About One Approach to the Construction of a Solution to the Problem of Coal and Methane Emissions from the Marginal Zone of the Formation
- Authors: Cherdantsev N.V.1
-
Affiliations:
- Federal Research Center of Coal and Coal Chemistry, SB RAS
- Issue: Vol 87, No 1 (2023)
- Pages: 81-111
- Section: Articles
- URL: https://journal-vniispk.ru/0032-8235/article/view/138832
- DOI: https://doi.org/10.31857/S0032823523010058
- EDN: https://elibrary.ru/HVAYKX
- ID: 138832
Cite item
Full Text
Abstract
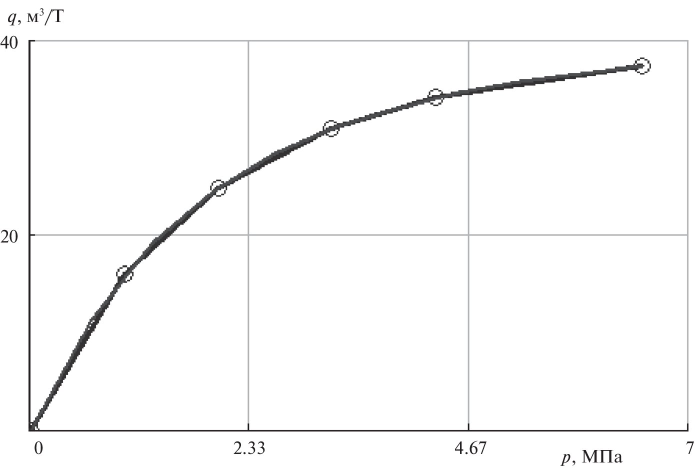
Based on the model of the geomechanical state of a coal massif containing a coal seam with a fragile layer, a mining working and the ideas developed by S.A. Khristianovich about gas-dynamic processes in the development of coal seams, a solving of the ejection of the marginal part of the formation is constructed. The conditions for the occurrence of gas-dynamic phenomena are formulated, which manifest themselves in the form of the formation first of a main crack in a formation with free methane, then the formation of a crushing wave in it, followed by the release of a jumper and a mixture of crushed coal and gas into mine working.
About the authors
N. V. Cherdantsev
Federal Research Center of Coal and Coal Chemistry, SB RAS
Author for correspondence.
Email: nvch2014@yandex.ru
Russia, Kemerovo
References
- Khristianovich S.A. About the crushing wave // Izv. AN USSR. ONT, 1953, no. 12, pp. 1689–1699.
- Khristianovich S.A. About the ejection wave // Izv. AN USSR. ONT, 1953, no. 12, pp. 1679–1688.
- Khodot V.V. Sudden Emissions of Coal and Gas. Moscow: GosNGI, 1961. 363 p. (in Russian)
- Tchernov O.I., Puzyrev V.N. Prediction of Sudden Gas and Coal Outbursts. Moscow: Nedra, 1979. 296 p. (in Russian)
- Petukhov I.M., Linkov A.M. The Mechanics of Rock Bursts and Discharges. Moscow: Nedra, 1983. 280 p. (in Russian)
- Fisenko G.L. The Limiting State of Rocks around an Excavation. Moscow: Nedra, 1976. 272 p. (in Russian)
- Zykov V.S. About the mechanism of formation of an outlier situation in the treatment face of a coal mine // Surveyor’s Bull., 2016, no. 5 (114), pp. 44–48.
- Shadrin A., Diyuk Y. Geophysical criterion of pre-outburst coal outsqueezing from the face space into the working // Int. J. Mining Sci.&Technol., 2019, vol. 29, iss. 3, pp. 499–506.
- Yang D., Chen Y., Tang J. et al. Experimental research into the relationship between initial gas release and coal-gas outbursts // J. Natural Gas Sci.&Engng., 2018, vol. 50, pp. 157–165.
- Guo H., Yuan L. An integrated approach to study of strata behaviour and gas flow dynamics and its application // Int. J. Coal Sci.&Technol., 2015, no. 2, pp. 12–21.
- Zhao B., Wen G., Sun H. et al. Similarity criteria and coal-like material in coal and gas outburst physical simulation / // Int. J. Coal Sci.&Technol., 2018, vol. 5, iss. 2. pp. 167–178.
- Physico-Chemistry of Gas-Dynamic Phenomena in Mines. Moscow: Nauka, 1972. 140 p. (in Russian)
- Khristianovich S.A. Continuum Mechanics. Moscow: Nauka, 1981, 484 p. (in Russian)
- Ruppeneyt K.V. Some Questions of Rock Mechanics. Moscow: House of Coal, 1954. 384 p. (in Russian)
- Turchaninov I.A., Iofis M.A., Kasparyan E.V. Fundamentals of Rock Mechanics. Leningrad: Nedra, 1989. 488 p. (in Russian)
- Gao W. Study on the width of the non-elastic zone in inclined coal pillar for strip mining// Int. J. Rock Mech.&Mining Sci., 2014, no. 72, pp. 304–310.
- Galindo R.A., Serrano A., Olalla C. Ultimate bearing capacity of rock masses based on modified Mohr-Coulomb strength criterion // Int. J. Rock Mech. & Mining Sci., 2017, no. 93, pp. 215–225.
- Khristianovich S.A. Distribution of gas pressure near the moving free surface of coal // Izv. AN USSR. ONT, 1953. no. 12, pp. 1673–1678.
- Cherdantsev N.V., Cherdantsev S.V. Analysis of the state for a coal massif in-seam working and a geological discontinuity// Mech. Solids, 2018, vol. 53, no. 2, pp. 211–220.
- Cherdantsev N.V. Approach to the constructing a hydraulic fracture trajectory in a rock mass near mine working // Mech. Solids, 2020, vol. 55, no. 8, pp. 1372–1391.
- Cherdantsev N.V. Estimation of the geomechanical state of the marginal zone of a coal seam containing a flimsy layer // Mech. Solids, 2021, vol. 56, no. 7, pp. 1307–1319.
- Sokolovsky V.V. Loose Medium Statics, Moscow: Nauka, 1990. 272 p. (in Russian)
- Cherdantsev N.V. The Results of numerical solution of the equations of limit state boundary formation areas and their approximation by polynomials // Labor Safety in Industry, 2019, no. 6, pp. 7–13.
- Cherdantsev N.V. Investigation of the extremely stressed state of the formation in its boundary zone by methods of bulk medium mechanics // Mining Inform. &Anal. Bull., 2020, no. 3, pp. 43–57.
- Lurie A.I. Theory of Elasticity. Moscow: Nauka, 1970. 940 p. (in Russian)
- Parton V.Z., Perlin P.I. Methods of Mathematical Theory of Elasticity. Moscow: Nauka, 1981. 688 p. (in Russian).
- Cherdantsev N.V., Presler V.T., Isakson V.Yu. Geomechanical state of strength-anisotropic rock mass in the vicinity of mating tunnels // J. Mining Sci., 2010, vol. 46, no. 2, pp. 143–148.
- Bulychev N.S. Mechanics of Underground Structures. Moscow: Nedra, 1984. 382 p. (in Russian)
- Baklashov I.V. Fundamentals of Geomechanics. V. 1. Moscow: Mosk. State Geol. Univ. Pub., 2004. 208 p.
- Zykov V.S. Sudden Emissions of Coal and Gas and Other Gas-Dynamic Phenomena in Mines. Kemerovo, 2010. 334 p. (in Russian)
- Kuznetsov S.V., Kriegman R.N. Natural Permeability of Coal Seams and Methods of Its Determination. Moscow: Nauka, 1978. 122 p. (in Russian)
- Kuznetsov S.V., Trofimov V.A. Gas dynamics of a coal seam. Numerical algorithm, partial and approximate solutions // Mining Inform. &Anal. Bull., 2008, no. 54, pp. 304–324.
- Barenblatt G.I., Entov V.M., Ryzhik V.M. Motion of Liquids and Gases in Natural Formations. Moscow: Nedra, 1984. 208 p. (in Russian)
- Romm E.S. Structural Models of the Pore Space of Rocks. Leningrad: Nedra, 1985. 240 p. (in Russian)
- Zakharov V.N., Maslennikova O.N., Trofimov V.A., Filippov Yu.A. Dependence of coal seam permeability on gas content and operating stresses // Fiziko-Tekhniche. Probl. Pazrab. Mineral Resources, 2016, no. 2, pp. 16–25.
- Conntell L.D., Lu M., Pan Z. An analytical coal permeability model for tri-axial strain and stress conditions // Int. J. Coal Geol., 2010, no. 84, pp. 103–114.
- Zhaoping M., Guoqing L. Experimental research on the permeability of high-rank coal under a varying stress and its influencing factors // Eng. Geol., 2013, no. 162, pp. 108–117.
- Shen W.Q., Liu S.Y., Xu W.Y., Shao J.F. et al. An elastoplastic damage constitutive model for rock-like materials with a factional plastic flow rule // J. Nat. Gas Sc.&Eng., 2018, no. 50, pp. 157–165.
- Puchkov L.A., Slastunov S.V., Kolikov K.S. Extraction of Methane from Coal Seams. Moscow: MSMU Pub., 2002. 384 p. (in Russian)
- Sedov L.I. Сontinuum Mechanics. Moscow: Nauka, 1984. 560 p. (in Russian)
- Hellan K. Introduction to Fractuare Mechanics. Trondheim: Univ. Press, 1984. 376 p.
- Cherdantsev N.V. Formulation and solution of the problem of methane disclosure of cleavage cracks in marginal zone of coal seam // Bull. Sci. Center of VostNII on Industrial and Environmental, 2022, no. 1, pp. 14–26 (in Russian)
- Samarsky A.A. Theory of Difference Schemes. Moscow: Nauka, 1977. 656 p. (in Russian)
- Rakhmatullin H.A., Sagomonyan A.Ya., Bunimovich A.I., Zverev I.N. Gas Dynamics. Moscow: Vysshaya Shkola, 1965. 722 p. (in Russian)
Supplementary files

















