Peculiarities of Lamb Waves Propagating in Functionally Graded Layers
- Authors: Kasparova E.A.1, Kuznetsov S.V.1
-
Affiliations:
- Ishlinsky Institute for Problems in Mechanics of the Russian Academy of Sciences
- Issue: Vol 88, No 3 (2024)
- Pages: 483-493
- Section: Articles
- URL: https://journal-vniispk.ru/0032-8235/article/view/269265
- DOI: https://doi.org/10.31857/S0032823524030108
- EDN: https://elibrary.ru/YZYIVX
- ID: 269265
Cite item
Full Text
Abstract
Propagation of harmonic Lamb waves in plates made of functionally graded materials (FGM) with transverse inhomogeneity is studied by the modified Cauchy six-dimensional formalism. For arbitrary transverse inhomogeneity a closed form dispersion equation is derived. Dispersion relations for materials with different kinds of inhomogeneity are obtained and compared.
Full Text
- Введение. Функционально-градиентные материалы (ФГМ) с поперечной непрерывной неоднородностью могут существенно изменять акустические свойства функционально-градиентного (ФГ) слоя, что приводит либо к появлению зон с аномальными дисперсионными свойствами, например, появлению или исчезновению ZGV, фаз Эйри, участков с отрицательной групповой скоростью и др. [1], либо к существенному изменению как дисперсионных кривых, так и соответствующих дисперсионных соотношений [2–5]. Эти свойства распространения волн в ФГ слое представляют особый интерес в приложениях к акустическим методам неразрушающего контроля [6–9].
В большинстве исследований, посвященных распространению акустических волн в ФГ слоях, предлагаются различные численные подходы. Одна из модификаций МКЭ, известная, как “полосовой” МКЭ, использовалась в [1], гибридный МКЭ использовался в [5] для моделирования фундаментальных мод волн Лэмба в ФГ слоях. В работах [10–16] построены аналитические решения дисперсионных уравнений в ФГ средах. В [17] был использован спектральный вариант МКЭ для получения дисперсионных кривых в ФГ стержнях. Полиномы Лежандра и сопутствующие функции были использованы в [18] для построения дисперсионных соотношений для волн Лэмба в ФГ слоях. В [8] для анализа дисперсии пьезоэлектрических ФГ слоев было выполнено разложение в ряд Пеано. В [19] предложены асимптотические методы анализа дисперсии лэмбовских мод в ФГ слоях, основанные на методе ВКБ (Вентцеля–Крамерса–Бриллюэна).
Настоящая работа посвящена построению явного векового уравнения и соответствующего (неявного) решения с помощью шестимерного формализма Коши, ранее разработанного для анализа SH-волн в слоистых слоях [20]. Рассмотрены численные примеры, выявляющие некоторые особенности дисперсионных кривых фундаментальных симметричных мод волн Лэмба в ФГ слоях. Разработанный метод может быть применен в различных задачах, связанных с распространением волн, как в однородных, так и в ФГ-средах (см. напр. [21–24]).
- Определяющие уравнения. В настоящей работе выведены основные уравнения для построения решения для волн Лэмба в функционально-градиентном слое
2.1. Уравнения движения и представление волны Лэмба. Линейные уравнения движения анизотропного неоднородного материала можно записать в виде
, (2.1)
где – тензор упругости четвертого ранга, который предполагается сильно эллиптичным
, (2.2)
и , т. е. непрерывно дифференцируема в .
Здесь и далее распространение гармонической волны Лэмба в слое с поперечной неоднородностью задано поперечной безразмерной комплексной координатой
, (2.3)
где v – единичная нормаль к срединной плоскости; r – волновое число размерности и (см. рис. 1). Начало глобальной системы координат принадлежит срединной плоскости .
Рис. 1. Слой толщиной 2h; единичный вектор n направлен вдоль распространения волны; v – нормаль к срединной плоскости
Принимается следующее представление волны Лэмба
, (2.4)
где m – неизвестная векторная функция, определяющая изменение амплитуды волны по толщине слоя; n – единичный вектор направленный вдоль распространения волны; – фазовая скорость волны Лэмба, независимая от x; t – время.
Подставляя представление (2.4) в уравнения движения, получаем
, (2.5)
где
(2.6)
В (2.6) I – единичная диагональная матрица. Заметим, что из условия сильной эллиптичности (2.2) следует
(2.7)
и
, (2.8)
тогда фазовая скорость должна удовлетворять соотношению
, (2.9)
где – наименьшее собственное значение . Здесь и далее предполагается, что условие (2.9) выполнено.
2.2. Шестимерный формализм Коши. Введем новую переменную
, (2.10)
тогда уравнения движения в терминах двух неизвестных векторных функций m и w запишутся в виде:
(2.11)
где предполагается, что акустический тензор обратим.
Введем новый шестимерный вектор
, (2.12)
что дает возможность переписать уравнения (2.11) в следующем виде
, (2.13)
где – шестимерная матрица:
(2.14)
Уравнение (2.13) представляет собой основное уравнение формализма Коши, матрицу G будем называть фундаментальной матрицей. Из условий (1.2) и (1.9) следует, что
(2.15)
2.3. Граничные условия. Условия на свободных поверхностях имеют вид
, (2.16)
где – толщина слоя. Подставляя представление (2.4) в граничные условия (1.16) с учетом обозначений (2.6), (2.10), получим
, (2.17)
где
(2.18)
Наконец, условия (2.17) могут быть переписаны с учетом введенного обозначения для вектора :
(2.19)
2.4. Матричное уравнение. Пусть E – матрица, удовлетворяющая уравнению, аналогичному (2.13):
(2.20)
Предполагается, что матрица E невырожденная.
Если такая матрица существует, тогда любое векторное решение уравнения (2.13) в силу линейности задачи принимает вид
, (2.21)
где – шестимерный вектор неизвестных коэффициентов, определяемый граничными условиями (2.16).
Уравнение (2.20), очевидно, можно переписать в эквивалентном виде
(2.22)
2.5. Решение матричного уравнения. Применение матричного анализа [14] позволяет построить решение уравнения (2.22) в виде:
, (2.23)
где
(2.24)
обозначает любую первообразную матрицы . Далее будет показано, что произвольная постоянная матрица, фигурирующая в (2.23), не влияет на конечный результат.
Прямая проверка позволяет убедиться, что матрица (2.23) удовлетворяет уравнению (2.22). Правая часть выражения (2.23) показывает, что матрица невырожденная при фазовой скорости, удовлетворяющей условию (2.9), что обусловлено (2.15). Теперь, комбинируя (2.21) и (2.23), можно построить общее векторное решение .
- Дисперсионное уравнение. Подставляя общее решение при в представление (2.21) с учетом (2.12), получим
, (3.1)
откуда
(3.2)
Уравнение (3.1) дает
(3.3)
Для дальнейшего анализа необходима следующая матрица размером :
(3.4)
Отметим, что матрица обратима при любом x, так как в силу условия сильной эллиптичности (2.2). Таким образом, матрицу можно рассматривать как однозначное отображение на , и, учитывая (2.12), (2.19)
(3.5)
Теперь амплитуду поверхностных перемещений m, а также усилия в точке можно выразить через матрицу z и выражения (3.3) и (3.5)
, (3.6)
где
(3.7)
Из анализа выражения вытекает полезная для вычислительных целей формула
(3.8)
Таким образом, выражение не содержит произвольную постоянную матрицу A, см. уравнение (2.23).
Поскольку поля поверхностных усилий в (3.6) обращаются в ноль при , то приведенный ниже матричный оператор, действующий в пространстве
, (3.9)
из 3D пространства поверхностных перемещений и нулевых поверхностных усилий на “верхней” поверхности в 3D пространство поверхностных усилий на “нижней” поверхности, должен быть вырожденным, чтобы обеспечить существование нетривиальных перемещений на “верхней” поверхности, что приводит к тому, что поверхностные усилия на “нижней” поверхности обращаются в нуль. Последнее эквивалентно
(3.10)
Уравнение (3.10) представляет собой искомое дисперсионное уравнение слоя со свободными границами. Дисперсионное уравнение (3.10) совпадает с уравнением, полученным для однородной анизотропной слоя [13].
- Особые случаи. Далее, рассмотрим два особых случая.
4.1. Однородная анизотропия. Предполагается, что и тензор упругости, и плотность материала не зависят от координаты x.
, (4.1)
где – сильно эллиптический тензор четвертого порядка, а плотность материала .
Подставляя (4.1) в уравнения (2.6), (2.14), получим фундаментальную матрицу , не зависящую от экспоненциального множителя . Таким образом, для рассматриваемого случая, фундаментальное решение уравнения (2.20) принимает вид
(4.2)
А в силу предполагаемого условия однородности (4.1), матрица, определяемая уравнением (3.4), не зависит от x, т. е. и передаточная матрица содержит аргумент irh, учитывающий дисперсию, только в пределах члена
(4.3)
Теперь, в силу (4.3), дисперсионное уравнение (3.10) для однородной слоя принимает вид
(4.4)
4.2. Экспоненциальная неоднородность. Предположим теперь, что и тензор упругости, и плотность материала имеют экспоненциальную неоднородность
, (4.5)
где – сильно эллиптический тензор четвертого порядка, а . Отметим, что, в силу (2.3), множитель в показателе степени должен быть мнимым, чтобы и были действительными.
С учетом (2.6), (4.5) примет вид
(4.6)
Подставляя (4.6) в уравнение (2.14), получим фундаментальную матрицу, не зависящую от экспоненциального множителя . Однако, из второго уравнения (2.6) видно, что фундаментальная матрица зависит от , так что . Тогда фундаментальное матричное решение уравнения (2.20) или (2.22) принимает вид
(4.7)
Выражения (2.18), (4.6) позволяют записать матрицу
(4.8)
Таким образом, для рассматриваемого случая экспоненциальной неоднородности, матрица содержит дисперсионные члены ввиду наличия множителя . С учетом (4.8), обратная матрица имеет вид
(4.9)
Построенные матрицы дают дисперсионное уравнение (3.10) в виде
(4.10)
- Примеры. В то время как теория, развитая в разд. 3, относится к общему случаю неоднородной анизотропии, в данном разделе анализируется случай изотропного ФГ слоя с поперечной неоднородностью. Дисперсионные кривые рассматриваемого ФГ слоя сравниваются с дисперсионными кривыми соответствующих гомогенизированных изотропных слоев.
5.1. ФГ слой. Рассмотрим изотропный ФГ слой со следующими физическими свойствами:
, (5.1)
где соответствует модулю Юнга срединной плоскости и при ; где и безразмерные действительные постоянные; x – безразмерная мнимая координата; коэффициент Пуассона, – плотность материала. Неравенство
(5.2)
гарантирует при . Для рассматриваемого ФГ слоя коэффициент Пуассона и плотность материала полагаются постоянными по толщине.
В зависимости от знака постоянной , кривая изменения модуля Юнга по толщине будет либо выпуклой () либо вогнутой (); см. рис. 2:
Используя упругие свойства (5.1), можно получить компоненты тензора упругости
, (5.3)
где и – единичные матрицы в и соответственно, – постоянные Ламе:
(5.4)
Рис. 2. Изменение модуля Юнга по толщине: слева (); справа ()
5.2. Гомогенизированный слой. Наряду с ФГ слоем, рассматривается также слой с гомогенизированными свойствами, так что усредненный модуль Юнга ()
(5.5)
Как показывает правая часть уравнения (5.5), при , и при .
5.3. Дисперсионные кривые. Примем следующие численные значения для параметров (5.1):
(5.6)
Непосредственная проверка показывает, что при таких значениях условие (5.2) выполняется, а подстановка (5.6) в (5.5) дает: при и при .
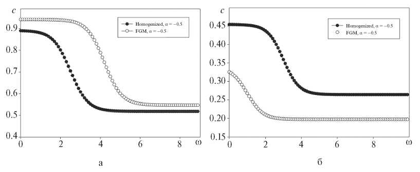
Применение метода, разработанного в разд. 3, и подстановка изотропного тензора упругости, определяемого формулой (5.3) и постоянными (5.6), позволяет представить дисперсионные кривые для рассмотренных ФГ- и гомогенизированных слоев; см. рис. 3.
Рис. 3. Фундаментальные симметричные моды волн Лэмба: а: ; б:
Сравнение построенных дисперсионных кривых для рассмотренных симметричных фундаментальных мод показывает:
- В обоих случаях как при , так и при , дисперсионные кривые для ФГ и гомогенизированных слоев существенно различаются во всем диапазоне частот .
- Для гомогенизированных слоев при малых частотах соответствующие фазовые скорости совпадают со второй предельной скоростью волны: (см. [13]); таким образом при и при .
- Для гомогенизированных слоев на высоких частотах соответствующие фазовые скорости совпадают со скоростями волн Рэлея при и при .
- Для ФГ слоев на высоких частотах фазовые скорости очень близки к скоростям волн Рэлея, что связано с физическими свойствами внешних слоев: при согласно (5.1) , что дает , а при согласно (5.1) , что дает .
- Для рассмотренных ФГ слоев частоты, при которых могло бы возникнуть отсутствие симметричных фундаментальных мод волн Лэмба, не обнаружены.
В целом, как показывают графики на рис. 3, гомогенизация для рассматриваемых ФГ слоев приводит к существенному изменению дисперсионных кривых во всем диапазоне частот .
Заключение. С помощью модифицированного шестимерного формализма Коши исследовано распространение гармонических волн Лэмба в слоях из функционально-градиентных материалов с поперечной неоднородностью. Получено дисперсионное уравнение в замкнутой форме, применимое к слоям с произвольной поперечной неоднородностью.
Получены дисперсионные портреты для изотропных ФГ слоев с различными видами экспоненциальной неоднородности и проведено их сравнение с соответствующими дисперсионными портретами для однородных изотропных слоев, что выявило существенное расхождение в форме соответствующих дисперсионных кривых, причем основное различие обнаружено в форме дисперсионных кривых, отвечающих фундаментальным модам. В то же время, для рассмотренных случаев ФГ не обнаружено значений частот, при которых могло бы возникнуть отсутствие симметричных фундаментальных мод волн Лэмба.
Полученные результаты могут найти применение при разработке перспективных методов неразрушающего контроля на основе акустических упругих волн.
Благодарность. Работа выполнена при финансовой поддержке РНФ (Грант 24-49-02002).
About the authors
E. A. Kasparova
Ishlinsky Institute for Problems in Mechanics of the Russian Academy of Sciences
Email: kuzn-sergey@yandex.ru
Russian Federation, Moscow
S. V. Kuznetsov
Ishlinsky Institute for Problems in Mechanics of the Russian Academy of Sciences
Author for correspondence.
Email: kuzn-sergey@yandex.ru
Russian Federation, Moscow
References
- Liu G.R., Tani J., Ohyoshi T. Lamb waves in a functionally gradient material plates and its transient response. Pt. 1: Theory; Pt. 2: Calculation result // Trans. Jap. Soc. Mech. Eng., 1991, vol. 57A, pp. 131–142.
- Koizumi M. The concept of FGM. // Ceramic Trans.: Funct. Gradient Mater., 1993, vol. 34, pp. 3–10.
- Liu G.R., Tani J. Surface waves in functionally gradient piezoelectric plates // Trans. ASME, 1994, vol. 116, pp. 440–448.
- Miyamoto Y. et al. Functionally Graded Materials. London: Kluwer Acad. Pub., 1999.
- Han X., Liu G.R., Lam K.Y., Ohyoshi T. A quadratic layer element for analyzing stress waves in FGMs and its application in material characterization // J. Sound Vibr., 2000, vol. 236, pp. 307–21.
- Vlasie V., Rousseau M. Guide modes in a plane elastic layer with gradually continuous acoustic properties // NDT&E Int., 2004, vol. 37, pp. 633–644.
- Baron C., Naili S. Propagation of elastic waves in a fluid-loaded anisotropic functionally graded waveguide: application to ultrasound characterization // J. Acoust. Soc. Am., 2010, vol. 127(3), pp. 1307–1317.
- Amor M.B., Ghozlen M.H.B. Lamb waves propagation in functionally graded piezoelectric materials by Peano-series method // Ultrasonics, 2015, vol. 55, pp. 10–114.
- Nanda N., Kapuria S. Spectral finite element for wave propagation analysis of laminated composite curved beams using classical and first order shear deformation theories // Composite Struct., 2015, vol. 132, pp. 310–320.
- Kuznetsov S.V. Surface waves of non-Rayleigh type // Quart. Appl. Math., 2003, vol. 61(3), pp. 575–582.
- Li S., Brun M., Irini D.-M. et al. Hybrid asynchronous absorbing layers based on Kosloff damping for seismic wave propagation in unbounded domains // Comput. Geotech., 2019, vol. 109, pp. 69–81.
- Li S., Brun M., Irini D.-M. et al. Explicit/implicit multi-time step co-simulation in unbounded medium with Rayleigh damping and application for wave barrier // Eur. J. Environ. Civ. Eng., 2020, vol. 24, pp. 2400–2421.
- Li S., Brun M., Irini D.-M. et al. Benchmark for three-dimensional explicit asynchronous absorbing layers for ground wave propagation and wave barriers // Comput. Geotech., 2021, vol. 131, art.no. 103808.
- Kuznetsov S.V. Closed form analytical solution for dispersion of Lamb waves in FG plates // Wave Motion, 2019, vol. 84, pp. 1–7.
- Kuznetsov S.V. Cauchy formalism for Lamb waves in functionally graded plates // J. Vibr. Control, 2019, vol. 25(6), pp. 1227–1232.
- Ilyashenko A.V., Kuznetsov S.V. Theoretical aspects of applying Lamb waves to nondestructive testing of layered anisotropic media // Russ. J. Nondestruct. Test, 2017, vol. 53, pp. 243–259.
- Chao X., Zexing Y. Numerical simulation of elastic wave propagation in functionally graded cylinders using time-domain spectral finite element method // Adv. Mech. Eng., 2017, vol. 9(11), pp. 1–17.
- Lefebvre J.E., Zhang V., Gazalet J. et al. Acoustic wave propagation in continuous functionally graded plates: an extension of the Legendre polynomial approach // IEEE T Ultrason. Ferr., 2001, vol. 48, pp. 1332–1340.
- Qian Z.H., Jin F., Wang Z.K., Kishimoto K. Transverse surface waves on a piezoelectric material carrying a functionally graded layer of finite thickness // Int. J. Eng. Sci., 2007, vol. 45, pp. 455–466.
- Djeran-Maigre I., Kuznetsov S.V. Velocities, dispersion, and energy of SH-waves in anisotropic laminated plates // Acoust. Phys., 2014, vol. 60, pp. 200–207.
- Dudchenko A.V., Dias D., Kuznetsov S.V. Vertical wave barriers for vibration reduction // Arch. Appl. Mech., 2020, vol. 91(1), pp. 257–276.
- Kuznetsov S.V., Terentieva E.O. Planar internal Lamb problem: Waves in the epicentral zone of a vertical power source // Acoust. Phys., 2015, vol. 61, pp. 356–367.
- Il’yasov K.K., Kravtsov A.V., Kuznetsov S.V. et al. Exterior 3D Lamb problem: Harmonic load distributed over a surface // Mech. Solids, 2016, vol. 51, pp. 39–45.
- Bratov V.A., Ilyashenko A.V., Kuznetsov S.V. et al. Homogeneous horizontal and vertical seismic barriers // Mater. Phys. Mech., 2020, vol. 44, pp. 61–65.
Supplementary files





