Система измерения поля в широкоапертурных магнитах физических установок на ускорительном комплексе У-70
- Authors: Алферов В.Н.1, Васильев А.Н.1,2, Васильев Д.А.1, Кормилицын В.А.1, Лутчев А.В.1, Мещанин А.П.1, Минаев Н.Г.1, Мочалов В.В.1,2, Рыков В.Л.2, Рябов А.Д.1, Рябова Т.Д.1, Семенов П.А.1,2, Соловьев В.А.1, Федорченко В.Н.1, Холкин А.Н.1
-
Affiliations:
- Институт физики высоких энергий им. А.А. Логунова Национального исследовательского центра “Курчатовский институт”
- Национальный исследовательский ядерный университет “МИФИ”
- Issue: No 5 (2024)
- Pages: 133-147
- Section: ОБЩАЯ ЭКСПЕРИМЕНТАЛЬНАЯ ТЕХНИКА
- URL: https://journal-vniispk.ru/0032-8162/article/view/285726
- DOI: https://doi.org/10.31857/S0032816224050152
- EDN: https://elibrary.ru/ESJCIN
- ID: 285726
Cite item
Full Text
Abstract
Приведено описание системы магнитных измерений в больших объемах на основе датчиков Холла, разработанной в НИЦ “Курчатовский институт”–ИФВЭ, вместе с примером ее практического использования для измерения топографии поля спектрометрического магнита эксперимента СПАСЧАРМ на ускорительном комплексе У-70. В этих измерениях особое внимание было уделено калибровкам, контролю за стабильностью параметров, точности позиционирования датчиков в апертуре магнита и их ориентации. Представлены также дальнейшее развитие системы и изучение ее возможностей для улучшения точности и сокращения времени измерений и в целом для повышения гибкости в применениях.
Full Text
1. ВВЕДЕНИЕ
Широкоапертурные спектрометрические магниты являются неотъемлемой частью физических установок с большим угловым аксептансом на ускорителях. Магнитное поле в них, отклоняющее вторичные заряженные частицы, обычно занимает большой объем, до нескольких кубических метров, и, как правило, является существенно неоднородным. Рис. 1 дает представление о том, как выглядит такой типичный магнит [1].
Рис. 1. Широкоапертурный спектрометрический магнит эксперимента СПАСЧАРМ. Стальные экраны для защиты трековых детекторов от рассеянного магнитного поля не показаны.
Погрешности в знании отклоняющей силы магнита в его рабочей апертуре напрямую отражаются на важнейшей физической характеристике спектрометра – его импульсном разрешении, т. е. на ошибках измерения импульсов заряженных вторичных частиц. Поэтому точность знания топографии поля должна быть, во всяком случае, не хуже целевой точности импульсного разрешения. В эксперименте СПАСЧАРМ (спиновые асимметрии в образовании чармония) например, требуется, чтобы импульсное разрешение для частиц с импульсами до 10 ГэВ/с было не хуже, чем ±0.4% [2]. Следовательно, с некоторым запасом на другие источники ошибок, отклоняющая сила спектрометрического магнита СПАСЧАРМ вдоль любой траектории в пределах аксептанса должна быть известна с погрешностью не более ±(0.2–0.3)%.
Столь высокая точность в довольно сложной геометрии магнитов обычно обеспечивается сочетанием численных расчетов и последующим сопоставлением их с магнитными измерениями в рабочей апертуре или как минимум в значительной ее части. Как правило, в расчетах присутствуют неопределенности, связанные с плохим знанием магнитных характеристик использованных материалов, а также с абстрагированием от мелких деталей реальной конструкции. При необходимости результаты магнитных измерений используются для корректировки расчетной картины.
В данной работе описана система магнитных измерений (СМИ) на базе датчиков Холла, разработанная и созданная в НИЦ “Курчатовский Институт” – ИФВЭ. Представленная здесь СМИ предназначена для восстановления топографии поля в больших объемах. Приведены результаты ее использования в измерениях на спектрометрическом магните [1] эксперимента СПАСЧАРМ [2]. Предыдущая версия этой СМИ использовалась для получения карты поля большого магнита установки спектрометр с вершинным детектором (СВД) [3, 4]. По оценкам авторов, достигнутая тогда относительная точность измерений поля составила около ±(1–5)%, что в абсолютных единицах равно ±(5–8) мТл.
В последующем в рамках развития настоящей СМИ в нее был внесен ряд усовершенствований. В частности, были добавлены и испытаны прецизионное автоматическое перемещение вертикальной кассеты с датчиками Холла вдоль второй горизонтальной оси, а также возможность проведения измерений в процессе непрерывного движения датчиков.
В измерениях топографии магнитного поля спектрометрического магнита СПАСЧАРМ в большей части рабочего объема вдали от острых ребер и углов стальных полюсов была достигнута точность измерений около ±1 мТл, что составляет ±0.2% от индукции 0.54 Тл в центре магнита. Вблизи ребер и углов, где очень высока чувствительность к позиционированию датчиков, погрешности несколько больше: до ±2 мТл, т. е. до ±0.4% от поля в центре. Важнейшим условием для получения таких результатов был, прежде всего, постоянный контроль за стабильностью всех составляющих системы от вариаций поля магнита и чувствительности датчиков Холла до повторяемости их позиционирования в рабочем объеме. Кроме того, при обработке данных были извлечены и приняты во внимание коррекции на индивидуальную ориентацию каждого датчика, а также учтены нелинейности каналов измерений, полученные в результате их калибровки в магните с хорошей однородностью поля. Важную часть работы составила прецизионная геометрическая привязка расчетной и измеренной карт поля по комбинации двух подходов: по наилучшему наложению карт друг на друга и по результатам прямых геодезических измерений.
2. ОПИСАНИЕ СИСТЕМЫ МАГНИТНЫХ ИЗМЕРЕНИЙ
2.1. Датчики
Измерение всех трех компонент индукции магнитного поля выполнялось сборками полупроводниковых арсенид-галлиевых датчиков Холла производства ООО “Вега–Флекс”. Каждая сборка содержит три датчика типа ПХЭ602817В со следующими характеристиками:
- ток питания: 100 мА;
- магнитная чувствительность при В = 0.1 Тл: 60–75 мкВ/мТл;
- входное сопротивление: 4.5 Ом;
- температурный коэффициент чувствительности: –0.004%/°С.
Тройка датчиков для трех координат монтируется в центре квадратного контейнера из капролона размером 40 × 40 мм2. Контейнеры с датчиками устанавливаются в желоб алюминиевой кассеты.
2.2. Электроника каналов измерения сигналов с датчиков
Электроника измерения сигналов с датчиков Холла состоит из трех 24канальных блоков ДХ24, подключенных к промышленному компьютеру NISE3145 по интерфейсам USB. Блок ДХ24 имеет:
- 24 входных канала с предварительным усилением на микросхемах AD620 и трех АЦП типа ADS1278 с одновременной выборкой каналов на входе, частота оцифровки сигналов: 12 кГц, диапазон измеряемых напряжений составляет ±125 мВ, коэффициент усиления канала равен 20;
- встроенный стабильный источник тока 100 мА для питания датчиков Холла;
- АЦП типа LTC2400 для контроля тока;
- два канала измерения температуры: на кассете с датчиками Холла и в блоке электроники используются полупроводниковые интегральные микросхемы – термодатчики типа AD592, обеспечивающие точность измерений ±0.5°C;
- в системе также присутствует канал для считывания показаний монитора тока питания магнита.
Во время работы системы оцифровка сигналов на выходах усилителей осуществляется с частотой fD = 12 кГц. Результаты последовательных оцифровок аппаратным образом усредняются по интервалу между считываниями этих средних значений. Частота считываний fR, кратно меньшая fD, задается программным образом. Усреднение оцифрованных сигналов по временным интервалам 1/fR ведет к зависимости, пропорциональной для стохастических флуктуаций (шумов) считываемых данных. В представленных ниже измерениях на спектрометрическом магните СПАСЧАРМ при частоте fR = 500 Гц среднеквадратичные значения шумов измерительных каналов датчиков Холла, приведенные к входам усилителей, варьировались в диапазоне 2–4 мкВ, что в единицах индукции магнитного поля соответствует примерно 0.03–0.07 мТл. Оцененные по тем же измерениям относительные среднеквадратичные шумы источников токов питания датчиков на частоте считывания fR = 500 Гц лежали в интервале (0.35–2.6) ∙ 10–4, что при токе 100 мА соответствует 3.5–26 мкА.
Считывание и запись мониторов тока и температуры осуществляются синхронно и вместе с измерениями поля датчиками Холла.
2.3 Механизм крепления и перемещения контейнеров с датчиками Холла
Система крепления датчиков Холла и их перемещения в рабочей области подробно описана в публикациях [3, 4], хотя механика этой системы всегда создается под геометрию конкретного магнита.
В измерениях на магните СПАСЧАРМ 22 контейнера с датчиками были установлены в желоб прямоугольной алюминиевой кассеты с поперечными размерами 50 × 60 мм2 и длиной 88 см. Контейнеры в кассете устанавливаются вплотную друг к другу. Таким образом, дистанция между соседними сборками датчиков вдоль кассеты составляет 40 мм. Специальные ЯМР-измерения в рабочем поле магнита СПАСЧАРМ показали, что относительные искажения поля материалом кассеты и всем содержимым контейнеров не превышают 0.01%, т. е. пренебрежимо малы на уровне целевой точности измерений ±(0.2–0.3)%.
Механика перемещения датчиков Холла в апертуре магнита СПАСЧАРМ схематически показана на рис. 2. Вся система смонтирована на тележке, которая способна перемещаться по двум рельсам вдоль горизонтальной продольной оси Z. Она приводится в движение двумя шаговыми двигателями, расположенными вне магнитного поля, с помощью тросиков из нержавеющей стали диаметром 2 мм, перекинутых на дальнем от двигателя конце через барабан. Таким способом обеспечивается синхронное перемещение краев широкой тележки. Шаговые двигатели FL60STH86 с шагом по окружности 1 мм для перемещения тележки управляются одним контроллером. Полный ход тележки вдоль оси Z составляет 2000 мм. Для контроля крайних положений используются концевые выключатели.
Рис. 2. Слева: схематический вид тележки с кассетой и датчиками Холла на рельсах. Справа: фото системы магнитных измерений внутри спектрометрического магнита СПАСЧАРМ. В принятой и показанной здесь правой декартовой системе координат ось Z направлена вниз по пучку, ось Y – вертикально вверх, а ось X – горизонтально поперек пучка. За начало координат обычно выбирается центр магнита.
Кассета с датчиками установлена на подвижной каретке, которая перемещается горизонтально в поперечной плоскости вдоль оси X с полным ходом 1280 мм. В измерениях на магнитах СВД [3, 4] и СПАСЧАРМ [1, 2] перемещение и позиционирование каретки вдоль оси X осуществлялись вручную.
2.4. Калибровка датчиков Холла
Калибровка датчиков Холла была проведена на ускорительном дипольном магните [5] длиной 6 м с размерами апертуры 190 × 64 мм2. Кассета с датчиками Холла располагалась в апертуре горизонтально. Датчики для измерения X- и Z-компонент индукции калибровались в штатной сборке кассеты с контейнерами; кассета укладывалась на тот или иной бок, чтобы соответствующие датчики были ориентированы на измерение вертикального поля магнита. Для калибровки же Y-датчиков, в штатной сборке ориентированных вдоль кассеты, контейнеры с датчиками Холла вынимались и вновь вставлялись в кассету, но после поворота их на 90°. На концах кассеты в фиксированных положениях были размещены два ЯМР-датчика [6], на показания которых нормировались калибровки. Предварительно теми же ЯМР-датчиками было измерено распределение поля в зоне расположения калибруемых датчиков Холла. Неоднородность в поперечном сечении оказалась пренебрежимо маленькой – на уровне не более 0.01%. В продольном же направлении относительные вариации поля на длине кассеты с датчиками Холла достигали примерно 0.35%. Они были учтены в анализе данных.
Измерения в магните были проведены на двадцати двух уровнях поля в диапазоне индукций от −0.8 до +0.8 Тл. К ним следует добавить еще измерение пьедесталов в нулевом поле вне магнита. На рис. 3 слева на примере одного из Y-датчиков показана зависимость истинной – по ЯМР-зондам – магнитной индукции B в точке нахождения этого датчика от значения bY, полученного в измерениях самим датчиком Холла в предположении его линейности с коэффициентом чувствительности из заводского паспорта.
Рис. 3. Слева: измеренная зависимость B(bY) для Y-датчика №18. В середине: невязки к подгонкам линейными зависимостями измеренных значений B(bY) для всех Y-датчиков. Справа: невязки для подгонок тех же значений B(bY) функцией (1).
Визуально зависимость B(bY) очень близка к линейной. Однако подгонки этих характеристик линейными функциями для всех двадцати двух Y-датчиков дают картину невязок, показанную в средней рамке, на которой отчетливо видно систематическое поведение отклонений с изменением величины поля. Для большинства датчиков величина этих отклонений укладывается примерно в ±2 мТл. Но для нескольких датчиков отклонения в 2–3 раза больше. В правой рамке рис. 3 показаны подобные же невязки, но после фитирования тех же зависимостей полиномами более высокого порядка:
(1)
Во всех фитах константы P были зафиксированы и равны значениям пьедесталов, измеренным в нулевом поле вне магнита. Видно, что все невязки упали до вполне приемлемого уровня – не более ±0.4 мТл, что составляет около ±0.07% от индукции в центре магнита СПАСЧАРМ. Калибровочные поправки, полученные из подгонок полиномами (1) для каждого из 66 датчиков, в дальнейшем использовались в анализе магнитных измерений на спектрометрическом магните СПАСЧАРМ. Стоит отметить, что все найденные константы K оказались несколько меньше единицы, в основном на 0.5–1.5%, хотя есть несколько датчиков, отклонившихся в ту же сторону на 2–3%.
Для измерения топографии магнитного поля с точностью ±(0.2–0.3)% необходимо измерение ориентации каждого датчика Холла в принятой системе координат с ошибкой не более ±(2–3) мрад ≈ ±(0.1–0.15)°, потому что на практике представляется маловероятным выдержать столь высокий допуск на однородность ориентации миниатюрных датчиков при наклеивании их на поверхности. В калибровочных измерениях источником информация об истинной ориентации датчиков являются отклики этих датчиков на вертикальное поле магнита, когда они направлены на измерение горизонтальных компонент. Чтобы уменьшить ошибки углового позиционирования кассеты в целом по отношению к направлению поля, измерения были сделаны во всех восьми ее возможных положениях в апертуре магнита. В дальнейшем при обработке рабочих измерений на магните СПАСЧАРМ выяснилось, однако, что точность этих измерений недостаточно высока. Причиной тому явились, по-видимому, погрешности углового позиционирования кассеты в калибровочном магните, а также то обстоятельство, что конфигурация кассеты с контейнерами при калибровке Y-датчиков отличалась от штатной в рабочих измерениях на магните СПАСЧАРМ. Поэтому окончательную картину по ориентации датчиков Холла пришлось реконструировать уже в процессе анализа рабочих данных (см. разд. 3.2).
3. ИЗМЕРЕНИЯ ТОПОГРАФИИ ПОЛЯ МАГНИТА СПАСЧАРМ
Преимущественно вертикальное поле спектрометрического магнита СПАСЧАРМ [1, 2] (рис. 1) формируется двумя стальными полюсами размерами XP × ZP = 0.8 × 1 м2 с зазором между ними YA = 1 м. Магнитный поток замыкается через две симметричные ветви стального ярма сечением 0.85 × 1 м2 каждая. Полный горизонтальный размер апертуры между щеками ярма XA = 2.3 м. Обмотка магнита состоит из двух катушек, охватывающих полюса и включенных параллельно. На некотором расстоянии вверх по пучку от центра магнита при Z ≈ −0.81 м размещен стальной “передний” экран толщиной 100 мм с окном размерами XS1 × YS1 = 2.3 × 0.6 м2 для защиты трековых детекторов от рассеянного магнитного поля. Для тех же целей ниже по пучку от центра магнита при Z ≈ +1.1 м установлен сдвоенный “задний” экран из двух листов железа толщиной 50 мм каждый со значительно бóльшим окном: XS2 × YS2 = 2.3 × 1.05 м2.
Измерения топографии магнитного поля с помощью представленной здесь СМИ были выполнены при номинальном токе питания магнита 1 кА/виток обмотки на решетке с шагом 4 см по каждой из координат в рабочем объеме размерами Xf × Yf × Zf = 124 × 84 × 196 см3, который практически полностью перекрывает рабочий угловой аксептанс до ±110 мрад [1, 2] установки СПАСЧАРМ для вторичных частиц в обеих плоскостях (XZ и YZ). К сожалению, область измерений вдоль оси Z была ограничена невозможностью продвинуть СМИ в штатной конфигурации вверх по пучку за передний экран, расположенный при Z ≈ –0.81 м. Представление о том, как выглядит поле магнита СПАСЧАРМ в нескольких плоскостях, дает рис. 4.
Рис. 4. Некоторые распределения поля в апертуре магнита в плоскостях, проходящих через его центр. Пять из шести распределений взяты из измерений, а шестое (в правом нижнем углу) – результат численного моделирования [2] с использованием программы ANSYS [7]. Начало координат выбрано в центре магнита, т.е. на середине прямого отрезка, соединяющего центры полюсов.
Процедура измерения топографии поля в рабочем объеме состояла из серии прогонов кассеты с датчиками Холла вдоль оси Z вверх по пучку и обратно в тридцати двух фиксированных поперечных горизонтальных X-положениях каретки, которые устанавливались вручную по линейке. Измерения поля осуществлялись во время 50 × 2 = 100 остановок движения по Z с интервалом 4 см. В каждой остановке в течение примерно двух секунд проводилось по 1000 синхронных считываний данных с каждого из 66 датчиков Холла. Синхронно с ними считывались и записывались показания токовых мониторов и температурных датчиков. Полный цикл измерений был выполнен примерно за 10 часов работы в течение одного дня, не считая нескольких дней подготовки и настройки системы. В частности, во время настройки СМИ до и после измерений были уточнены в обесточенном магните и, где необходимо, откорректированы значения пьедесталов всех измерительных каналов.
3.1. Временнáя стабильность измерительных каналов и точность позиционирования датчиков
Контролю стабильности системы в целом и отдельных ее составляющих было уделено особое внимание. В дополнение к непрерывному мониторированию тока питания магнита дрейф самого поля в течение всего цикла измерений отслеживался двумя ЯМР-датчиками [6], зафиксированными в центрах полюсов. На их показания осуществлялась и нормировка абсолютной величины магнитной индукции. По данным ЯМР вариации поля магнита за 10 часов измерений не превысили 0.02%.
Для оценки стабильности измерительных каналов и позиционирования кассеты прогоны для нескольких одних и тех же значений X-координаты были повторены по 2–3 раза: в начале, в середине и в конце цикла измерений. Вариации чувствительности каналов оценивались из сравнения показаний датчиков Холла в области экстремумов зависимостей B(Z) для соответствующих компонент индукции, где производная dB/dZ близка к нулю. Оцененная таким образом стабильность каналов измерений оказалась очень хорошей: вариации показаний не превышали ±0.2 мТл, что составляет менее ±0.04% от величины поля в центре магнита.
Повторяемость позиционирования датчиков вдоль координаты Z была оценена как по вариациям положений экстремумов зависимостей B(Z) путем фитирования их окрестностей параболами, так и из разностей показаний датчиков в зонах, где производные dB/dZ, напротив, максимальны. Было установлено, что в проходах вверх по пучку вдоль оси Z повторяемость Z-позиционирования была не хуже, чем ±0.1 мм. Вдали от полюсов магнита, где градиенты dB/dZ не превышают 1 мТл/мм, такие смещения ведут к пренебрежимо малым ошибкам измерения, не более ±0.1 мТл. Вблизи же ребер и углов полюсов, где градиенты достигают примерно 5 мТл/мм, ошибка возрастала до ±0.5 мТл, т. е. до ±0.1% от величины индукции в центре магнита. Точность и повторяемость позиционирования проходов по координате X, которая выставлялась вручную по линейке, были оценены таким же образом. Они оказались заметно хуже, чем по Z, на уровне примерно ±(0.4–0.5) мм.
Было проведено сравнение позиционирования датчиков также в проходах вверх по пучку и обратно. Здесь картина оказалась несколько иной. В данных явно был виден люфт до 2–3 мм в виде “отставания” тележки в проходах “обратно”. Более того, величина этого отставания зависела как от X-координаты прохода, так и от позиции датчика Холла в кассете по вертикали, т. е., по-видимому, в обратных проходах возникал горизонтальный перекос тележки, а также несколько изменялся еще и наклон кассеты. Учет всех этих люфтов и перекосов, а также их повторяемости и временнóй стабильности, сильно усложнил бы и удлинил обработку данных. Но главное, что в этом не было никакой необходимости в свете того, что в проходах вверх по пучку система показала очень высокую стабильность и повторяемость. Поэтому в анализе данные из “обратных” проходов кассеты не использовались.
3.2 Тонкая настройка взаимной ориентации датчиков Холла
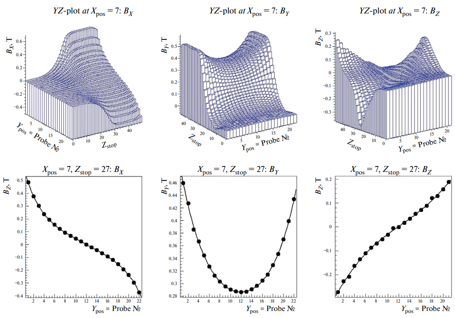
Как было отмечено выше в разд. 2.4, точность измерений взаимной ориентации датчиков Холла во время калибровки оказалась недостаточно высокой. Иллюстрацией является рис. 5, где на трех картинках в верхней строке Y-датчик № 3 явно выпадает из плавной зависимости BY (X, Y, Z) вдоль координаты Y, чего не может быть для гармонической функции вдали от проводников с током и от ферромагнитных полюсов. При этом в области, где компонента BZ отрицательна, Y-датчик № 3 проваливается в сравнении с соседними датчиками № 2 и № 4, а там, где BZ положительна, выскакивает вверх. Эти нерегулярности были устранены (нижняя строка рис. 5) внесением единственной поправки в предположении, что Y-датчик № 3 повернут в YZ-плоскости относительно соседей на 41 мрад ≈ 2.35°.
Рис. 5. Иллюстрации к поправкам на ориентацию Y-датчика №3: верхняя строка — до корректировки угла αYZ (см. обозначения в уравнениях (2) ); нижняя строка – после корректировки. Первый столбец слева – BY в YZ-сечении при Xpos = 19 (середина апертуры) с крупным планом для интервала 22 ≤ Zstop≤ 24; второй столбец – BY в YZ-сечении при Xpos = 5 (край апертуры по оси X) с крупным планом для интервала 26 ≤ Zstop ≤ 28; третий столбец – другой ракурс того же YZ-сечения при Xpos = 5, но с крупным планом для интервала 48 ≤ Zstop ≤ 49. На крайнем справа рисунке показано распределение продольной компоненты поля BZ в YZ-сечении при Xpos = 19.
Заметим, что на рис. 5–7 используются рабочие координаты Xpos, Ypos ≡ Probe No и Zstop, которые принимают целочисленные значения в узлах измерительной решетки с шагами Sx = 4.01 см, SY = 4.00 см, SZ = 4.04 см. Они связаны с обычными X-, Y-, Z-координатами соотношениями, полученными из геометрической привязки (см. ниже разд. 3.3): см; см; см;
Рис. 6. Некоторые распределения для измеренных BX- и BZ-компонент поля с взаимной ориентацией датчиков из калибровок (верхняя строка) и с исправленной ориентацией по данным рабочих измерений на магните СПАСЧАРМ (нижняя строка). В первом слева столбце представлена компонента BX в YZ-плоскости при Xpos = 18, а во втором столбце – область 36 ≤ Zstop ≤ 41, вырезанная из этих распределений. В третьем слева столбце показана компонента BZ в XY-плоскости при Zstop = 39, а в крайнем правом столбце – область 16 ≤ Xpos ≤ 21, вырезанная из этих распределений.
Рис. 7. Иллюстрация к процедуре коррекции взаимной ориентации датчиков путем сглаживания измеренных распределений поля в магните СПАСЧАРМ. Все показанные в нижней строке подгонки полиномами сделаны в предположении одинаковых ошибок для всех точек.
Необходимость дополнительной коррекции взаимной ориентации датчиков стала очевидной после изучения распределений для компонент BX и BZ, показанных, например, в верхней строке рис. 6. Выбранные для этой иллюстрации плоскости являются плоскостями антисимметрии для меняющих знак компонент BX и BZ. Следовательно, в этих плоскостях значения BX и BZ близки к нулю. Точного равенства нулю ожидать, конечно, не следует, прежде всего, из-за неизбежно присутствующих смещений и перекосов осей системы перемещения относительно осей симметрии поля. Видно, что абсолютные величины BX и BZ здесь действительно на порядок и более меньше, чем в других областях апертуры (см., например, рис. 4). Но их распределения очень далеки от гладких: имеются прыжки для BX от датчика к датчику примерно до 6 мТл, а для BZ – до 20 и даже 30–40 мТл (датчик из уже знакомой нам тройки № 3). Стоит подчеркнуть, что такие нерегулярности не могли быть вызваны здесь ни уходом пьедесталов, которые были выровнены с точностью до десятых долей мТл, ни плаванием калибровочных коэффициентов, которые для создания столь сильного эффекта должны были бы уйти на десятки процентов. Таким образом, для исправления картины и здесь остается единственный инструмент: настройка углов взаимной ориентации датчиков Холла.
Результаты работы по исправлению распределений для тех же плоскостей показаны в нижней строке рис. 6. Видно, что операция вполне удалась, и распределения стали довольно гладкими. На начальной стадии она заключалась в “ручной работе” по коррекции по соседям нескольких особо выпадающих датчиков, в частности Z-датчиков №№ 3, 11 и 18. Далее использовалась процедура сглаживания распределений с помощью апроксимации их полиномами, которую иллюстрирует рис. 7.
В этой процедуре выбирается несколько точек в плоскости XZ, где все компоненты поля большие и с ясно обозначенными Y-зависимостями BX(Ypos), BY(Ypos), BZ(Ypos). Распределения, показанные на рис. 6, для этих целей не годятся, потому что из-за неизвестных перекосов систем координат “правильное” поведение функций BX(Y) и BZ(Y) вблизи плоскостей антисимметрии может быть весьма причудливым и практически непредсказуемым. На рис. 7 в нижней строке эти зависимости выбраны в точке Xpos = 7, Zstop = 27. Затем эти распределения фитируются, например, полиномами невысокой степени fX(Ypos), fY(Ypos) и fZ(Ypos), и для каждого датчика вычисляются разности
,
i = 1, 2, …, 22.
В предположении, что за все ΔB ответственны исключительно 6 углов поворотов датчиков α, получаем для них следующие уравнения:
(2)
i = 1, 2, …, 22.
Таким образом, в каждой XZ-точке для каждого датчика Холла получается по одному уравнению для двух неизвестных – углов поворота α данного датчика в двух плоскостях относительно других датчиков. В результате осуществления такой процедуры более, чем в двух XZ-точках, с существенно различающимся поведением зависимостей BX(Ypos), BY(Ypos) и BZ(Ypos) получаются переопределенные системы из более, чем двух уравнений для каждой пары неизвестных, которые решаются, например, методом наименьших квадратов. В обсуждаемом здесь анализе сглаживание проводилось не менее, чем по четырем XZ-позициям. Правильный выбор набора XZ-точек для сглаживания является здесь абсолютно критичным для того, чтобы надежно отделить последствия неточного знания ориентации датчиков от последствий ошибок в чувствительности каналов измерений и в знании их пьедесталов.
Результатом описанной выше процедуры является приведение ориентации всех датчиков, исходно предназначенных для измерения одной и той же компоненты поля, к некой “усредненной” единой плоскости. Ориентация же самих этих трех плоскостей определяется на стадии глобальной геометрической привязки СМИ к системе координат магнита (разд. 3.3 ниже).
На рис. 8 приведено сравнение углов поворотов α, полученных в калибровках (разд. 2.4) и на рабочих данных. Видно, что как сами величины углов, так и, для некоторых групп датчиков, их разности с калибровочными измерениями весьма значительны и достигают 50 мрад ≈ 3°.
Рис. 8. Сравнение относительных углов поворота датчиков, найденных в калибровочных измерениях (графы с маркерами в виде незаполненных квадратов) и в результате настройки по рабочим измерениям на магните СПАСЧАРМ (графы с маркерами в виде заполненных кружков).
3.3. Сравнение расчетов и измерений и геометрическая привязка
На стадии проектирования и оптимизации параметров спектрометрического магнита СПАСЧАРМ были выполнены многочисленные численные расчеты его поля методом конечных элементов с использованием программы ANSYS [7]. Результаты таких расчетов для некоторых режимов питания магнита приведены в работе [2]. Для сравнения расчетной и измеренной карт магнитного поля необходимо прежде всего расположить в расчетной декартовой системе координат координатную систему перемещения датчиков Холла, строго говоря, не являющуюся ортогональной и даже, как оказалось, оси которой не являются строго прямолинейными. Упомянутые особенности были выявлены уже в прямых геодезических измерениях по привязке системы перемещения к железу спектрометрического магнита при помощи линейки и лазерного дальномера типа Leica DISTO.
На следующем этапе была осуществлена подгонка расчетов и измерений методом наименьших квадратов с использованием двадцати четырех свободных параметров: 23 геометрических, таких как три шага измерительной решетки; три относительных сдвига координат; углы между осями и поправки на отклонения их от прямолинейности; углы ориентации средних по датчикам плоскостей измерения в расчетной системе и др. плюс абсолютная нормировка величины индукции. Были рассмотрены несколько вариантов подгонки: по всему измеренному объему – всего 101920 пар чисел для сравнения; по центральной полосе |Y| < 30 см, все точки которой удалены от полюсов не менее, чем на 20 см, – 70560 пар чисел; по центральной выборке с участием только двух поперечных компонент индукции BX и BY – 47040 пар чисел.
По фитам в центральной полосе значения найденных геометрических параметров вполне удовлетворительно согласуются с прямыми геодезическими измерениями. Так, цифры для положения центральной седловины компоненты BY вдоль горизонтальной оси X совпали с точностью до 0.1 мм, по вертикали Y – с точностью 0.5–1 мм, расхождение же вдоль продольной оси Z составило 2–5 мм. По другим геометрическим параметрам также имеется согласие в пределах ожидаемых ошибок геодезических измерений.
В центральной полосе вдали от полюсов среднеквадратичное отклонение (RMS) расчетов и измерений по двум поперечным компонентам дает оценку погрешности измерений δB ≈ ±0.95 мТл, т. е. примерно ±0.18% от индукции 0.54 Тл в центре магнита, а по всему измеренному объему δB ≈ ±1.9 мТл ≈ ±0.35%. Ухудшение RMS около полюсов связано с более высокой чувствительностью там к позиционированию датчиков, а также с ухудшением точности расчетов вблизи острых ребер и углов ферромагнитных полюсов. Включение в подгонку продольной компоненты BZ еще несколько ухудшает цифры по δB: примерно до ±1.1 и ±2.3 мТл соответственно. Здесь главным виновником является, по-видимому, повышенная чувствительность расчетной BZ к граничным условиям в области защитных экранов, особенно переднего, расположенного близко к центру магнита и частично перекрывающего его апертуру. Однако и требования к точности знания компоненты BZ сильно пониженные, поскольку ее вклад в отклонение вторичных заряженных частиц пропорционален квадрату угла вылета частицы относительно исходного пучка, что даже на границе аксептанса установки ±110 мрад дает ослабление требований к точности измерений BZ почти в 100 раз в сравнении с двумя другими компонентами.
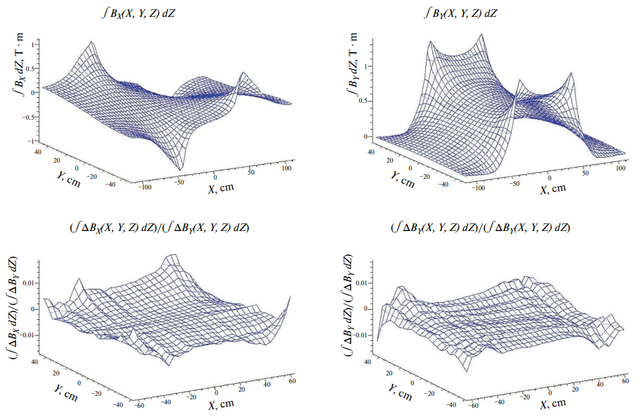
Некоторые иллюстрации к сравнению расчетов и измерений представлены на рис. 9 в терминах интегралов поля вдоль оси Z. Показаны только две поперечные компоненты, которые вносят доминирующий вклад в отклонение в магните заряженных частиц, летящих под малыми углами к оси Z. По среднеквадратичным отклонениям от нуля для всей показанной XY-плоскости имеет место согласие в пределах ±0.3% для интеграла от BX и в пределах ±0.18% – от BY. Вдали же от полюсов при |Y| < 30 см согласие лучше: около ±0.14% для обеих компонент.
Рис. 9. Иллюстрация к степени согласия расчетов и измерений по интегралам вдоль оси Z (параллельно пучку) от поперечных компонент поля BX и BY. Верхняя строка: расчетные распределения интегралов в поперечной плоскости XY для полной апертуры магнита. Нижняя строка: относительные разности между расчетными и измеренными интегралами, нормированные на интегралы от основной компоненты BY, для части апертуры, где были сделаны измерения. Обозначение: ΔB(X, Y, Z) = Bрасчет(X, Y, X) –Bизмерения(X, Y, Z).
По абсолютной нормировке в среднем по объему расчетная и измеренная магнитные индукции практически совпали: разница составляет 0.13% при ошибке процедуры сравнения, оцененной как ±0.15%. Измеренная индукция в центре магнита равна 0.5398 ± 0.0004 Тл, а интеграл поля вдоль оси магнита равен 0.703 ± 0.001 Тл∙м. Отсюда оценка эффективной длины поля магнита: примерно 1.3 м. Величина рассеянного поля в зоне ближайшего трекового детектора выше по пучку достигает 15–17 мТл, а в зоне ближайшего детектора ниже по пучку – около 0.2 мТл.
4. ДАЛЬНЕЙШЕЕ РАЗВИТИЕ СИСТЕМЫ МАГНИТНЫХ ИЗМЕРЕНИЙ
Как неоднократно отмечалось выше, высокая точность, стабильность и предсказуемость позиционирования датчиков Холла являются абсолютно необходимыми условиями достижения высокой точности магнитных измерений. В измерениях на спектрометрическом магните СПАСЧАРМ механика автоматического перемещения датчиков вдоль одной из горизонтальных осей, оси Z, продемонстрировала очень хорошую стабильность и повторяемость позиционирования кассеты – значительно лучше, чем ручное позиционирование по другой горизонтальной оси – оси X. В рамках модернизации настоящей системы магнитных измерений было введено и отлажено автоматическое перемещение кассеты с датчиками также и вдоль второй горизонтальной оси с использованием точно такой же механики привода, как и вдоль оси Z. Несомненно, это позволит улучшить точность будущих измерений, а также практически исключить затраты времени на ручное перемещение каретки.
В измерениях на магните СПАСЧАРМ, а также ранее на магните СВД [3, 4] считывание (опрос) показаний датчиков Холла осуществлялось во время остановок кассеты с датчиками в узлах решетки. Однако дизайн настоящей СМИ позволяет производить считывание и в движении без остановки тележки, что придает дополнительную гибкость в использовании системы и, как правило, ведет к сокращению времени измерений.
На рис. 10 показано сравнение использования СМИ в двух режимах на примере измерения остаточного поля в обесточенном магните СПАСЧАРМ: слева – со считываниями показаний датчиков в “статике” во время остановок кассеты в узлах решетки с шагом 4 см; справа – в движении кассеты вдоль оси Z с постоянной скоростью около 5 см/с. Частота опроса в обоих режимах была одинаковой и равной 50 Гц. В статике в каждой секундной остановке проводилось по 50 считываний.
Рис. 10. Сравнение работы трех датчиков Холла из группы № 10 в остаточном поле обесточенного магнита СПАСЧАРМ на длине 96 см при считывании сигналов во время 25 остановок кассеты с шагом 4 см (слева) и в непрерывном движении вдоль оси Z со скоростью примерно 5 см/с (справа). В обоих режимах частота считываний fR = 50 Гц. Каждая точка на графиках представляет собой единичное считывание.
Следует отметить прежде всего, что время измерений в движении на длине 96 см составило меньше 20 секунд, в то время как статические измерения заняли 181 секунду, т. е. почти в 10 раз больше. Из них 1 × 25 = 25 секунд ушло на 25 считываний в каждой остановке. Но главная потеря времени в статическом режиме была из-за существенно меньшей средней скорости перемещения тележки, которая составляла всего примерно 0.6 см/с и ограничивалась опасностью неприемлемого раскачивания системы в режиме постоянных ускорений и торможений тележки. В другом же режиме плавное ускорение до 5 см/с и успокоение колебаний системы в начале движения занимали около (3–4) с на длине примерно (10–15) см, и далее кассета двигалась с постоянной скоростью.
При измерениях в движении результат каждого отдельного считывания представляет собой фактически среднее значение показаний каждого из датчиков Холла за время 1/fR, которое в представленном здесь исследовании составляло 0.02 с. При скорости 5 см/с это соответствует усреднению магнитной индукции по отрезкам оси Z длиной 1 мм, что вполне приемлемо в большинстве практических задач. В частности, если бы основные измерения на магните СПАСЧАРМ осуществлялись в таком режиме, то относительная ошибка каждого считывания, ассоциированная с усреднением даже по более длинным отрезкам, например до 10 мм, нигде не превысила бы 0.01 мТл ≈ 2 ∙ 10–5 от индукции в центре магнита.
Можно было бы ожидать, что при измерениях в движении возрастут шумы из-за наводок от цепей управления шаговыми двигателями, работающими одновременно с измерениями поля. В проведенном эксперименте никакой значимой разницы в уровне шумов в режимах с остановками и в движении обнаружено не было. Для датчиков из группы № 10, показанных на рис. 10, среднеквадратичные флуктуации на частоте считывания fR = 50 Гц в обоих случаях практически одинаковы и укладываются в диапазон 1.3–1.5 мкВ. Такой уровень шумов близок, но несколько выше, чем 0.8–1.1 мкВ, предсказываемых частотной зависимостью стохастических шумов (см. раздел 2.2), пропорциональной , из наблюденных ранее 2.5–3.5 мкВ на частоте fR = 500 Гц. Причиной расхождения является присутствие в шумах когерентных низкочастотных компонент, не подчиняющихся зависимости, пропорциональной .
Таким образом, с точки зрения как шумов, так и усреднения поля по отрезкам любой длины до 10 мм и даже более, режим работы со считыванием показаний датчиков Холла в движении без остановок кассеты выглядит вполне приемлемым в практическом плане и даже предпочтительным для типичных задач применения обсуждаемой здесь СМИ. Параметры конкретного режима работы – скорость движения, частота считываний, их аппаратное или программное усреднение и пр. – определяются условиями и целями решаемой задачи и задаются программными установками.
5. ЗАКЛЮЧЕНИЕ
В данной работе представлена многоканальная система магнитных измерений поля в больших объемах на основе датчиков Холла, разработанная и созданная в НИЦ “Курчатовский Институт” – ИФВЭ. Эта система дважды была успешно использована для измерений топографии поля в широкоапертурных спектрометрических магнитах физических установок СВД [3, 4] и СПАСЧАРМ [1, 2] на ускорителе У70 ИФВЭ. В описанных здесь измерениях для эксперимента СПАСЧАРМ была достигнута относительная точность восстановления магнитной индукции и ее отклоняющей силы для заряженных частиц на уровне ±(0.15–0.3)%. Это обеспечивает потенциальную возможность достижения целевой точности ±0.4% [2] и лучше в измерениях импульсов заряженных вторичных частиц.
Здесь представлены также дальнейшее развитие настоящей СМИ и изучение ее возможностей для уменьшения погрешностей и сокращения времени измерений. В частности, показано, что режим со считыванием показаний датчиков Холла в движении позволяет существенно сократить время измерений, обеспечивая при этом достаточную точность при квазинепрерывном покрытии данными вдоль оси движения с требуемыми частотой считывания и длиной усреднения показаний датчиков. Несомненным достоинством представленной здесь СМИ является ее высокая гибкость, позволяющая легко подстраивать параметры системы под конкретные задачи заданием соответствующих программных установок.
БЛАГОДАРНОСТИ
Авторы выражают признательность АИ. Иваненко за помощь в калибровочных измерениях на магните УНК, а также В.Н. Рядовикову за полезные обсуждения.
ФИНАНСИРОВАНИЕ РАБОТЫ
Работа поддержана и частично профинансирована Министерством науки и высшего образования РФ, проект “Новые явления в физике элементарных частиц и ранней Вселенной” № FSWU2023-0073. Работа выполнена в НИЦ КИ-ИФВЭ при финансовой поддержке Российского Научного Фонда (грант № 22-12-00164).
About the authors
В. Н. Алферов
Институт физики высоких энергий им. А.А. Логунова Национального исследовательского центра “Курчатовский институт”
Email: lutchev@ihep.ru
Russian Federation, 142281, Протвино, Московская обл., пл. Науки, 1
А. Н. Васильев
Институт физики высоких энергий им. А.А. Логунова Национального исследовательского центра “Курчатовский институт”; Национальный исследовательский ядерный университет “МИФИ”
Email: lutchev@ihep.ru
Russian Federation, 142281, Протвино, Московская обл., пл. Науки, 1; 115409, Москва, Каширское шоссе, 31
Д. А. Васильев
Институт физики высоких энергий им. А.А. Логунова Национального исследовательского центра “Курчатовский институт”
Email: lutchev@ihep.ru
Russian Federation, 142281, Протвино, Московская обл., пл. Науки, 1
В. А. Кормилицын
Институт физики высоких энергий им. А.А. Логунова Национального исследовательского центра “Курчатовский институт”
Email: lutchev@ihep.ru
Russian Federation, 142281, Протвино, Московская обл., пл. Науки, 1
А. В. Лутчев
Институт физики высоких энергий им. А.А. Логунова Национального исследовательского центра “Курчатовский институт”
Author for correspondence.
Email: lutchev@ihep.ru
Russian Federation, 142281, Протвино, Московская обл., пл. Науки, 1
А. П. Мещанин
Институт физики высоких энергий им. А.А. Логунова Национального исследовательского центра “Курчатовский институт”
Email: lutchev@ihep.ru
Russian Federation, 142281, Протвино, Московская обл., пл. Науки, 1
Н. Г. Минаев
Институт физики высоких энергий им. А.А. Логунова Национального исследовательского центра “Курчатовский институт”
Email: lutchev@ihep.ru
Russian Federation, 142281, Протвино, Московская обл., пл. Науки, 1
В. В. Мочалов
Институт физики высоких энергий им. А.А. Логунова Национального исследовательского центра “Курчатовский институт”; Национальный исследовательский ядерный университет “МИФИ”
Email: lutchev@ihep.ru
Russian Federation, 142281, Протвино, Московская обл., пл. Науки, 1; 115409, Москва, Каширское шоссе, 31
В. Л. Рыков
Национальный исследовательский ядерный университет “МИФИ”
Email: lutchev@ihep.ru
Russian Federation, 115409, Москва, Каширское шоссе, 31
А. Д. Рябов
Институт физики высоких энергий им. А.А. Логунова Национального исследовательского центра “Курчатовский институт”
Email: lutchev@ihep.ru
Russian Federation, 142281, Протвино, Московская обл., пл. Науки, 1
Т. Д. Рябова
Институт физики высоких энергий им. А.А. Логунова Национального исследовательского центра “Курчатовский институт”
Email: lutchev@ihep.ru
Russian Federation, 142281, Протвино, Московская обл., пл. Науки, 1
П. А. Семенов
Институт физики высоких энергий им. А.А. Логунова Национального исследовательского центра “Курчатовский институт”; Национальный исследовательский ядерный университет “МИФИ”
Email: lutchev@ihep.ru
Russian Federation, 142281, Протвино, Московская обл., пл. Науки, 1; 115409, Москва, Каширское шоссе, 31
В. А. Соловьев
Институт физики высоких энергий им. А.А. Логунова Национального исследовательского центра “Курчатовский институт”
Email: lutchev@ihep.ru
Russian Federation, 142281, Протвино, Московская обл., пл. Науки, 1
В. Н. Федорченко
Институт физики высоких энергий им. А.А. Логунова Национального исследовательского центра “Курчатовский институт”
Email: lutchev@ihep.ru
Russian Federation, 142281, Протвино, Московская обл., пл. Науки, 1
А. Н. Холкин
Институт физики высоких энергий им. А.А. Логунова Национального исследовательского центра “Курчатовский институт”
Email: lutchev@ihep.ru
Russian Federation, 142281, Протвино, Московская обл., пл. Науки, 1
References
- Meshchanin A.P., Vasiliev A.N., Goncharenko Yu.M. et al. Magnets of the SPASCHARM Experiment at the U-70 Accelerator Facility // Physics of Atomic Nuclei. 2022. V. 85. №. 12. P. 2043. https://doi.org /10.1134/S1063778822100386
- Абрамов В.В, Ажгирей И.Л., Борисов А.А. и др. Концептуальный проект эксперимента СПАСЧАРМ // ЭЧАЯ. 2023. Т. 54. № 1. С. 6.
- Алферов В.Н., Васильев Д.А., Головкин В.Ф. и др. Система измерения магнитного поля установки СВД-2 // ПТЭ. 2019. № 3. С. 157. https://doi.org/
- Алферов В.Н., Васильев Д.А., Головкин В.Ф. и др. Измерение магнитного поля установки СВД-2. Препринт ИФВЭ 2018-2, Протвино, 2018.
- Балбеков В.И., Герцев К.Ф., Смирнов Н.Л., Трофимов С.В. Измерение нелинейностей магнитного поля диполей УНК методом гармонического анализа. Препринт ИФВЭ УНК, 1982.
- Карпов Г.В., Медведко А.С., Шубин Е.И. Прецизионные магнитометры на основе ЯМР в стандарте VME. Препринт ИЯФ СО АН РФ 2004-55, Новосибирск, 2004.
- Lee H.-H. Finite Element Simulations with Ansys Workbench 17. SDC Publications. 2017. P.50. ISBN 978-1-63057-088-0.
Supplementary files












