СРАВНИТЕЛЬНЫЕ ИССЛЕДОВАНИЯ ХАРАКТЕРИСТИК РАЗЛИЧНЫХ ПЬЕЗОЭЛЕКТРИЧЕСКИХ ДАТЧИКОВ ДАВЛЕНИЯ
- Authors: Головастов С.В.1,2, Голуб В.В.1, Жилин Ю.В.1, Микушкин A.Ю.1,2, Микушкина A.A.1, Мирова О.A.1
-
Affiliations:
- Объединенный институт высоких температур Российской академии наук
- Московский государственный технический университет им. Н.Э. Баумана
- Issue: No 6 (2024)
- Pages: 117–129
- Section: ЛАБОРАТОРНАЯ ТЕХНИКА
- URL: https://journal-vniispk.ru/0032-8162/article/view/288508
- DOI: https://doi.org/10.31857/S0032816224060157
- EDN: https://elibrary.ru/EKJMSK
- ID: 288508
Cite item
Full Text
Abstract
Приведены результаты сравнительных исследований характеристик различных пьезоэлектрических датчиков для измерения импульсных давлений. Определены их чувствительности и инерционности, а также влияния стационарной температуры и импульсных тепловых потоков на результаты измерений. Определены условия линейности характеристик в условиях экспериментов. Определены условия возникновения наблюдения “теплового дрейфа нуля”, характеризующего влияние теплового нагрева на показания датчиков давления. Исследования проводились в ударной трубе, на специальном градуировочном стенде и на стенде, создающем ступенчатый импульс лучистого теплового потока.
Full Text
1. ВВЕДЕНИЕ
Для измерения импульсных давлений при проведении научных исследований в области ударных и взрывных волн, при детонации и в других кратковременных процессах, как правило, применяются пьезоэлектрические датчики давления. Они имеют весьма малую по сравнению с пьезорезистивными датчиками инерционность (до 2–3 мкс), широкий диапазон измерений давления (1 кПа – 200 МПа) и малые размеры. Это позволяет установить их на небольших экспериментальных моделях или в труднодоступных местах различных устройств. Диапазон рабочих температур пьезодатчиков обычно лежит в пределах от –50 до +200°C. Пьезоэлектрические датчики, в отличие от пьезорезистивных, имеют и один существенный недостаток — ограниченное время измерений, определяемое в основном величиной входного сопротивления согласующего усилителя. Современные усилители для пьезоэлектрических датчиков, имеющие входное сопротивление 50–100 ГОм, позволяют проводить измерения динамического давления длительностью вплоть до 3–10 с.
Долгое время, начиная с 1960 г., практически монополистом в области измерения динамических давлений была фирма Kistler [1], выпускавшая широкий ряд пьезоэлектрических датчиков и периферийного оборудования к ним. Однако высокая цена этих датчиков, годами не менявшаяся номенклатура, а также ряд присущих им недостатков привели к некоторому снижению их популярности. До 2010 г. во всех пьезоэлектрических датчиках фирмы Kistler в качестве чувствительного элемента применялись монокристаллы кварца. При очень высокой стабильности характеристик они имели низкие значения пьезомодуля — электрического ответа кристалла кварца на механическое напряжение. Это ограничивало чувствительность датчиков даже при высоких значениях коэффициента усиления согласующего устройства. Лучше всего соответствовал требованиям миниатюрности и малой инерционности пьезоэлектрический датчик типа 603B (см. табл. 1), однако при “жестком” креплении в стенке ударной трубы вибрации, возникающие в ней в момент пуска, недопустимо искажали сигнал датчика. Применение виброзащитного адаптера устраняло этот недостаток, но одновременно приводило к потере преимущества миниатюрности.
В настоящее время при измерениях импульсных давлений широко используются также датчики фирмы PCB Piezotronics [2]. Как и в большинстве датчиков Kistler, в датчиках PCB чувствительный элемент также изготовлен из монокристалла кварца. В последнее время в некоторых датчиках используется и пьезокерамика.
В России пьезодатчики для измерения импульсных давлений до 2000 г. серийно не производились. В то же время в нашей стране давно освоено промышленное производство пьезокерамики [3, 4], которая в свое время послужила основой для создания опытных образцов [5] и небольших партий [6] пьезодатчиков давления. Пьезокерамика имеет значительно большие по сравнению с кварцем значения пьезомодуля и диэлектрической проницаемости, что делает датчики более чувствительными. Они имеют и большую электрическую емкость. Последнее важно для увеличения максимально возможного времени измерений меняющихся давлений. Однако пьезокерамика имеет и ряд недостатков. Ее характеристики существенно меняются от партии к партии, а также заметно изменяются со временем (так называемое старение), точка Кюри пьезокерамики — температура деполяризации — невелика по сравнению с таковой для кварца. Так, для керамики ЦТС-19 (цирконат титанат свинца) она составляет 290°C.
В настоящее время в России также ведутся разработки целого ряда новых пьезоэлектрических материалов, в том числе материалов с высокой термостойкостью [7–10] и новых датчиков давления [11–15]. Способы уменьшения температурной зависимости представлены в работе [16]. Поэтому представляется интересным и полезным сравнить основные характеристики некоторых близких по параметрам пьезодатчиков с целью определить области их преимущественного использования.
2. ЭКСПЕРИМЕНТАЛЬНОЕ ОБОРУДОВАНИЕ И ПРИБОРЫ
Исследовались характеристики пяти датчиков давления: PCB 113B28 (рис. 1а); ДС конструкции Сунцова [6] (рис. 1б) и датчиков собственной конструкции ПД1 (рис. 1в), ПД2 (рис. 1г) и ПДМ (рис. 1д).
Особенностью конструкции датчика PCB является объединение в одном корпусе собственно датчика и согласующего высокоомного усилителя. Это увеличивает общий размер датчика, но дает то преимущество, что его чувствительность не зависит от длины кабеля, соединяющего датчик с регистрирующим устройством. Компания PCB Piezotronics не раскрывает конструкцию датчика и схему усилителя. По косвенным данным можно предположить, что величина входного сопротивления усилителя R составляет не менее 50 ГОм.
Рис. 1. Пьезоэлектрические датчики: а – PCB 113B28, б — датчик конструкции Сунцова (ДС), в – ПД2 (ОИВТ РАН), г — ПД1 (ОИВТ РАН), д — ПДМ (ОИВТ РАН).
Датчику Сунцова (ДС), выпускавшемуся небольшой серией, сам разработчик отводил всего лишь роль регистрирующего устройства прохождения фронта ударной волны. Этот датчик не предназначался для непосредственного измерения давления. Гораздо более сложный по конструкции датчик того же автора [17] разрабатывался именно для измерения импульсных давлений, однако из-за очень сложной конструкции в отличие от первого не был доведен до серийного производства. Исследованный нами датчик ДС имеет один существенный конструктивный недостаток: в нем отсутствует разъем для соединения с измерительным кабелем — кабель просто выходит из корпуса датчика. Это создает значительные неудобства при монтаже датчика на экспериментальных моделях, так как каждый раз требуется перепайка ответного разъема, служащего для подключения датчика к усилителю.
Датчики, разработанные в ОИВТ РАН, и их основные характеристики были подробно описаны в работе [11]. В качестве чувствительного элемента в них использовалась пьезокерамика ЦТС-19. Сигналы датчиков серии ПД (пьезоэлектрический датчик) и датчика ДС через измерительный кабель фиксированной длины подавались на усилитель собственной конструкции со входным сопротивлением R ≈ 1 ГОм и частотным диапазоном до 700 кГц.
В той же работе [11] приведено описание экспериментального оборудования и приборов для испытания пьезодатчиков давления. Стенд статических испытаний позволял подавать на пьезодатчик ступенчатый известный по величине импульс давления с фронтом нарастания около 3 мс, после чего давление оставалось постоянным сколь угодно долго. На этом стенде определялись чувствительность пьезодатчиков к давлению и скорость “стекания” электростатического заряда на входном сопротивлении усилителя. Таким образом оценивалась максимально возможная длительность проведения измерений давления пьезодатчиком вместе с данным усилителем, ограниченная только возможностью достоверной регистрации убывающего сигнала. Кроме того, данный стенд позволял предварительно нагревать пьезодатчик до температур 50–60°C и оценивать зависимость его чувствительности от стационарной температуры.
Импульсу давления часто сопутствует и импульсное тепловое воздействие. Поэтому были проведены исследования влияния такого нагрева на показания пьезодатчиков (тепловой дрейф нуля). Для этого использовалось специальное устройство лучистого нагрева, состоящее из зеркала в форме половины элипсоида вращения. В одной фокальной точке зеркала помещалась галогеновая лампа с максимальной электрической мощностью 250 Вт со спиралью длиной 5 мм и диаметром 3 мм. В другой фокальной точке зеркала помещался пьезодатчик с предварительно зачерненной чувствительной поверхностью. Механический затвор позволял подавать на датчик ступенчатый импульс лучистого теплового потока с фронтом нарастания около 0.1 мс.
На ударной трубе УТ-3 ОИВТ РАН измерялось импульсное давление за первичной и отраженной от торца ударными волнами, которое сравнивалось с их расчетными величинами. Полная длительность зачетной фазы эксперимента в ударной трубе составляла 6 мс. Испытания в ударной трубе позволяли провести динамическую градуировку пьезодатчиков, т.е. определить их чувствительность, а также оценить их инерционность. Выходные сигналы усилителей при испытаниях пьезодатчиков на всех трех стендах регистрировались на компьютере с помощью виртуального осциллографа Актаком-3117 (100 МГц).
3. РЕЗУЛЬТАТЫ ИСПЫТАНИЙ
3.1. Испытания на стенде
На рис. 2 представлены некоторые осциллограммы сигналов пьезодатчиков, полученные на стенде статических испытаний. Начальный электрический сигнал U0, появляющийся на датчике при ступенчатом импульсе давления, зависит от его пьезомодуля, определяющего величину электростатического заряда qэ, и от суммарной электрической емкости цепи:
. (1)
Здесь С1 — емкость датчика, С2 — емкость проводов, С3 — входная емкость усилителя, С4 — дополнительная шунтирующая емкость на входе в усилитель. Последняя использовалась для ограничения амплитуды входного сигнала в усилитель с очень чувствительных датчиков ПД1, ПД2 и ДС. У датчиков PCB, естественно, емкости С2 и С4 отсутствовали.
Рис. 2. Осциллограммы (сплошные линии), полученные на градуировочном стенде: а – PCB, б – ПД1, в – ПДМ. Штриховые линии соответствуют показаниям датчика давления, восстановленным с учетом стекания заряда по формуле (5).
В осциллограммах на рис. 2 отмечается постепенный спад сигнала, обусловленный стеканием электростатического заряда на входном сопротивлении усилителя. Следует отметить незначительность этого спада на датчике PCB (рис. 2а), что говорит об очень высоком входном сопротивлении встроенного усилителя (не меньше 50 ГОм). Время полного стекания заряда составляло здесь около 10 с. Наиболее быстрый спад сигнала (около 0.03 с) происходит на миниатюрном датчике ПДМ (рис. 2в). Амплитуда сигнала с этого датчика также минимальна даже без дополнительной емкости С4. Это обусловлено очень малыми размерами чувствительного элемента датчика ПДМ (диаметр 1 мм, толщина 1 мм) и, соответственно, малым зарядом q и малой собственной электрической емкостью С1. Поэтому на него подавался ступенчатый импульс давления велиничной 0.4 МПа, а не 0.1 МПа, как на остальные датчики. Время стекания заряда на усилителе со входным сопротивлением 1 ГОм для датчиков ПД и ДС составляло около 0.2–0.3 с.
Рис. 3. Осциллограммы сигналов пьезодатчиков при их ступенчатом лучистом нагреве: а – ПД1, б – ДС, в – PCB, г – ПД2, д – ПДМ.
Обычно измерения давления пьезоэлектрическим датчиком прекращаются, когда величина стекания заряда превышает 5–10% от номинальной величины U0. В работе [11] была предложена формула, позволяющая восстанавливать истинные значения давления с учетом стекающего заряда и, следовательно, увеличивать возможное время измерений. Однако при повторных градуировках пьезодатчиков на стенде выявилась одна особенность стекания электростатического заряда на входном сопротивлении усилителя. Если для датчиков PCB (рис. 2a) характер этой кривой достаточно точно описывался простой экспонентой
, (2)
где U0 — величина сигнала в момент времени t = 0, a — индивидуальное значение константы при экспоненте для каждого сочетания входного сопротивления усилителя и суммарной емкости цепи,
, (3)
то для всех остальных датчиков стекание заряда происходило более сложным образом, а в конце величина сигнала иногда даже меняла знак (рис. 2в).
Подозрение на искажение сигнала собственным усилителем было снято подачей на него заряда с простого керамического конденсатора емкостью 200 пФ, показавшего также простую экспоненту (2). Остается предположить, что из-за наличия измерительного кабеля, соединяющего пьезодатчики с усилителем, в измерительной цепи образуется колебательный контур с большим декрементом затухания (фактически затухание происходит на первом периоде колебаний). В этом случае для описания процесса разряда пьезодатчика необходимо использовать аппроксимационную формулу
, (4)
где a и b — эмпирические коэффициенты, полученные из градуировок датчиков. И хотя эта формула не описывает всю экспериментальную кривую (особенно в ее отрицательной области), она позволяет на порядок увеличить время измерения меняющегося давления с учетом стекания заряда.
На рис. 2 штриховой линией показаны результаты обработки сигналов пьезодатчиков с использованием формулы
. (5)
С помощью такой обработки можно восстановить истинное значение сигнала и расширить временной диапазон измерений динамических давлений пьезодатчиками в комплекте с усилителями следующим образом: PCB — до 10 с, ПД1, ПД2 и ДС — до 0.2 с и ПДМ — до 0.03 с.
3.2. Нагрев пьезодатчиков
Предварительный нагрев пьезодатчиков на стенде статических испытаний от комнатной температуры 20–25°C до 50°C не выявил зависимости их чувствительности от температуры. Для испытаний при более высоких начальных температурах требуется существенная доработка нагревательного устройства стенда.
На рис. 3 показаны осциллограммы сигналов пьезодатчиков на выходе усилителя при их ступенчатом лучистом нагреве. Наименьший тепловой дрейф сигнала отмечен на датчике ДС (рис. 3б), где пьезоэлемент расположен внутри резиноподобного композитного материала.
Рис. 4. а – Изменение температуры платинового термометра сопротивления при различных величинах плотности лучистого теплового потока, б — градуировочная кривая (6) галогеновой лампы накаливания, Uн – напряжение накала лампы, qл – лучистый тепловой поток, точками обозначены экспериментальные значения.
Светолучевой нагреватель был предварительно проградуирован, т.е. была определена зависимость лучистого теплового потока qл от напряжения накала галогеновой лампы Uн. Для этого использовался предварительно зачерненный тонкопленочный платиновый термометр сопротивления [18]. Сигналы платинового термометра при различных напряжениях на лампе накаливания представлены на рис. 4а. Все кривые имеют форму парабол, что соответствует граничному условию qл = const [19]. Градуировочная характеристика qЛ(UН) на рис. 4б соответствует аппроксимационной формуле
. (6)
Некоторое отличие этой зависимости от квадратичной, соответствующей электрической мощности лампы,
, (7)
объясняется зависимостью от температуры электрического сопротивления вольфрамовой спирали лампы Rл, спектрального состава излучения спирали и спектральной пропускной способности кварцевой колбы лампы.
Как можно видеть на рис. 3, все пьезодатчики имеют существенный и весьма сложный по форме дрейф сигнала при импульсном тепловом воздействии. Дрейф объясняется тепловыми напряжениями, возникающими в корпусе датчика и его внутренних деталях. Этот дрейф в принципе неустраним, поэтому при одновременном воздействии давления и теплового потока его необходимо просто учитывать — вычитать из суммарного сигнала датчика. Если реальный тепловой поток к пьезодатчику при проведении измерений известен, но не соответствует условию qэ = const, где qэ — это заряд в формуле (1), то можно попытаться учесть его, используя в качестве аргумента не плотность теплового потока qл, а суммарный тепловой импульс:
, (8)
где q — поток тепла.
3.3. Испытания в ударной трубе
На рис. 5 показаны осциллограммы давления, полученные при испытаниях пьезодатчиков в ударной трубе УТ-3 ОИВТ РАН при начальном давлении P1 = 50 кПа и числе Маха ударной волны М1 = 1.15. На всех осциллограммах хорошо фиксируются фронты первичной и отраженной ударных волн со временем нарастания сигнала около 10 мкс и примерно постоянная величина давления за ними, кроме осциллограммы для датчика ПДМ (рис. 5г), где заметен экспоненциальный спад.
Рис. 5. Осциллограммы давления (ДД) на боковой стенке ударной трубы: а – ПД1, б – ПД2, в – ДС, г – ПДМ, д – PCB, штриховые линии соответствуют расчетным значениям давления для первичной (ПУВ) и отраженной (ОУВ) ударных волн.
Длительность фронта нарастания сигнала при прохождении мимо датчика ударных волн объясняется не инерционностью пьезодатчиков; она связана с их пространственным разрешением: при числе Маха первичной ударной волны в воздухе М1 = 1.15 и, соответственно, ее скорости u1 = 400 м/с время прохождения волны мимо чувствительного элемента датчика, имеющего диаметр 4 мм, составляет 10 мкс.
На всех осциллограммах на рис. 5 штриховыми линиями показаны расчетные значения давления Р2 за первичной ударной волной и Р5 за ударной волной, отраженной от твердого торца ударной трубы [20]:
(9)
Здесь P1 — начальное давление в ударной трубе, γ ≈ 1.4 — показатель адиабаты воздуха, M1 — число Маха первичной ударной волны.
Отмечается удовлетворительное согласие между измеренными и рассчитанными по формуле (9) значениями давления (P2 = 69 кПа, P5 = 94 кПа).
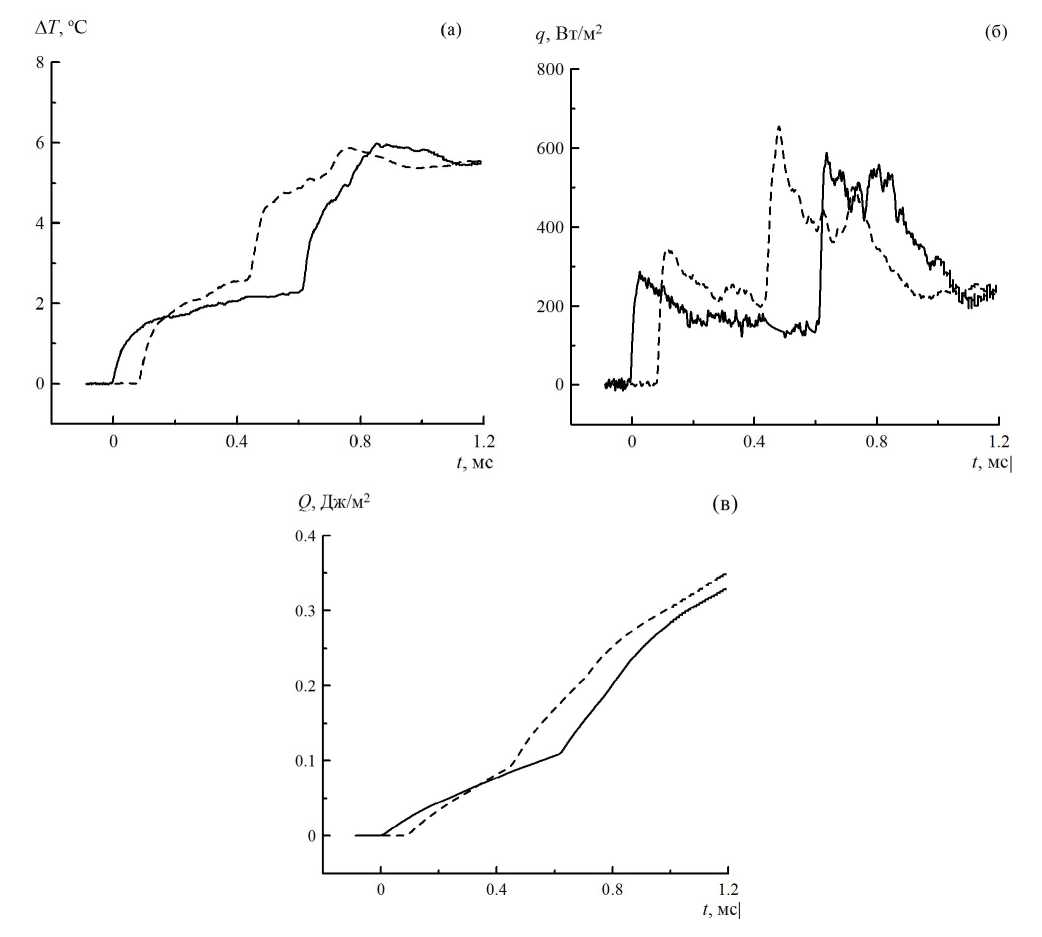
Рис. 6. Тепловые измерения платиновыми датчиками в ударной трубе: а – температура поверхности, б – плотность теплового потока, в – тепловой импульс. Сплошные и штриховые линии соответствуют двум последовательным датчикам.
Хотя процесс распространения ударной волны в ударной трубе сопровождается интенсивным нагревом, особенно сразу за фронтом первичной волны, ни на каких осциллограммах (рис. 5) совершенно не заметен тепловой дрейф сигнала, зафиксированный при лучевом нагреве, описанном выше. Для объяснения этого факта на месте датчиков давления в ударной трубе были установлены два платиновых тонкопленочных термометра сопротивления, на основании показаний которых (рис. 6а) рассчитывалась плотность теплового потока в момент τ = t [18]:
. (10)
Здесь T(τ) — температура платиновой пленки; ρ1, C1, l1 — ее плотность, удельная теплоемкость и толщина; ε2 — коэффициент тепловой активности стекла, на которое нанесена пленка.
Результаты обработки сигналов платиновых датчиков по уравнению (10) показаны на рис. 6б, а соответствующие тепловые импульсы, рассчитанные по уравнению (8), — на рис. 6в. Хотя параметры течения в ударной трубе с платиновыми датчиками были более высокими (M1 = 2.02), чем при испытаниях пьезодатчиков, величина импульса тепла в конце пуска (Q ≤ 0.3 Дж/м2) оказалась значительно меньше величин импульсов лучистого потока, подававшихся на датчики (Q ~ 10–100 Дж/м2), что и объясняет отсутствие теплового дрейфа в условиях экспериментов в ударной трубе.
3.4. Оценка инерционности и максимальной чувствительности
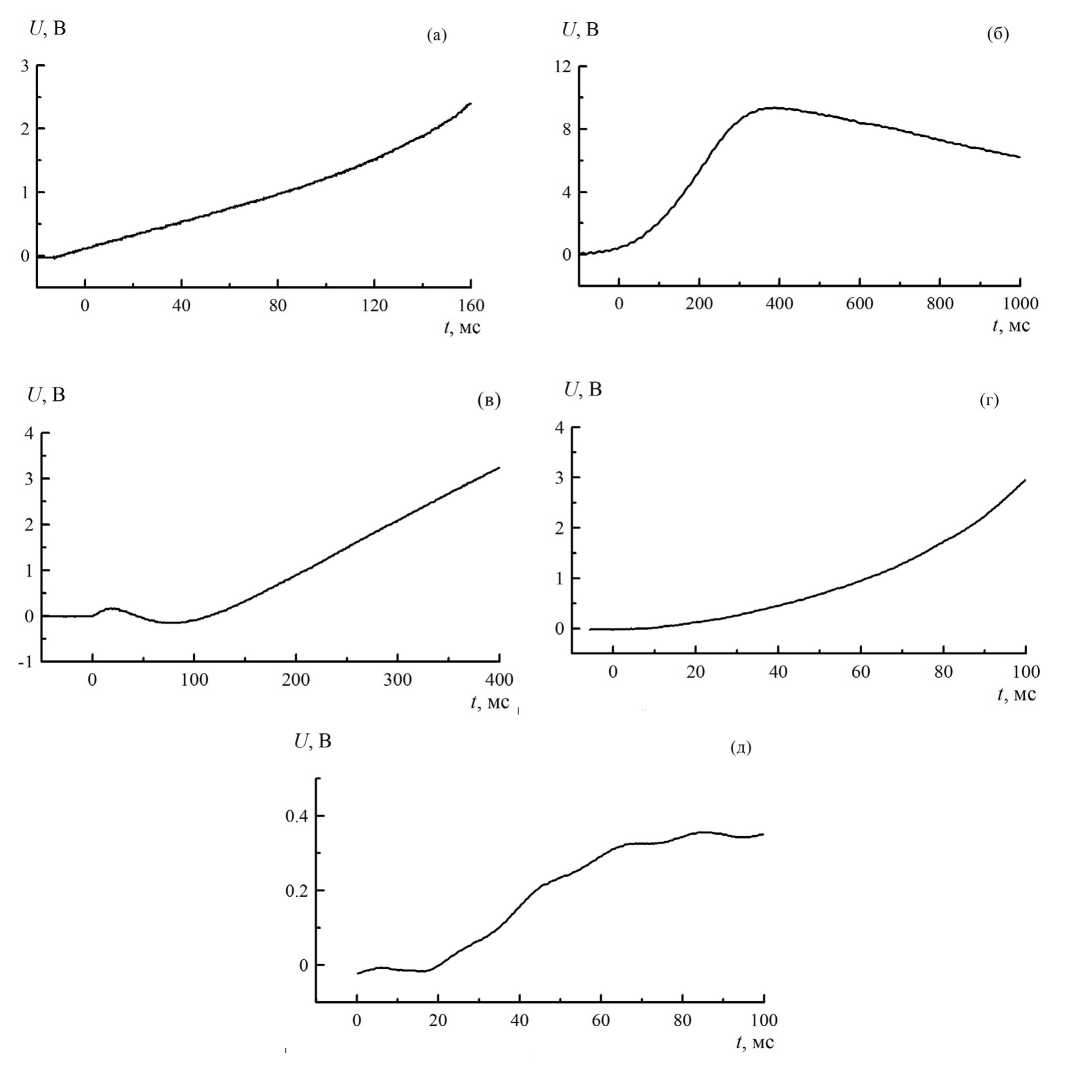
Время релаксации (установления термодинамического равновесия) за отраженной ударной волной при числе Маха первичной волны M1 ≈ 1.15 соизмеримо со временем свободного пробега молекул (10–9 с [21]). Тогда зарегистрированная в эксперименте задержка выхода сигнала датчиков, установленных в торце ударной трубы, на величину расчетного давления P5 могла быть обусловлена либо инерционностью усилителя, либо инерционностью самого датчика. На рис. 7 показаны осциллограммы давления всех датчиков, установленных в торце ударной трубы, при очень быстрой развертке сигнала.
Рис. 7. Осциллограммы, получаемые с пьезоэлектрических датчиков давления на торце ударной трубы (а–д) и на боковой стенке ударной трубы (е).
Время нарастания сигнала для датчиков PCB (рис. 7а), ПД1 (рис. 7б), ПД2 (рис. 7в) и ПДМ (рис. 7г) составило 2–3 мкс, а для датчика ДС — 5 мкс (рис. 7д). Это время и можно принять за их инерционность. Однако, как следует из этих осциллограмм, на сигналы датчиков наложились близкие к гармоническим слабозатухающие колебания. Так, для датчика PCB резонансная частота составила 667 кГц, для датчика ПД1 — 67 кГц, для датчика ПД2 — 60 кГц, для датчика ПДМ — 200 кГц, для датчика ДС — 83 кГц. Время затухания этих колебаний для разных датчиков варьировалось от 20 мкс (ДС) до 200 мкс (PCB). Можно предположить, что импульс давления P5 при таком крутом фронте нарастания возбудил в датчиках акустические колебания с собственной резонансной частотой.
Для проверки этого предположения были повторно проведены измерения давления на боковой стенке ударной трубы при очень коротких развертках осциллографа (рис. 7е). Можно видеть, что резонансные колебания в этом случае не возникали, так как длительность фронта нарастания сигнала, как указывалось выше, составляла 10 мкс.
Таким образом, при воздействии на пьезодатчик импульсов давления с очень коротким фронтом нарастания и, соответственно, возбуждением в нем резонансных колебаний минимальное время измерений давления ограничивается не его инерционностью, а длительностью затухания этих резонансных колебаний.
На рис. 8 показаны в сравнении сигналы датчика ПД1 и датчика PCB при особо малом измеренном импульсе давления (P1 = 100 кПа, M1 = 1.014, ΔP = 3 кПа). И хотя коэффициент усиления в первом случае составлял всего Ку = 10, в отсутствие емкости С2 сигнал датчика ПД1 примерно в 6 раз превышал сигнал датчика PCB. Это объясняется значительно большей величиной пьезомудуля керамики ЦТС-19 по сравнению с пьезомодулем монокристаллов кварца.
Таблица 1. Характеристики датчиков различных производителей
Тип датчика | Изготовитель | Основа | Диапазон | Температурный | Резонансная | Диаметр |
603B | Kistler | Кварц | 0–20 | –196 –+200 | 400** | 6.3–11.8 |
601CAA* | Kistler | Кварц | 0.02–25 | +15 –+35 | 215** | 6.5–38 |
113B28* | PCB Piezotronics | Кварц | 0–3.4 | –70 –+135 | 670***, 500** | 6.3–37 |
ДС | [6] | ЦТС-19 | 0–1 | – | 83*** | 5–12 |
ПД-1 | ОИВТ РАН | ЦТС-19 | 0–1 | 0 –150 | 67*** | 10–11 |
ПД -2 | ОИВТ РАН | ЦТС-19 | 0–1 | 0 –150 | 60*** | 8.5–12 |
ПДМ | ОИВТ РАН | ЦТС-19 | 0–1 | 0 –150 | 200*** | 5–6.5 |
RAW-51 | EL-SCADA (Пермь) | GaPO4 | 0–5 | –50 –+500 | 120** | 8–24 |
PS2001-5* | Глобал-Тест (Саров) | Кварц | 0.0002–0.5 | –40 –+125 | 30** | 14–48 |
T500 | НТИИМ (Нижний Тагил) | – | 1–50 | – | 120** | 12–35 |
014 MT | НПП Датчики и системы (Ростов-на-Дону) | – | 1–10 | –60 –+250 | 80** | 8.9–20 |
Примечание: * — со встроенным усилителем, ** — заявлено производителем, *** — измерено в настоящей работе.
В табл. 1 приведены основные характеристики как испытанных в данной работе, так и описанных в соответствующей литературе пьезодатчиков давления.
Индивидуальные значения коэффициента чувствительности датчика PCB в блоке с усилителем соответствуют приложенным к нему паспортным данным с погрешностью ± 3%, они составили в среднем Kд ≈ 0.015 В/кПа. Максимальные значения чувствительности датчиков ДС и ПД с 10-кратным усилением сигнала без дополнительной емкости C2 и с длиной соединительного кабеля 0.5 м составили Kд ≈ 0.08–0.3 В/кПа, а датчика ПДМ — Kд ≈ 2.5 мВ/кПа. Таким образом, наиболее чувствительными оказались датчики ПД и ДС, которые при соответствующем усилении сигнала позволяют измерять особо малые импульсы давления (вплоть до 100 Па).
Испытания в ударной трубе выявили одну существенную особенность таких измерений, а именно особые требования к “гладкости” установки датчиков в стенке ударной трубы. Кажущиеся незначительными уступы или зазоры приводили к заметному увеличению пульсаций — “дребезгу” сигнала, что обусловлено отсутствием пограничного слоя на фронте первичной ударной волны. Интерференция этой волны на уступах и зазорах может приводить к последующей генерации вторичных ударноволновых возмущений и к отрыву потока в локальных зонах на поверхности ударной трубы. Это способствует формированию высокочастотных микровихрей на поверхности ударной трубы. Выглаживание стенки в окрестности установки датчика заметно снижало амплитуду таких пульсаций.
Рис. 8. Сигналы датчиков ПД1 (а) и PCB (б) при особо малом импульсе давления: P₁ = 0.1 МПа, M₁ = 1.014, ΔP₁ = 3 кПа.
По результатам проведенных исследований можно отметить позитивный факт: на осциллограммах давления, полученных в ударной трубе для всех испытанных датчиков, ни за первичной ударной волной (рис. 5, 8), ни за отраженной (рис. 7) не отмечались искажения сигнала от вибраций. Это является значительным преимуществом исследуемых датчиков перед датчиком Kistler-603B, который, как было отмечено во Введении, оказался очень чувствительным к подобным вибрациям. Кроме этого, ни в каких экспериментах в ударной трубе не было замечено влияния электрических наводок промышленной частоты (50 и 100 Гц), хотя входное сопротивление усилителя 50 ГОм для датчика PCB и 1 ГОм для остальных по существу является “открытым антенным входом”. Здесь надо отметить, что оба этих позитивных факта следует отнести только к ограниченному диапазону условий работы конкретной ударной трубы УТ-3 ОИВТ РАН. Как механические вибрации, так и электрические наводки могут оказаться весьма существенными в других условиях работы пьезодатчиков, например, при исследованиях детонации и при измерении пульсаций давления в цилиндрах двигателей внутреннего сгорания с искровым поджигом топливной смеси.
Наконец, из анализа результатов испытаний и данных табл. 1 следует, что собственная резонансная частота пьезоэлектрических датчиков в целом увеличивается с уменьшением их габаритов. Наряду с конструктивными преимуществами при установке датчиков на малых экспериментальных моделях это также обосновывает стремление к их миниатюризации. С другой стороны, на результаты измерений в кратковременных процессах могут влиять и резонансные частоты установочных устройств, таких как адаптеры, переходники и прижимы. Это влияние на сигналы датчиков также нужно учитывать и по возможности минимизировать.
4. ЗАКЛЮЧЕНИЕ
Все испытанные пьезодатчики давления показали линейность характеристик в условиях экспериментов в ударной трубе.
Реальная инерционность датчиков составила 2–3 мкс, кроме датчика ДС, у которого инерционность составила 5 мкс. При нагружении датчиков импульсом давления с фронтом нарастания длительностью 10-9 с в них возбуждались собственные резонансные колебания. При нагружении всех датчиков импульсом давления, длительность нарастания которого была 10-5 с, резонансные колебания в них не возбуждались.
Максимальное время измерений динамического давления для датчиков PCB 1138B8 составляет 10 с; для датчиков ПД1, ПД2 и ДС со входным сопротивлением усилителя R = 1 ГОм равно 0.3 с; для датчика ПДМ составляет 0.03 с. Использование усилителя с большей величиной входного сопротивления пропорционально увеличит максимальное время измерений этими датчиками.
Чувствительность испытанных датчиков для PCB составила 0.014 В/кПа на выходе собственного усилителя; для датчиков ПД1, ПД2, ДС (на выходе 10-кратного усилителя) — не менее 0.08 В/кПа; для ПДМ равна 0.0005 В/кПа.
Никакие из испытанных пьезодатчиков не меняют своих характеристик в диапазоне статических температур от 20 до 50°C. При комбинированном механическом и тепловом импульсном воздействиях наблюдается тепловой дрейф нуля, который необходимо учитывать при обработке результатов измерений.
***
Конфликт интересов
Авторы заявляют, что у них нет конфликта интересов.
ФИНАНСИРОВАНИЕ РАБОТЫ
Исследование выполнено при финансовой поддержке Министерства науки и высшего образования Российской Федерации (госзадание № 075-00270-24-00). Результаты частично получены при использовании уникальной научной установки “Сфера” (УНУ “Сфера”) на базе ОИВТ РАН (Москва).
About the authors
С. В. Головастов
Объединенный институт высоких температур Российской академии наук; Московский государственный технический университет им. Н.Э. Баумана
Email: victor.v.golub@gmail.com
Russian Federation, 125412, Москва, ул. Ижорская, 13, стр. 2; 105005, Москва, ул. 2-я Бауманская, 5, стр. 1
В. В. Голуб
Объединенный институт высоких температур Российской академии наук
Author for correspondence.
Email: golovastov@yandex.ru
Russian Federation, 125412, Москва, ул. Ижорская, 13, стр. 2
Ю. В. Жилин
Объединенный институт высоких температур Российской академии наук
Email: victor.v.golub@gmail.com
Russian Federation, 125412, Москва, ул. Ижорская, 13, стр. 2
A. Ю. Микушкин
Объединенный институт высоких температур Российской академии наук; Московский государственный технический университет им. Н.Э. Баумана
Email: victor.v.golub@gmail.com
Russian Federation, 125412, Москва, ул. Ижорская, 13, стр. 2; 105005, Москва, ул. 2-я Бауманская, 5, стр. 1
A. A. Микушкина
Объединенный институт высоких температур Российской академии наук
Email: victor.v.golub@gmail.com
Russian Federation, 125412, Москва, ул. Ижорская, 13, стр. 2
О. A. Мирова
Объединенный институт высоких температур Российской академии наук
Email: victor.v.golub@gmail.com
Russian Federation, 125412, Москва, ул. Ижорская, 13, стр. 2
References
- Pressure sensors Kistler. https://www.kistler.com/INT/en/c/pressure-sensors/CG21-pressure-sensors
- Pressure Transducer PCB Piezotronics. https://www.pcb.com/sensors-for-test-measurement/pressure-transducers
- Смажевская Е.Г., Фельдман Н.Б. Пьезоэлектрическая керамика. Москва: Советское радио, 1971.
- Глозман И.А. Пьезокерамика. Москва: Энергия, 1972.
- Гвоздева Л.Г., Жилин Ю.В. // ПТЭ. 1978. № 5. С. 249.
- Сунцов Г.Н. // БИ. 1971. № 31. Авт. Свид. № 317928. СССР.
- Сегала А.Г., Голова Л.В., Головнин В.А., Добрынин Д.А., Довготелос Т.Е., Мирошников П.В., Нерсесов С.С., Петрова А.А., Соловьев М.А. РФ Патент 2546055, 2013.
- Головнин В.А., Каплунов И.А., Малышкина О.В., Педько Б.Б., Мовчикова А.А. Физические основы, методы исследования и практическое применение пьезоматериалов. Москва: Техносфера, 2013.
- Пьезоэлектрические материалы и элементы. Справочный каталог. Ростов-на-Дону: Южный федеральный университет, Институт высоких технологий и пьезотехники, НКТБ «Пьезоприбор», 2018.https://ivtipt.ru/storage/app/media/uploaded-files/ru_NKTB_materials_elements_2020.pdf
- Датчики и преобразователи. Каталог. Пенза: АО “НИИФИ”, 2021.https://russianspacesystems.ru/wp-content/uploads/2021/05/Katalog-Datchiki-i-preobrazovateli.pdf
- Голуб В.В., Жилин Ю.В., Марчук Н.А. // ПТЭ. 2018. № 4. С. 132.https://doi.org/10.1134/S0032816218040055
- Датчиковая измерительная аппаратура. Каталог. Саров: ООО “Глобал-Тест”, 2020.https://globaltest.ru/catalogpdf/catalog_GlobalTest_ru.pdf
- Надежные средства испытаний и контроля. Каталог. Пермь: OOO “ЭЛ-СКАДА”, 2022.https://el-scada.ru/wp-content/uploads/2022/06/catalog-el-skada_2022.pdf
- Пьезоэлектрик 2012. Каталог. Ростов-на-Дону: НКТБ “Пьезоприбор” ЮФУ, 2012.https://www.piezoelectric.ru/files/Catalog_content.pdf?ysclid = lxtcutlbda461887657
- Суркаев А. Л., Кульков В. Г. // Акустический журнал. 2006. Т. 52. №. 2. С. 264.
- Кикот В. В. // Измерение. Мониторинг. Управление. Контроль. 2016. №. 2(16). С. 58.
- Сунцов Г.Н., Браславец В.А., Кржиминский Б.В. // БИ. 1971. № 31. Авт. Свид. № 317929. СССР.
- Голуб В.В., Жилин Ю.В., Рылов С.А. // ПТЭ. 2018. № 3. С. 138.https://doi.org/10.7868/S0032816218030126
- Лыков А.В. Теория теплопроводности. Москва: Высшая школа, 1967.
- Reichenbach H. Kurzzeitphysik. Wien; New York: Springer-Verlag, 1967. (Райхенбах Г. // Физика быстропротекающих процессов. Т. 3. Москва: Мир, 1971. С. 67.)
- Исаков А.Я. Молекулярная физика и термодинамика. Петропавловск-Камчатский: КГТУ, 2007.
Supplementary files










