Критерии разрушения волокон и матрицы при статическом нагружении однонаправленных полимерных композитов
- Авторы: Олейников А.И.1,2
-
Учреждения:
- Центральный аэрогидродинамический институт им. Н. Е. Жуковского (ЦАГИ)
- Московский физико-технический институт
- Выпуск: Том 88, № 2 (2024)
- Страницы: 255-270
- Раздел: Статьи
- URL: https://journal-vniispk.ru/0032-8235/article/view/266194
- DOI: https://doi.org/10.31857/S0032823524020078
- EDN: https://elibrary.ru/XUILPU
- ID: 266194
Цитировать
Полный текст
Аннотация
При анализе прочности конструкций из слоистых волокнистых полимерных композиционных материалов используются критерии разрушения монослоя – однонаправленно армированного композита. Формулируется критерий прочности по условиям разрушения матрицы, соответствующий коническим предельным поверхностям и наименьшим разрушающим нагрузкам. Приводится критерий прочности по условию разрушения волокон, не допускающего парадокса увеличения прочности в области перехода от разрушения волокон к разрушению матрицы. Проводится экспериментальная проверка критериев при объемном, плоском и одномерном нагружениях. Показывается их лучшее соответствие опытным данным и отмечаются их преимущества. Небольшое число легко определяемых параметров данных критериев способствует их надежности и устойчивости в расчетах на прочность элементов композитных конструкций.
Ключевые слова
Полный текст
- Введение. Необходимым условием достижения современных прочностно-весовых и эксплуатационных характеристик несущих конструкций является максимальное применение в них непрерывно-волоконных слоистых полимерных композиционных материалов (ПКМ). Полное чисто экспериментальное обоснование прочности новых изделий из ПКМ является чрезвычайно многоуровневым и слишком ресурсозатратным. Расчетные исследования конструктивных решений и сопровождение всех уровней испытаний на основе более надежных теорий позволяет существенно сократить объем необходимых испытаний и повысить эффективность отработки прочности изделия.
Расчеты на прочность конструкций из ПКМ во многом основываются на критериях прочности составляющих его слоев (монослоев) – однонаправленно армированных композитов. К настоящему времени предложено довольно много критериев прочности монослоев. Однако проблема повышения надежности и устойчивости условий прочности остается до сих пор актуальной. Различные критерии дают значительный разброс в оценках прочности. Большое число параметров критерия обуславливает не единственность их набора. Сильная нелинейность критериев приводит к их неустойчивости по входным данным и не позволяет определить их параметры в составе конструкции. Коэффициент запаса прочности на данные ограничения все еще назначается очень большим.
Нарушение прочности композита вообще может иметь разный характер и происходить по различным механизмам разрушения и неустойчивости. Механически обоснованные условия прочности учитывают характер и механизмы разрушения и соответствуют наименьшей разрушающей нагрузке. Потеря прочности однонаправленного композита происходит частично из-за разрушения волокон, частично из-за разрушения матрицы.
Широкая экспериментальная проверка многих предложенных критериев разрушения матрицы (и/или ее границы с волокном) показывает, что в настоящее время перспективными выглядят критерии, определяемые условием достижения на некоторой площадке вдоль волокон критической величины заданной комбинации касательных и нормальных напряжений [1–10]. Если на этой площадке критериальная комбинация напряжений достигает наибольшей величины, то критерий определяет разрушение при наименьшей нагрузке. Таким, например, является известный критерий [5–7]. В пространстве касательных и нормальных напряжений, действующих на площадке, данный критерий описывает предельную поверхность, которая является строго выпуклой. Она состоит из смежных поверхностей эллипсоида и эллиптического параболоида. Хотя вид предельной поверхности выбирается с учетом опыта, но, очевидно, что в первом приближении всегда можно выпуклую поверхность аппроксимировать невогнутой, например, конической поверхностью второго порядка. Нестрогая выпуклость, очевидно, пойдет в запас прочности, не изменяя при этом характера и механизма разрушения. С другой стороны, такое упрощение критерия способствует повышению его надежности и устойчивости. Подобная аппроксимация также рассматривалась в [5]. Однако на тот момент для конической предельной поверхности не было решения, позволяющего аналитически определить площадку с наибольшей величиной критериальной комбинации напряжений. Для плоского напряженного состояния это решение дано в [11]. Оно имеет вид простой конечной формулы.
Однако для случаев объемного напряженного состояния аналитического определения такой критической площадки критерия [5–7] к настоящему времени не получено, ее находят численными методами [12–13]. Но именно аналитическое решение после его подстановки в выражение критерия позволяет записать последний в виде соотношения лишь между компонентами тензора напряжений. Благодаря этому отпадает необходимость отдельно решать задачу на экстремум для определения площадки с наибольшей величиной критериальной комбинации напряжений.
В критерии [5–7] в качестве характеристических констант входят некоторые геометрические параметры предельной поверхности, величины которых даются авторами. Однако постоянные материала обычно должны определяться независимо из стандартизованных и общепринятых испытаний.
При наличии нормального растяжения на критической площадке обычно предполагается, что она всегда перпендикулярна плоскости волокон, является фиксированной и не меняется с изменением напряженного состояния. Однако при этом предположении остается открытым вопрос, достигает ли критериальное соотношение наибольшей величины именно и всегда на этой площадке. Относительно применения критериев при наличии нормального растяжения на критической площадке могут быть высказаны такие же, как и высказываемые для условия Мора, определенные сомнения. Однако хорошо известно, что чистый отрыв, по-видимому, не наблюдается, отрыв сопровождается деформациями сдвига. Поэтому нельзя исключать того, что, например, при чистом растяжении поперек волокон максимум критерия реализуется на площадке, не ортогональной к направлению растяжения.
Что касается критерия прочности однонаправленного композита по условию разрушения волокон, то в качестве такового часто принимается равенство компоненты тензора напряжений вдоль волокон пределу продольной прочности [1, 4, 7]. Однако такой критерий может приводить к результату, который противоречит опыту. Например, согласно этому критерию, прочность в направлении одноосной нагрузки под углом к оси волокон возрастает с увеличением этого угла [10].
Целью настоящей работы является:
− формулировка на основе конических предельных поверхностей критерия прочности однонаправленных композитов по условию разрушения матрицы, надежно определяющего наименьшую разрушающую нагрузку;
− формулировка критерия прочности по условию разрушения волокон, непротиворечащего опыту при внеосевом нагружении;
− вывод уравнения и получение его аналитических решений, определяющих площадки с наибольшей величиной критериальной комбинации напряжений при объемном напряженном состоянии;
− определение системы уравнений и нахождение ее решений, определяющих смену механизмов потери прочности композита от разрушения волокон к разрушению матрицы, и наоборот;
− получение соотношений для определения характеристических параметров критериев прочности из стандартизованных и общепринятых установочных испытаний;
− экспериментальная проверка предложенных критериев и их сравнение с известными критериями прочности при объемном, плоском и одномерном нагружениях.
Некоторые основные результаты этой работы были анонсированы в [14].
- Критерий прочности по условию разрушения матрицы. Пусть – компоненты тензора напряжений в декартовой прямоугольной системе координат , оси которой лежат в плоскости волокон и направлены соответственно вдоль и поперек волокон, . Составляющие вектора напряжения, действующего на площадке с нормалью [4], даются формулами
(2.1)
где – нормальное напряжение, – касательное напряжение поперек волокон в направлении вектора , – касательное напряжение вдоль волокон в направлении вектора .
Критерий прочности однонаправленного композита по условию адгезионного разрушения интерфейса волокно–матрица или/и когезионного разрушения матрицы между волокнами записывается в виде [11]
(2.2)
где угол соответствует критической площадке, на которой функция критерия , , при данном напряженном состоянии достигает своей наибольшей величины,
(2.3)
В (2.2), (2.3) индекс «+» отвечает случаю , индекс «–» – . В обеих частях равенств эти индексы берутся одинаковыми. В частном случае и критерий (2.2) совпадает с [2, 3]. Функция является неаналитической первой степени однородности относительно компонент тензора напряжений. Очевидно, что (2.2) также можно представить квадратичным критерием [11].
Для фиксированной критической площадки уравнение (2.2) в пространстве напряжений при описывает усеченную плоскостью эллиптическую коническую поверхность второго порядка , при – отделенную той же плоскостью вершинную часть эллиптической конической поверхности . Ось является общей осью симметрии для обеих поверхностей. В сечении плоскостью углы полураствора этих конусов равны
, а в сечении –
Из (2.2) при можно получить, что , а при получаем . Величина вектора касательного напряжения на площадке n есть . Этот вектор направлен под углом к направлению его составляющей . Обозначим при , тогда , и (2.2) записывается в виде
(2.4)
Пусть далее при , тогда из (2.4) имеем
, поэтому (2.4) можно переписать в виде
(2.5)
откуда, обозначив , получаем, что
(2.6)
и критерий (2.2) можно записать в виде
(2.7)
С другой стороны, зависимость (2.6) следует из эквивалентности (2.2) и (2.7) с учетом выражения для угла .
Вследствие (2.3) предельная поверхность (2.2) является огибающей для – семейств конических поверхностей , что обуславливает ограниченность (2.2) [11].
- Материальные параметры критерия (2.2). Постоянные , и могут быть найдены по результатам стандартизованных и общепринятых испытаний образцов на разрушение. В испытаниях при одноосном растяжении-сжатии перпендикулярно волокнам при разрушении , . В испытаниях при сдвиге вдоль волокон при разрушении и . По данным этих испытаний из (2.2) (2.3) и формул (2.1) следуют соотношения для определения параметров критерия по характеристическим константам материала:
(3.1)
В сечении критерий (2.2) непрерывен и является эллипсом с полуосями:
(3.2)
Согласно (3.1), второе равенство (3.2) выполняется тождественно, первое же равносильно соотношению
(3.3)
Благодаря этой формуле из опыта достаточно определить один из углов, например, , тогда находится по (3.3).
К настоящему времени отсутствует общепринятый стандарт на испытания по определению углов . В опытах получали узкий диапазон значений угла для стекло- и углепластиков, [5, 15, 16]. В расчетной практике обычно используют из этого диапазона [17]. Тогда по (3.3) соответствующий диапазон , если принять, например, что , как в углепластике T700S/2592.
В случае равенства параметров вообще нет необходимости определять и из опыта. В этом случае поверхность в сечении является окружностью и угол можно определить по характеристическим прочностям и согласно формуле [11]:
(3.4)
Если известны разрушающие напряжения при поперечном растяжении-сжатии и при продольном сдвиге , а также параметр , то можно построить предельную поверхность критерия (2.2), которая позволяет с достаточной надежностью и минимальным риском судить о прочности в и других случаях напряженного состояния. Это обусловлено с одной стороны тем, что предельная поверхность является лишь невогнутой, а не строго выпуклой, а с другой – она определяет наименьшую разрушающую нагрузку. Небольшое число параметров критерия (2.2) также способствует их надежному определению.
Из натурных изделий, обладающих существенной кривизной, бывает невозможно вырезать композитные образцы эталонной формы. В этом случае для определения разрушающих напряжений можно использовать криволинейные образцы [18].
При достаточном числе имеющихся экспериментальных точек параметры критерия могут также определяться методом наименьших квадратов с учетом связей (3.1).
- Объемное напряженное состояние. Угол , который фигурирует в критерии (2.2) или (2.7), является, согласно (2.3), решением следующего уравнения:
(4.1)
При лишь (а все остальные компоненты тензора напряжений равны нулю), решение (4.1) есть угол . Это решение совпадает с соотношением из (3.1), полученным ранее другим путем непосредственно из (2.1), (2.2). Аналогично, при лишь из (4.1) имеем , которое также является механически очевидным. При лишь , с использованием соотношения для в (3.1) из (4.1) получаем углы , которые соответствуют данному установочному нагружению.
Для некоторых видов сложного объемного напряженного состояния также можно получить аналитические решения уравнения (4.1). В случае когда , имеем напряженное состояние в плоскости , которое, например, имеет место при и . Тогда из (4.1) с использованием (2.1) и (2.3) найдем, что
(4.2)
Подставив (4.2) в (2.2), можем записать этот критерий прочности в виде соотношения, определяемого лишь компонентами тензора напряжений,
(4.3)
При или этот критерий является линейным.
Аналогично, в случае, когда , имеем напряженное состояние в плоскости , которое, например, реализуется при и при котором решение (4.1)
(4.4)
и критерий (2.2) записывается в следующем виде:
(4.5)
Этот критерий является линейным при условии равенства .
В общем случае объемного напряженного состояния решения уравнения (4.1) для определения углов легко достигаются элементарными численными методами.
Отметим, что преимущество критериев (4.3) и (4.5) обусловлено учетом в них зависимости прочности от направления площадки разрушения – угла при наличии поперечного растяжения. Например, для критерия (4.3) это может проявиться в экспериментах при , и . Аналогично, для критерия (4.5) – при . Опыт с данными объемными напряженными состояниями трудно реализовать в лаборатории, но они нередко встречаются на практике, причем в весьма ответственных местах конструкций из полимерных композитов. Таковыми, например, являются области сопряжения ребер жесткости с плоскостью обшивки крыла.
Одновременно в области растягивающих нормальных напряжений критерии (4.3) и (4.5) позволяют описать разрушения, которые имеют направления, отличные от направления армирования.
- Плоское напряженное состояние. Рассмотрим тонкостенные тела, например пластины или оболочки из однонаправленных ПКМ, нагруженных силами, лежащими в их срединной плоскости, когда средние напряжения . Тогда уравнение (4.1) также позволяет получить решение в виде формулы
(5.1)
которая после преобразований с учетом (2.2) приобретает вид
(5.2)
Формула (5.2) для случая совпадает с формулой, которая была получена ранее другим путем [11].
Подставив (5.2) в (2.2), с учетом (2.1) и (3.1) окончательно получим критерий прочности в виде следующих двух критериальных равенств:
, при , (5.3)
, при , (5.4)
Указанные в (5.3) отрезки поперечного напряжения соответствуют верхней строке решения (5.2) для , а отрезки в (5.4) – нижней строке этого решения. Первому решению отвечает линейный критерий (5.3), второму решению – квадратичный критерий (5.4). Используя (2.2), (2.1) и (3.1), можно также получить отрезки для напряжения , соответствующие данным отрезкам для .
На координатной плоскости критерий (5.3) описывает ломаную с вершиной в точке и звеньями, расположенными в двух смежных вертикальных полосах, граница которых есть ось и ширины равны соответствующим отрезкам (5.3). Критерий (5.4) описывает части кривой эллипсов, расположенных также в двух вертикальных полосах, которые разделены предыдущими полосами и имеющие ширины, равные соответствующим отрезкам (5.4). Одни концы этих кривых примыкают к соответствующему краям ломаной (5.3), а другие – лежат на оси в соответствующих точках .
- Критерий прочности по условию разрушения волокон, смена механизмов разрушения. Если в качестве критерия прочности по условию разрушения (неустойчивости) волокон принять часто используемое равенство компоненты тензора напряжений вдоль волокон пределу продольной прочности
(6.1)
то, например, при одноосном растяжении-сжатии под углом к оси волокон прочность в направлении приложенной нагрузки растет с ростом согласно зависимости
(6.2)
Это очевидно противоречит опыту, в действительности снижается с возрастанием [10].
В конструкционных пластиках смена механизмов потери прочности от разрушения волокон к разрушению матрицы, и обратно, вообще происходит лишь при весьма малых углах , [10, 19]. Простейший критерий прочности по условию разрушения волокон можно записать в виде
при , (6.3)
где , , .
При (6.3) совпадает с равенством (6.1). При одноосном нагружении (6.3) совпадает с критерием [10].
Угол в (6.3) определяется этим равенством. При плоском напряженном состоянии, с учетом малости и пренебрегая его квадратом, получим, что
(6.4)
Угол смены механизмов потери прочности в принципе можно определить по данным испытаний на разрушение, например, при растяжении-сжатии под различными углами . Однако из-за узкого диапазона и разброса измеряемых данных такое определение вряд ли надежно. С другой стороны, является решением системы двух уравнений, (6.3) и (2.2). При плоском напряженном состоянии эта система сводится, согласно (5.3) и (6.3), к одному уравнению
(6.5)
С учетом малости угла приблизительно , . Тогда, пренебрегая квадратом , уравнение (6.5) дает простую формулу
(6.6)
Из (6.6) и (6.4) следует, что нарушение прочности от разрушения волокон не произойдет в том случае, когда
(6.7)
Для углепластика T700S/2592 МПа, МПа и МПа [20], и согласно (6.6) при , , а при –.
Также из (6.6) следует, что диапазон работы волокон в композите возрастает вместе с сопротивлением матрицы сдвигу вдоль волокон. С другой стороны, прочность волокна не должна быть слишком велика.
- Экспериментальная проверка критериев прочности, сравнение с известными условиями разрушения
7.1. Объемное напряженное состояние. На рис. 1 представлены экспериментальные данные по разрушению однонаправленного углепластика T300/PR319 в двух случаях объемного напряженного состояния, которые реализуются в толстостенных трубчатых слоистых образцах приложением к ним давления p и торцевого крутящего момента [21, 22]. Эти состояния отвечают действию комбинации нормальных сжимающих напряжений и одного из касательных напряжений: либо (90°-трубка, монослои (волокна) уложены в окружном направлении, (кружки)), либо (0°-трубка, монослои (волокна) уложены в осевом направлении, (квадратики)) [21, 22]. В обоих случаях исходный материал слоев (препрег) и геометрия образцов были идентичны, однако технологии их изготовления были различны. Поэтому авторы предупредили о том, что соответствующие измеренные механические величины этих образцов нельзя сопоставлять. Для сравнения с теорией мы будем использовать данные по разрушению 90°-трубки.
Рис. 1
Данные нагружения соответствуют случаю объемного напряженного состояния с , , для которого получен критерий (4.3). Используем эти опытные данные для проверки критерия (4.3).
Прочностные константы материала МПа, МПа [23]. Величина была найдена при обработке экспериментальных данных в диапазоне умеренных давлений МПа методом наименьших квадратов с учетом связей (3.1). Тогда также из (3.1) был определен характеристический угол материала , который оказался близок к значению 50°, принятому для этого же материала в [24].
Для рассматриваемых объемных напряженных состояний критерий (4.3) является линейным соотношением между и p в 90°-трубке или и p в 0°-трубке
(7.1)
Согласно (4.2), в обоих состояниях угол является постоянным, а именно, в 90°-трубке , в 0°-трубке .
Уравнения (7.1) на плоскости или описывают одну и ту же прямую, отрезок которой в диапазоне умеренных давлений изображен на рис. 1 а и б сплошной, а при МПа – пунктирной линией. Судя по экспериментальным данным, при больших давлениях МПа существенную роль, по-видимому, играет величина пластической деформации [21, 22], которая в критерий не входит. Поэтому применимость критерия (4.3) здесь ограничена диапазоном давлений МПа. В этом диапазоне критерий (7.1) хорошо соответствует опытным данным по разрушению 90°-трубки и качественно соответствует данным для 0°-трубки.
Сравнение графиков прочности , рассчитанных по (7.1) – прямая 4, и по критериям [25] – кривая 1, [24] – кривая 2, [26] – кривая 3, [27] – кривая 5, представлено на рис. 1 б. В отличие от критерия (4.3), который имеет всего два параметра, число характеристических постоянных материала в этих критериях достигает девяти и даже тридцати констант и материальных функций. При умеренных напряжениях в условиях объемного напряженного состояния линейный более простой критерий (7.1) оказался в лучшем соответствии с опытными данными.
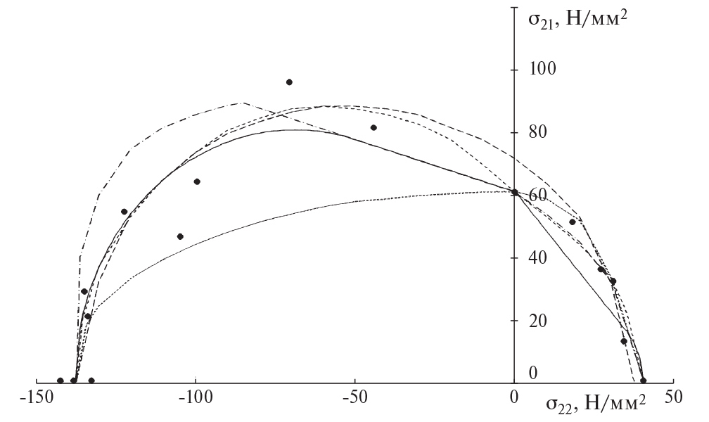
7.2. Плоское напряженное состояние. На рис. 2 а и рис. 3 представлены экспериментальные данные (кружки) по разрушению однонаправленного стеклопластика Gevetex/LY556-HT907-DY063 при двухкомпонентном плоском напряженном состоянии, которое реализуется в намотанном послойно по окружности тонкостенном трубчатом образце приложением к нему торцевого крутящего момента и внутреннего или внешнего давления [28, 29]. Эти состояния отвечают действию нормальных сжимающих или растягивающих напряжений и касательного напряжения .
Рис. 2
Рис. 3
Используем данные этого эксперимента для проверки критериев (5.3), (5.4). Прочностные константы материала МПа, МПа, МПа, .
Рассчитанный по (5.3), (5.4) предел прочности данного композита описывается на плоскости линией, хорошо согласующейся с массивом экспериментальных точек, имеющих определенный разброс (рис. 2, а). Рассчитанный по формуле (5.2) график изменения угла , наклона критической площадки в зависимости от поперечного напряжения приведен на рис. 2 б. На нем видно, что эта зависимость непрерывна, а также то, что на отрезке МПа () критическая площадка перпендикулярна плоскости волокон – . На этом отрезке применялся критерий (5.3), вне его – критерий (5.4). Вне данного отрезка наклон площадки меняется от нуля до при увеличении поперечного сжатия, и также от нуля до при росте поперечного растяжения. Непрерывный переход от скола матрицы в плоскости ортогональной к плоскости волокон, который описывается линейным критерием (5.3), к сколу вдоль волокон в наклонной плоскости, который описывается квадратичным критерием (5.4), происходит при отношении касательных напряжений к сжимающим поперечным и при при растягивающих поперечных напряжениях.
Графики прочности , рассчитанных по (5.3), (5.4) (сплошная линия) и по критериям [30, 31] – линия длинных пунктиров, [32] – точечная линия, [7] – линия коротких пунктиров, [33] – штрихпунктирная линия, представлены на рис. 3. На этом рисунке видно, что в области сжимающих напряжений более простой критерий (5.3), (5.4) оказался в лучшем соответствии с опытными данными, чем критерии [30–33], и примерно в таком же соответствии, как и критерий [7]. При наличии растягивающих напряжений критерии (5.3), (5.4) и [30, 31] также примерно одинаково соответствуют опыту. Критерий (5.3), (5.4), как и ожидалось, обеспечивая запас прочности, здесь дает более консервативную оценку прочности, чем критерии [7, 32, 33].
Кроме того, на примере этих опытов можно отметить преимущество критерия (5.4). В диапазоне другие критерии не учитывают зависимость прочности от направления площадки разрушения, угол которого здесь возрастает от 0 до значения , определяемого формулой (3.3). На рис. 3 видно, что учет этой зависимости позволяет внутри данного диапазона немного снизить коэффициент запаса. Согласно (3.3), это снижение может достигать существенных значений для материалов, в которых повышено отношение прочностей при растяжении и сжатии поперек волокон.
7.3. Одноосное осевое и внеосевое растяжение-сжатие. Данные испытаний статической прочности плоских образцов, вырезанных из слоистого однонаправленного углепластика T700S/2592 в шести направлениях под углами к оси волокон, представлены на рис. 4, а, б (кружки) [20].
Проверим критерии (5.3), (5.4), (6.3) и в этом эксперименте. Характеристические прочности МПа, МПа, МПа, МПа, МПа, .
На рис. 4, а проведены теоретические кривые зависимости между пределом прочности и углом , рассчитанные по формулам (5.3), (5.4), (6.3). На рисунке видно хорошее соответствие теории и эксперимента как при растяжении, так и при сжатии.
Рис. 4
Графики зависимости , рассчитанные по критерию (5.3), (5.4), (6.3) – сплошная линия, а также по критерию [1, 4] – точечная линия, [5–7] – линия коротких пунктиров, [30] – линия длинных пунктиров и [10] – штрихпунктирная линия, приведены на рис. 4, а.
На этом рисунке видно, что по данным критериям пределы прочности при растяжении различаются несущественно, а кривые по (5.3), (5.4), (6.3) и по [5–7] практически полностью совпадают. Смена механизма потери прочности композита от разрыва волокон к сколу матрицы происходит уже при согласно (6.6), для критерия [5–7] – при 1.69° и для [1, 4] – при 7.2°. Наибольшее различие видно с критерием [1, 4] – примерно 35% при .
При сжатии , для [1, 4, 5–7] – и , соответственно. Однако по этим критериям при возрастании угла от нуля до величина прочности композита парадоксально возрастает, хотя и незначительно с 806.7 до 810.4 МПа для [5–7] и с 806.7 до 808.5 МПа для [1, 4]. Визуально кривые по (5.3), (5.4), (6.3) и по [1, 4, 5–7] практически полностью совпадают. Наибольшее различие имеет место с критерием [30] – более 46%, в точке смены механизмов разрушения. Также существенное различие с критерием [10] видно в интервале с максимумом, равным 49% в окрестности .
Переход от скола матрицы по плоскости ортогональной к плоскости волокон, который описывается линейным критерием (5.3), к сколу вдоль волокон в наклонной плоскости, который описывается квадратичным критерием (5.4), происходит при при растягивающих поперечных напряжениях и уже при при сжимающих напряжениях.
При одноосных нагружениях под углом к направлению волокон критерии (5.3), (5.4), (6.3) оказались в лучшем или в таком же соответствии с опытными данными, как и критерии [1, 4–7, 10, 30].
Заключение. Сформулирован критерий прочности однонаправленных композитов по условию адгезионного разрушения интерфейса волокно–матрица или/и когезионного разрушения матрицы между волокнами, соответствующий наименьшей разрушающей нагрузке. Найдены соотношения для определения параметров данного критерия из стандартизованных и общепринятых установочных испытаний. При объемном напряженном состоянии получено уравнение для нахождения ориентации критической площадки и приведены аналитические решения. Для случаев отсутствия касательных напряжений поперек или вдоль волокон критерии прочности даны в окончательном виде, лишь через компоненты тензора напряжений. При плоском напряженном состоянии определены диапазоны напряжений, соответствующие критической площадке, ортогональной или наклонной к плоскости волокон. Показано, что для ортогональной ориентации критической площадки полученный критерий прочности является линейным, для наклонных площадок – квадратичным.
Приведен критерий прочности по условию разрушения волокон, не допускающего парадокса увеличения прочности в области перехода от разрушения волокон к разрушению матрицы. Получены соотношения, определяющие смену механизмов потери прочности композита от разрушения волокон к разрушению матрицы, и наоборот.
Проведена экспериментальная проверка предложенных критериев и их сравнение с известными критериями прочности при объемном, плоском и одномерном нагружениях. Показано их лучшее или такое же соответствие опытным данным, как и для многих более сложных критериев. Отмечены преимущества данных критериев, обусловленные учетом в них зависимости прочности от направления площадки разрушения при наличии поперечного растяжения. Небольшое число параметров данных критериев обуславливает их надежность и устойчивость и позволяет определить их действительные значения в составе конструкции из испытаний образцов-свидетелей.
Об авторах
А. И. Олейников
Центральный аэрогидродинамический институт им. Н. Е. Жуковского (ЦАГИ); Московский физико-технический институт
Автор, ответственный за переписку.
Email: alexander.oleinikov@tsagi.ru
Россия, Жуковский; Долгопрудный
Список литературы
- Hashin Z., Rotem A. A. Fatigue failure criterion for fiber reinforced materials // J. Compos. Mater. 1973. V. 7. P. 448–464.
- Rabotnov Yu.N., Polilov A. N. Strength criteria for fibre-reinforced plastics // Fracture. 1977. Vol. 3, Pp. 1059–1065.
- Полилов А. Н. Критерии разрушения поверхности раздела в однонаправленных композитах // Изв. АН СССР. МТТ. 1978. № 2. С. 115–119.
- Hashin Z. Failure criteria for unidirectional fiber composites // J. Appl. Mech. 1980. V. 47. P. 329–334.
- Puck A. Festigkeitsanalyse von Faser-Matrix-Laminaten: Modelle für die Praxis. München; Wien: Hanser, 1996. 212 s.
- Puck A., Schürmann H. Failure analysis of FRP laminates by means of physically based phenomenological models // Compos. Sci.&Technol. 1998. V. 58. P. 1045–1067.
- Puck A., Schürmann H. Failure analysis of FRP laminates by means of physically based phenomenological models // Compos. Sci.&Technol. 2002. V. 62. P. 1633–1662.
- Soden P.D., Hinton M. J., Kaddour A. S. A comparison of the predictive capabilities of current failure theories for composite laminates // Compos. Sci.&Technol. 1998. V. 58. P. 1225–1254.
- Kaddour A.S., Hinton, M.J., Soden P. D. A comparison of the predictive capabilities of current failure theories for composite laminates: additional contributions // Compos. Sci.&Technol. 2004. V. 64. P. 449–476.
- Полилов А.Н., Татусь Н. А. Экспериментальное обоснование критериев прочности волокнистых композитов, проявляющих направленный характер разрушения // Вестн. ПНИПУ. Механика. 2012. № 2. С. 140–166.
- Олейников А. И. Варианты критерия прочности однонаправленных полимерных композитов по условию разрушения связующего при наличии сжатия перпендикулярно волокнам // ПММ. 2022. T. 86. № 2. C. 223–234.
- Thomson D.M., Cui H., Erice B., Hoffmann J., Wiegand J., Petrinic N. Experimental and numerical study of strain-rate effects on the IFF fracture angle using a new efficient implementation of Puck’s criterion // Compos. Struct. 2017. V. 181. P. 325–335.
- Gong Y., Huang T., Zhang X., Jia P., Suo Y., Zhao S. A reliable fracture angle determination algorithm for extended Puck’s 3D inter-fiber failure criterion for unidirectional composites // Mater. 2021. V. 14/6325. P. 1–14.
- Олейников А. И. Критерий прочности элементов моделей ЛА из однонаправленных композитов // Матер. XXXIII научно-технич. Конф. по аэродин. ЦАГИ. 2022. С. 84–85.
- Cuntze R., Deska R., Szelinski B., et al. Neue Bruchkriterien und Festigkeitsnachweise für unidirektionalen Faserkunststoffverbundunter mehrachsiger Beanspruchung – Modellbildung und Experimente. Düsseldorf: VDI Verlag, 1997. 262 s.
- Kaiser C., Kuhnel E., Obst A. Failure criteria for FRP and CMC: theory, experiments and guidelines // Europ. Conf. on Spacecr. Struct. Mater. Mech. Testing. Noordwijk, ESA, 2005. 12 p.
- Dávila C.G., Camanho P. P. Failure Criteria for FRP Laminates in Plane Stress. Hampton: NASA Langley Res. Center. NASA/TM-2003–212663, 2003. 28 p.
- Полилов А. Н. Определение прочности при изгибе криволинейных образцов // Машиновед. 1984. № 1. С. 54–60.
- Олейников А. И. Оценка статической прочности слоистых композитов // Уч. зап. ЦАГИ. 2019. Т. L. № 4. С. 53–66.
- Kawai M., Itoh N. A failure-mode based anisomorphic constant life diagram for a unidirectional carbon/epoxy laminate under off-axis fatigue loading at room temperature // J. Compos. Mater. 2014. V. 48(5). P. 571–592.
- Shin E.S., Pae K. D. Effects of hydrostatic pressure on the torsional shear behaviour of graphite/epoxy composites // J. Compos. Mater. 1992. V. 26. P. 462–485.
- Shin E.S., Pae K. D. Effects of hydrostatic pressure on in-plane shear properties of graphite/epoxy composites // J. Compos. Mater. 1992. V. 26. P. 828–868.
- Hinton M.J., Kaddour A. S. Benchmark data triaxial test results for fibre-reinforced composites: the second world-wide failure exercise // J. Compos. Mater. 2012. V. 47. P. 633–678.
- Cuntze R. The predictive capability of failure mode concept-based strength conditions for laminates composed of unidirectional laminae under static triaxial stress states // J. Compos. Mater. 2012. V. 46. P. 2563–2594.
- Deuschle H. M., Puck A. Application of the Puck failure theory for fibre reinforced composites under 3D-Stress: comparison with experimental results // J. Compos. Mater. 2013. V. 47. P. 827–846.
- Carrere N., Laurin F., Maire J-F. Micromechanical based hybrid mesoscopic 3D approach for non-linear progressive failure analysis of composite structures // J. Compos. Mater. 2012. V. 46. P. 2389–2415.
- Pinho S.T., Darvizeh R., Robinson P., et al. Material and structural response of polymer-matrix fibre-reinforced composites // J. Compos. Mater. 2012. V. 46. P. 2313–2341.
- Hütter U., Schelling H., Krauss H. An experimental study to determine the failure envelope of composite materials with tubular specimens under combined loads and comparison between several classical criteria // in: Failure Modes of Composite Materials with Organic Matrices and Other Consequences on Design. Munich: NATO. AGRAD. Conf. Proc. № 163. 1974. P. 13–19.
- Soden P.D., Hinton M. J., Kaddour A. S. Biaxial test results for strength and deformation of a range of E-glass and carbon fibre reinforced composite laminates: failure exercise benchmark data // Compos. Sci.&Technol. 2002. V. 62. P. 1489–1514.
- Tsai S.W., Wu E. M. A general theory of strength for anisotropic materials // J. Compos. Mater. 1971. V. 5. P. 58–80.
- Liu K.-S., Tsai S. W. A progressive quadratic failure criterion for a laminate // Compos. Sci. Technol. 1998. V. 58. P. 1023–1032.
- Rotem A. The Rotem failure criterion: theory and practice // Compos. Sci. Technol. 2002. V. 62. P. 1663–1671.
- Davila C.G, Camanho P. P., Rose C. A. Failure criteria for FRP laminates // J. Compos. Mater. 2005. V. 39. P. 323–345.
Дополнительные файлы







