Генератор мощных наносекундных импульсов квазипрямоугольной формы
- Авторы: Коротков С.В.1, Жмодиков А.Л.1, Коротков Д.А.1
-
Учреждения:
- Физико-технический институт им. А.Ф. Иоффе Российской академии наук
- Выпуск: № 5 (2024)
- Страницы: 92-96
- Раздел: ЭЛЕКТРОНИКА И РАДИОТЕХНИКА
- URL: https://journal-vniispk.ru/0032-8162/article/view/285717
- DOI: https://doi.org/10.31857/S0032816224050106
- EDN: https://elibrary.ru/ETCIUA
- ID: 285717
Цитировать
Полный текст
Аннотация
Разработан генератор мощных наносекундных импульсов, содержащий накопительный конденсатор, отрезок коаксиального кабеля, а также замыкающий и размыкающий полупроводниковые ключи. При напряжении зарядки накопительного конденсатора 12 кВ генератор позволяет коммутировать в нагрузку 75 Ом квазипрямоугольные импульсы напряжения с амплитудой около 26 кВ, фронтом длительностью примерно 4 нс и спадом длительностью примерно 6 нс. Длительность импульсов по полувысоте составляет около 45 нс, “джиттер” относительно внешнего запускающего сигнала менее 2 нс. Показана возможность увеличения выходной мощности генератора и длительности импульсов выходного напряжения.
Полный текст
1. ВВЕДЕНИЕ
В настоящее время высоковольтные импульсы наносекундной длительности используются во многих областях науки и техники, например, для создания высоковольтных электрических разрядов в технологических и экспериментальных устройствах. Высокая надежность электроразрядных устройств может быть обеспечена, когда высокое напряжение прикладывается к межэлектродному промежутку в течение достаточно длительного времени, которое определяется разбросом моментов пробоя. В устройствах с большим межэлектродным расстоянием оно может составлять десятки нс.
Для создания мощных наносекундных разрядов широко применяются генераторы на основе емкостного накопителя энергии (ЕНЭ) и замыкающего ключа, способные формировать медленно спадающие импульсы высокого напряжения с длительностью десятки и сотни нс. Их основным недостатком является то, что величина входного напряжения, определяемая напряжением зарядки ЕНЭ, должна превышать амплитуду выходного импульса напряжения. В этой связи определенным преимуществом обладают генераторы на основе индуктивного накопителя энергии (ИНЭ) и прерывателя тока, в которых амплитуда выходных импульсов напряжения может быть существенно больше величины входного напряжения.
Хорошо известны генераторы высоковольтных наносекундных импульсов с прерывателями тока в виде блоков последовательно соединенных диодов с временем выключения порядка наносекунд. В качестве таких диодов используются диоды DSRD [1], а также SOS-диоды [2], которые способны эффективно работать при более высокой, по сравнению с DSRD, плотности тока, но которые имеют несколько большее время выключения.
В генераторе с диодным прерывателем тока коммутируемая в нагрузку энергия исходно накапливается в сравнительно низковольтном накопительном конденсаторе. Когда происходит разряд конденсатора, то через диодные структуры прерывателя в прямом направлении протекает ток с принципиально малой длительностью (не более 300–400 нс), который позволяет накопить заряд вблизи эмиттеров диодных структур. Затем по цепи, содержащей диодный прерыватель и ИНЭ, пропускается быстро нарастающий ток с противоположной полярностью. При этом из диодных структур выносится накопленный заряд, они выключаются и протекающий через диодный прерыватель ток ID коммутируется в параллельную цепь нагрузки.
Определенным недостатком генераторов с ИНЭ является то, что после достижения максимального значения выходной импульс напряжения экспоненциально убывает с постоянной времени T = L/Z (L – индуктивность ИНЭ, Z – сопротивление нагрузки). Таким образом, медленный спад выходного напряжения, требуемый для обеспечения надежного разряда при нестабильной задержке пробоя межэлектродного промежутка, может быть получен только при большой индуктивности L. В результате при формировании мощного импульса тока ID сложным становится обеспечение его принципиально малой длительности, необходимой для быстрого выключения диодов.
Этот недостаток устранен в разработанном генераторе.
2. ОПИСАНИЕ УСТРОЙСТВА
Электрическая схема разработанного генератора приведена на рис. 1. Она построена на основе схемы, рассмотренной в работе [3]. Формирование наносекундных импульсов квазипрямоугольной формы осуществляется с помощью накопительного конденсатора С1, замыкающего ключа SID в виде блока последовательно соединенных динисторов с ударной ионизацией [4], формирующей линии в виде отрезка коаксиального кабеля (КК) и прерывателя тока в виде блока DSRD.
Рис. 1. Электрическая схема генератора наносекундных импульсов квазипрямоугольной формы. КК: РК75-7-11, длина 4 м; SID: диаметр структур 16 мм, 6 шт. последовательно; DSRD: диаметр структур 20 мм, 48 шт. последовательно.
Принцип работы генератора заключается в следующем. В исходном состоянии накопительный конденсатор С1 заряжен до напряжения питания U0. После включения блока SID он перезаряжается. Ток перезарядки протекает через индуктивность L1, а также по цепи DRSD-КК-C2. Длительность этого процесса значительно превышает время пробега электромагнитной волны по кабелю КК, поэтому основное влияние на процесс перезарядки С1 оказывает индуктивность кабеля. Протекающий через DSRD и КК ток обеспечивает зарядку конденсатора С2 и накопление заряда в диодных структурах блока DSRD. Затем через выходную цепь, содержащую кабель КК и блок DSRD, протекает ток разряда конденсаторов С1, С2, который выносит из диодных структур накопленный заряд. Когда блок DSRD выключается, в нагрузку Z через коаксиальный кабель КК1 коммутируется энергия, накопленная в кабеле КК и в монтажных индуктивностях элементов выходной цепи. При этом на нагрузке формируется квазипрямоугольный импульс напряжения.
Для включения блока SID используется описанная в работе [5] цепь управления ЦУ. Она выполнена аналогично основной цепи генератора и содержит маломощный диодный прерыватель тока, замыкающий ключ в виде тиристора и накопительный конденсатор, исходно заряженный до напряжения 2 кВ. ЦУ формирует импульс запускающего напряжения с фронтом длительностью примерно 3 нс, амплитуда которого существенно (примерно в 2 раза) превышает величину напряжения, приложенного к блоку SID. При этом в динисторных структурах этого блока инициируется процесс ударной ионизации, обеспечивающий их переключение в хорошо проводящее состояние за время менее 1 нс. Затем высокая проводимость динисторных структур поддерживается благодаря инжекции носителей из эмиттерных областей.
3. ЭКСПЕРИМЕНТАЛЬНЫЕ ИССЛЕДОВАНИЯ
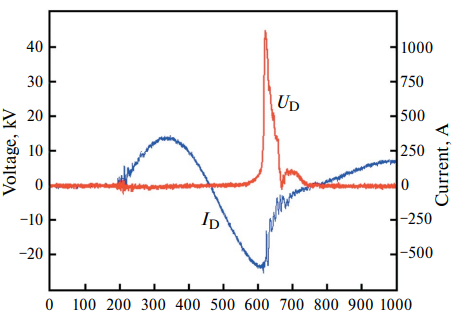
На рис. 2 приведены осциллограммы тока ID через блок DSRD и напряжения UD на блоке DSRD, полученные при подключении к выходу кабеля КК1 резистора Z = 75 Ом. На рис. 3 приведена осциллограмма импульса напряжения UZ на резисторе Z. Колебания на кривой ID обусловлены волновыми свойствами кабеля КК. Всплески напряжения на кривых UD, UZ определяются влиянием монтажных индуктивностей элементов выходной цепи генератора.
Рис. 2. Осциллограммы тока ID через блок DSRD и напряжения UD на этом блоке.
Рис. 3. Осциллограмма напряжения UZ на нагрузке Z = 75 Ом.
Как следует из осциллограмм, амплитуда и длительность прямого тока через блок DSRD составляют соответственно примерно 400 А и примерно 270 нс. Блок DSRD выключается примерно через 200 нс после коммутации в него обратного тока при амплитуде этого тока примерно 550 А. Амплитуда импульса напряжения на нагрузке составляет около 26 кВ, длительность фронта примерно 4 нс, длительность спада примерно 6 нс, длительность импульса по полувысоте около 45 нс.
Представленные осциллограммы были получены при зарядке конденсатора С1 до напряжения U0 = 12 кВ с помощью цифрового осциллографа Tektronix TDS3052C с полосой 500 МГц. Для измерения тока использовался пояс Роговского, который был калиброван с помощью датчика тока, полученного от Pearson Electronics, Inc. (модель 410). Для измерения напряжения использовался пробник Tektronix P6015A. Нагрузка была выполнена в виде сборки малоиндуктивных резисторов типа ТВО, обеспечивающих возможность работы генератора на частоте 500 Гц.
В процессе экспериментов была определена нестабильность фронта импульса напряжения на нагрузке относительно фронта импульса управления замыкающего ключа цепи ЦУ. При 5процентной точности установки напряжений зарядки конденсатора С1 и накопительного конденсатора цепи ЦУ разброс моментов приложения к нагрузке импульсов высокого напряжения не превышал 2 нс.
На рис. 4, 5 приведены осциллограммы, иллюстрирующие работу альтернативного генератора, в котором вместо коаксиального кабеля КК использовалась индуктивность, эквивалентная индуктивности этого кабеля.
Рис. 4. Осциллограммы тока ID через блок DSRD и напряжения UD на этом блоке при замене кабеля на индуктивность.
Рис. 5. Осциллограмма напряжения UZ на нагрузке Z = 75 Ом при замене кабеля на индуктивность.
При сравнении осциллограмм на рис. 3, 5 видно, что использование коаксиального кабеля позволяет увеличить длительность импульса UZ по полувысоте с 25 нс до 45 нс.
На рис. 6, 7 приведены осциллограммы напряжений UD на блоке DSRD и напряжения UK на конце кабеле КК1, полученные, когда нагрузка Z была отключена.
Рис. 6. Осциллограмма напряжения UD на блоке DSRD при отключенной нагрузке.
Рис. 7. Осциллограмма напряжения UK на конце кабеля КК1 при отключенной нагрузке.
На рис. 8, 9 показаны осциллограммы напряжения UD на блоке DSRD и напряжения UZ на нагрузке, полученные при использовании в качестве нагрузки искрового разрядника, заполненного атмосферным воздухом.
Рис. 8. Осциллограмма напряжения UD на блоке DSRD при использовании разрядника.
Рис. 9. Осциллограмма напряжения на разряднике, подключенном к концу кабеля КК1.
4. ВЫВОДЫ
Таким образом, разработанный генератор на основе малогабаритных блоков SID и DSRD позволяет формировать на нагрузке 75 Ом импульсы напряжения квазипрямоугольной формы с амплитудой около 26 кВ и длительностью по полувысоте примерно 45 нс. Длительности фронта и спада импульсов составляют соответственно примерно 4 нс и примерно 6 нс, нестабильность фронта относительно внешнего запускающего сигнала не превышает 2 нс.
Принципы построения разработанного генератора обеспечивают возможность увеличения выходной мощности и длительности импульсов выходного напряжения.
Выходная мощность генератора может быть увеличена при увеличении выходного тока путем увеличения напряжения зарядки накопительного конденсатора С1. Возникающая при этом задача разработки более мощных блоков SID и DSRD может быть решена при использовании в этих блоках большего количества последовательно соединенных диодных и динисторных структур, а также при увеличении рабочей площади этих структур и при использовании параллельного соединения блоков.
Длительность импульсов выходного напряжения может быть увеличена путем увеличения длины кабеля КК. Поскольку при этом увеличивается его индуктивность, принципиально малая длительность тока через блок DSRD может быть достигнута при уменьшении емкости конденсатора С1.
Об авторах
С. В. Коротков
Физико-технический институт им. А.Ф. Иоффе Российской академии наук
Автор, ответственный за переписку.
Email: korotkov@mail.ioffe.ru
Россия, 194021, Санкт-Петербург, ул. Политехническая, 26
А. Л. Жмодиков
Физико-технический институт им. А.Ф. Иоффе Российской академии наук
Email: korotkov@mail.ioffe.ru
Россия, 194021, Санкт-Петербург, ул. Политехническая, 26
Д. А. Коротков
Физико-технический институт им. А.Ф. Иоффе Российской академии наук
Email: korotkov@mail.ioffe.ru
Россия, 194021, Санкт-Петербург, ул. Политехническая, 26
Список литературы
- Grekhov I.V., Efanov V.M, Kardo-Sysoev A.F., Shenderey S.V. // Solid-State Electron. 1985. V. 28. P. 597.
- Рукин С.Н. // ПТЭ. 1999. № 4. С. 5.
- Korotkov S.V., Aristov Yu.V., Zhmodikov A.L. // IEEE Trans. Plasma Sci. 2022. V. 50. P. 954. https://doi.org/10.1109/TPS.2022.3156386
- Korotkov S.V., Yu.V. Aristov, Korotkov D.A., Zhmodikov A.L. // Rev. Sci. Instr. 2020. V. 91. P. 084704. https://doi.org/10.1063/5.0015284
- Коротков С. В., Аристов Ю.В., Козлов К.А. // ПТЭ. 2023. № 4. С. 70. https://doi.org/10.31857/S0032816223040134
Дополнительные файлы











