Natural Vibrations of a Gas in a Helmholtz Resonator with a Periodically Varying Cross-section
- Authors: Ko Ko P.1
-
Affiliations:
- Bauman Moscow State Technical University
- Issue: Vol 87, No 6 (2023)
- Pages: 1006-1013
- Section: Articles
- URL: https://journal-vniispk.ru/0032-8235/article/view/232548
- DOI: https://doi.org/10.31857/S0032823523060073
- EDN: https://elibrary.ru/HWCHOX
- ID: 232548
Cite item
Full Text
Abstract
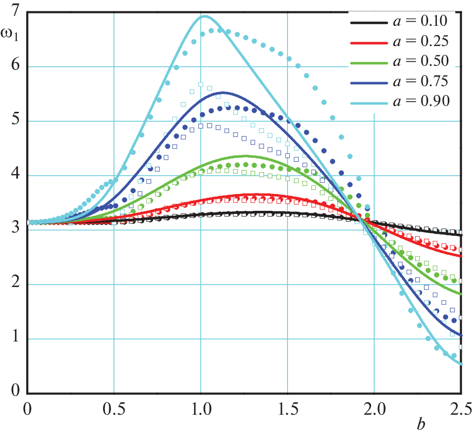
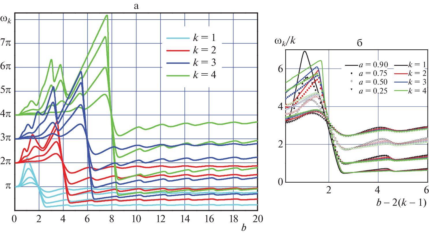
Within the framework of the long-wave approximation, the frequencies and shapes of gas natural oscillations in a Helmholtz resonator having the shape of a pipe of periodic cross-section have been studied. The problem is reduced to the Sturm–Liouville problem with boundary conditions of the first kind, the solution of which is carried out by the method of accelerated convergence. A detailed analysis of the dependences of eigenvalues and eigenfunctions on pipe parameters was carried out. A “self-similar” type of dependence of the natural frequency for various modes has been revealed. The values of the resonator periodicity parameters at which a sharp change in the natural frequency occurs are determined.
About the authors
Phyo Ko Ko
Bauman Moscow State Technical University
Author for correspondence.
Email: phyokoko4387@gmail.com
Russia, Moscow
References
- Strutt J.W. Theory of Sound. V. II. L.: Macmillan, 1926.
- Fok V.A. Theoretical study of conductivity of a circular hole in a wall across a tube // Dokl. AN SSSR, 1941, vol. 31, no. 9, pp. 875–878.
- Nesterov V.S. Experimental study of conductivity of a circular hole in a wall across a tube // Dokl. AN SSSR, 1941, vol. 31, no. 9, pp. 879–882.
- Nesterov S.V., Akulenko L.D., Baidulov V.G. Eigenoscillations of an acoustic cavity with a local membrane // Dokl. Phys., 2016, vol. 61, no. 9, pp. 467–470. doi: 10.1134/S1028335816090093
- Akulenko L.D., Baidulov V.G., Nesterov S.V. Dependence of the natural frequencies and mode shapes of vibrations of an ideal gas on the acoustic resonance parameters // Mech. Solids, 2017, vol. 52, no. 1, pp. 41–51. doi: 10.3103/S002565441701006X
- Bykov A.I., Komkin A.I., Mironov M.A. Study of the acoustic impedance of a hole at high sound levels // Uch. Zap. Phys. Fac. MSU, 2017, no. 5, 1751403.
- Akulenko L.D., Nesterov S.V. High Precision Methods in Eigenvalue Problems and Their Applications. Boca Raton: CRC Press, 2005. 255 p.
Supplementary files







