполнена в рамках государственного задания ИРЭ им. В. А. Котельникова РАН.
1 Для этих значений R* и C* с учетом оценочной величины CS ≈ 50 пФ частота среза делителя фототока fC ≈ 590 Гц.
2 Присутствующие в схеме фокусирующие линзы из оптического стекла (см. [3]) не показаны.
3 При фазовой модуляции составляющие V= и V ~ (t) – компоненты разложения в ряд Фурье периодического сигнала V(t) [1, 2].
4 Такая схема используется в спектроскопии RMCD [2, 3].
5 Измерение гармонической компоненты V2f проводилось при разомкнутых переключателях К1 и К2, рис. 1.
Об авторах
Ю. В. Маркин
Институт радиотехники и электроники им. В.А. Котельникова Российской академии наук, Фрязинский филиал
Email: markin@fireras.su
Россия, Фрязино, Московская обл.
З. Э. Кунькова
Институт радиотехники и электроники им. В.А. Котельникова Российской академии наук, Фрязинский филиал
Автор, ответственный за переписку.
Email: markin@fireras.su
Россия, Фрязино, Московская обл.
Список литературы
- Sato K. // Jpn. J. Appl. Phys. 1981. V. 20. № 12. P. 2403. https://doi.org/10.1143/JJAP.20.2403
- Martens J.W.D., Peeters W.L., Nederpel P.Q.J., Erman M. // J. Appl. Phys. 1984. V. 55. № 4. P. 1100. https://doi.org/10.1063/1.333199
- Маркин Ю.В., Кунькова З.Э. // ПТЭ. 2023. № 6. С. 74. https://doi.org/10.31857/S0032816223040031
- Oakberg T.C., Bryan A.J. // Proc. SPIE. 2002. V. 4819. P. 98. https://doi.org/10.1117/12.450859
- Drake A.F. // J. Phys. E: Sci. Instrum. 1986. V. 19. № 3. P. 170. https://doi.org/10.1088/0022-3735/19/3/002
- Photomultiplier Tubes. Basics and Applications. Hamamatsu Photonics K.K., Electron Tube Division, 2006.
- Greeuw G., Hillen M.W., Köhnke G. H. P. // Rev. Sci. Instrum. 1982. V. 53. № 9. P. 1452. https://doi.org/10.1063/1.1137195
- Hädener K., Bergamasco S., Calzaferri G. // Rev. Sci. Instrum. 1988. V. 59. № 9. P. 1924. https://doi.org/10.1063/1.1140052й ссылке
- Photomultiplier Tubes. Photomultiplier Tubes and Related Products. Hamamatsu Photonics K.K., Electron Tube Division, 2010.
- Van Drent W.P., Suzuki T. // J. Magn. Magn. Mater. 1997. V. 175. № 1-2. P. 53. https://doi.org/10.1016/S0304-8853(97)00227-8
- Мустель Е.Р., Парыгин В.Н. Методы модуляции и сканирования света. М.: Наука, 1970.
- Мигдал А.Б. Качественные методы в квантовой теории. М.: Наука, 1975.
- Hipps K.W., Crosby G.A. // J. Phys. Chem. 1979. V. 83. № 5. P. 555. https://doi.org/10.1021/j100468a001
- Ganў shina E.A., Golik L.L., Kovalev V.I., Kunkova Z.E., Temiryazeva M.P., Danilov Yu.A., Vikhrova O.V., Zvonkov B.N., Rubacheva A.D., Tcherbak P.N., Vinogradov A.N. // Sol. St. Phenomena. 2010. V. 168-169. P. 35. https://doi.org/10.4028/www.scientific.net/SSP.168-169.35
- Libbrecht K.G., Black E.D., Hirata C.M. // Am. J. Phys. 2003. V. 71. № 11. P. 1208. https://doi.org/10.1119/1.1579497
Дополнительные файлы







