Разработка быстрого монитора положения и интенсивности пучка синхротронного излучения для экспериментов по изучению быстропротекающих процессов
- Авторы: Аульченко В.М.1, Винник А.Е.2, Глушак А.А.1,3,4,2,5,6, Зарубин А.Н.2, Корниевский М.А.1,4,6, Скакунов М.С.2, Толбанов О.П.2, Тяжев А.В.2, Шехтман Л.И.1,3,2,6
-
Учреждения:
- Институт ядерной физики имени Г.И. Будкера Сибирского отделения Российской академии наук
- Томский государственный университет
- Новосибирский государственный университет
- Новосибирский государственный технический университет
- Институт катализа им. Г.К. Борескова Сибирского отделения Российской академии наук
- Институт химии твердого тела и механохимии Сибирского отделения Российской академии наук
- Выпуск: № 5 (2024)
- Страницы: 113-125
- Раздел: ОБЩАЯ ЭКСПЕРИМЕНТАЛЬНАЯ ТЕХНИКА
- URL: https://journal-vniispk.ru/0032-8162/article/view/285722
- DOI: https://doi.org/10.31857/S0032816224050139
- EDN: https://elibrary.ru/ESQPFQ
- ID: 285722
Цитировать
Аннотация
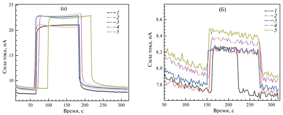
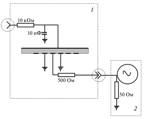
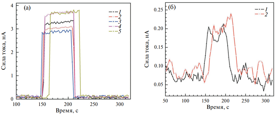
Представлена предлагаемая концепция конструкции и устройства электроники быстрого монитора положения и интенсивности пучка синхротронного излучения. В качестве возможных детекторов для быстрого монитора пучка в статье исследуются сенсоры на основе радиационно-стойких материалов, лейкосапфира и карбида кремния. Испытания детекторов на основе лейкосапфира и карбида кремния показали, что оба материала подходят в качестве фотодетекторов для регистрации быстрых сигналов от коротких вспышек белого пучка синхротронного излучения от каждого сгустка электронов в накопителе. Токовые импульсы, генерируемые детекторами на основе этих материалов, имеют длительность до 20 нс. При этом сигнал, генерируемый сенсором на основе карбида кремния, превышает соответствующий сигнал от сенсора на основе лейкосапфира в 3.9 раза при условии одинаковой толщины сенсоров.
Полный текст
Об авторах
В. М. Аульченко
Институт ядерной физики имени Г.И. Будкера Сибирского отделения Российской академии наук
Email: L.I.Shekhtman@inp.nsk.su
Россия, 630090, Новосибирск, просп. Лаврентьева, 11
А. Е. Винник
Томский государственный университет
Email: L.I.Shekhtman@inp.nsk.su
Россия, 634050, Томск, пр. Ленина, 36
А. А. Глушак
Институт ядерной физики имени Г.И. Будкера Сибирского отделения Российской академии наук; Новосибирский государственный университет; Новосибирский государственный технический университет; Томский государственный университет; Институт катализа им. Г.К. Борескова Сибирского отделения Российской академии наук; Институт химии твердого тела и механохимии Сибирского отделения Российской академии наук
Email: L.I.Shekhtman@inp.nsk.su
Центр коллективного пользования “Сибирский кольцевой источник фотонов” Института катализа им. Г.К. Борескова Сибирского отделения Российской академии наук
Россия, 630090, Новосибирск, просп. Лаврентьева, 11; 630090, Новосибирск, ул. Пирогова, 2; 630073, Новосибирск, пр. Карла Маркса, 20; 634050, Томск, пр. Ленина, 36; 630559, Новосибирская обл., р.п. Кольцово, пр. Никольский, 1; 630090, Новосибирск, ул. Кутателадзе, 18А. Н. Зарубин
Томский государственный университет
Email: L.I.Shekhtman@inp.nsk.su
Россия, 634050, Томск, пр. Ленина, 36
М. А. Корниевский
Институт ядерной физики имени Г.И. Будкера Сибирского отделения Российской академии наук; Новосибирский государственный технический университет; Институт химии твердого тела и механохимии Сибирского отделения Российской академии наук
Email: L.I.Shekhtman@inp.nsk.su
Россия, 630090, Новосибирск, просп. Лаврентьева, 11; 630073, Новосибирск, пр. Карла Маркса, 20; 630090, Новосибирск, ул. Кутателадзе, 18
М. С. Скакунов
Томский государственный университет
Email: L.I.Shekhtman@inp.nsk.su
Россия, 634050, Томск, пр. Ленина, 36
О. П. Толбанов
Томский государственный университет
Email: L.I.Shekhtman@inp.nsk.su
Россия, 634050, Томск, пр. Ленина, 36
А. В. Тяжев
Томский государственный университет
Email: L.I.Shekhtman@inp.nsk.su
Россия, 634050, Томск, пр. Ленина, 36
Л. И. Шехтман
Институт ядерной физики имени Г.И. Будкера Сибирского отделения Российской академии наук; Новосибирский государственный университет; Томский государственный университет; Институт химии твердого тела и механохимии Сибирского отделения Российской академии наук
Автор, ответственный за переписку.
Email: L.I.Shekhtman@inp.nsk.su
Россия, 630090, Новосибирск, просп. Лаврентьева, 11; 630090, Новосибирск, ул. Пирогова, 2; 634050, Томск, пр. Ленина, 36; 630090, Новосибирск, ул. Кутателадзе, 18
Список литературы
- Аульченко В.М., Жуланов В.В., Кулипанов Г.Н. и др. // УФН. 2018.Т. 188. № 6. С. 577. https://doi.org/10.3367/UFNr.2018.01.038339
- Aulchenko V.M., Baru S.E., Evdokov O.V. et al. // Nucl. Instrum. Methods. Phys. Res. A. 2010. V. 623. P. 600. http://doi.org/10.1016/j.nima.2010.03.083
- Aulchenko V., Ponomarev S., Shekhtman L. et al. // Nucl. Instrum. Methods. Phys. Res. A. 2003. V. 513. P. 388. http://doi.org/10.1016/j.nima.2003.08.067
- Shekhtman1 L.I., Aulchenko1 V.M., Bondar A.E. et al. // J. Instrum. 2012. V. 7. P. C03021. http://doi.org/10.1088/1748-0221/7/03/C03021
- Aulchenko V., Papushev P., Ponomarev S., Shekhtman L., Zhulanov V. // J. Synchrotron Rad. 2003. V. 10. P. 361. http://doi.org/10.1107/S0909049503009142
- Tolochko B.P., Kosov A.V., Evdokov O.V. et al. // Physics Procedia. 2016. V. 84. P. 427. http://doi.org/10.1016/j.phpro.2016.11.072
- Piminov P.A., Baranov G.N., Bogomyagkov A.V. et al. // Physics Procedia. 2016. V. 84. P. 19. https://doi.org/10.1016/J.PHPRO.2016.11.005
- Aulchenko A., Zhulanov V., Shekhtman L. et al. // Nucl. Instrum. Methods. Phys. Res. A. 2005. V. 543. P. 350. http://doi.org/10.1016/j.nima.2005.01.254
- Aulchenko V.M., Evdokov O.V., Shekhtman L.I. et al. // J. Instrum. 2008. V. 3. P05005. http://doi.org/10.1088/1748-0221/3/05/P05005
- Aulchenko V.M., Evdokov O.V., Shekhtman L.I. et al. // Nucl. Instrum. Methods. Phys. Res. A. 2009. V. 603. P. 73. http://doi.org/10.1016/j.nima.2008.12.163
- Аульченко В.М., О.В. Евдоков, Жогин И.Л. и др. // ПТЭ. 2010. № 3. С. 20. http://doi.org/10.1134/S0020441210030036
- Shekhtman L.I., Aulchenko V.M., Kudryavtsev V.N. et al. // Physics Procedia. 2016. V. 84. P. 189. http://doi.org/10.1016/j.phpro.2016.11.033
- Aulchenko V.M., Pruuel E.R., Shekhtman L.I. et al. // Nucl. Instrum. Methods. Phys. Res. A. 2017. V. 845. P. 169. http://doi.org/10.1016/j.nima.2016.05.096
- Шехтман Л.И., Аульченко В.М., Жуланов В.В. и др.// Известия РАН. Серия Физическая. 2019. Т. 83. № 2. С. 269 http://doi.org/10.3103/S1062873819020254
- Shekhtman L.I., Aulchenko V.M., Kudryavtsev V.N. et al. // AIP Conf. Proc. 2020. V. 2299. P. 050004. http://doi.org/10.1063/5.0030393
- Shekhtman L., Aulchenko V., Kudashkin D. et al. // Nucl. Instrum. Methods. Phys. Res. A. 2020. V. 958. P. 162655. http://doi.org/10.1016/j.nima.2019.162655
- Рубцов И.А., Зубавичус Я.В.., Тен К.А.и др. // Известия РАН. Серия Физическая. 2023. Т. 87. № 5. С. 680. http://dx.doi.org/10.3103/S1062873822701751
- https://srf-skif.ru/index.php
- http://www.esrf.eu/Instrumentation/software/data-analysis/xop2.4.
- Зебрев Г.И. Радиационные эффекты в кремниевых интегральных схемах высокой степени интеграции. НИЯУ МИФИ. 2010. http://www.нано-е.рф/uploads/files/Zebrev_Radiacionnye_effekty.pdf?ysclid=lrpzxtxbdy 14794400
Дополнительные файлы



















