Краевые углы лежащей капли и поджатого пузырька с учетом размерной зависимости поверхностного натяжения
- Авторы: Сокуров А.А.1
-
Учреждения:
- Институт прикладной математики и автоматизации КБНЦ РАН
- Выпуск: Том 87, № 5 (2023)
- Страницы: 862-868
- Раздел: Статьи
- URL: https://journal-vniispk.ru/0032-8235/article/view/232518
- DOI: https://doi.org/10.31857/S0032823523050144
- EDN: https://elibrary.ru/QPFIEO
- ID: 232518
Цитировать
Полный текст
Аннотация
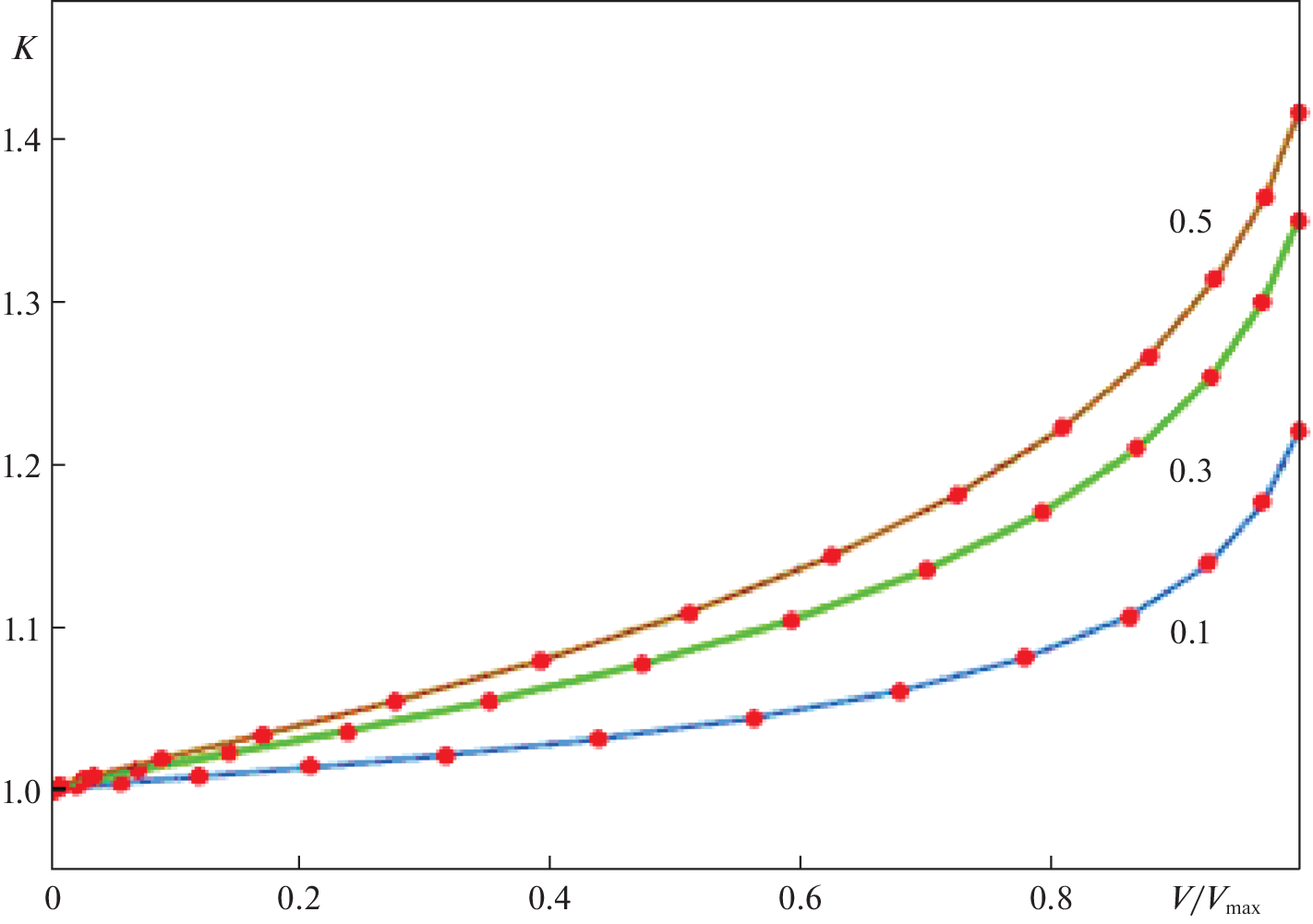
Построены качественно новые математические модели лежащей капли и поджатого пузырька, учитывающие размерную зависимость поверхностного натяжения. Хорошо известная модель Башфорта–Адамса является частным случаем построенных моделей, если длину Толмена устремить к нулю. Проведены численные расчеты краевых углов при различных значениях равновесного объема. Показано, что размерная зависимость поверхностного натяжения приводит к нарушению условия согласованности краевых углов капли и пузырька, находящихся во внешнем силовом поле.
Об авторах
А. А. Сокуров
Институт прикладной математики и автоматизации КБНЦ РАН
Автор, ответственный за переписку.
Email: asokuroff@gmail.com
Россия, Нальчик
Список литературы
- Русанов А.И., Прохоров В.А. Межфазная тензиометрия. СПб.: Химия, 1994. 400 с.
- Татьяненко Д.В., Щекин А.К. Термодинамический анализ вкладов адсорбции и линейного натяжения в краевой угол малых сидячих капель // Коллоид. ж. 2019. Т. 81. № 4. С. 517–531.
- Русанов А.И. Термодинамика краевого угла сидячего пузырька // Коллоид. ж. 2020. Т. 82. № 3. С. 354–362.
- Zhang H., Zhang X. Size dependence of bubble wetting on surfaces: breakdown of contact angle match between small sized bubbles and droplets // Nanoscale. 2019. V. 11. № 6. P. 2823–2828.
- Rusanov A.I., Tatyanenko D.V., Shchekin A.K. Comment on “Size dependence of bubble wetting on surfaces: breakdown of contact angle match between small sized bubbles and droplets” by H. Zhang and X. Zhang, Nanoscale, 2019, 11, 2823 // Nanoscale. 2021. V. 13. № 7. P. 4308–4310.
- Рехвиашвили С.Ш. Некоторые вопросы о малом сидячем пузырьке // Коллоид. ж. 2021. Т. 83. № 6. С. 738–740.
- Рехвиашвили С.Ш. Размерная зависимость поверхностного натяжения малой капли в предположении постоянства длины Толмена: критический анализ // Коллоид. ж. 2020. Т. 82. № 3. С. 386–390.
- Rekhviashvili S.Sh., Sokurov A.A. Modeling of a sessile droplet with the curvature dependence of surface tension // Turk. J. Phys. 2018. V. 42. № 6. P. 699–705.
- Русанов А.И. Фазовые равновесия и поверхностные явления. Л.: Химия, 1967. 388 с.
- Wen J., Dini D., Hu H., Smith E.R. Molecular droplets vs bubbles: Effect of curvature on surface tension and Tolman length // Phys. Fluids. 2021. V. 33. № 6. P. 072012.
- Финн Р. Равновесные капиллярные поверхности. Математическая теория. М.: Мир, 1989. 310 с.






