Dynamic tests of cesium-137 recovery from the Mayak model alkaline HLW using p-isononylcalix[6]arene based extractant
- Authors: Yumaguen A.Z.1,2,3, Babitova E.S.1,4, Logunov M.V.2, Karavan M.D.1,4, Kozlov P.V.2,3, Konnikov A.V.2, Smirnov I.V.1,4
-
Affiliations:
- St. Petersburg State University
- Mayak Production Association
- Ozyorsk Institute of Technology
- Khlopin Radium Institute
- Issue: Vol 66, No 2 (2024)
- Pages: 143-156
- Section: Articles
- URL: https://journal-vniispk.ru/0033-8311/article/view/263853
- DOI: https://doi.org/10.31857/S0033831124020052
- ID: 263853
Cite item
Full Text
Abstract
The article presents the results of studies on composition optimization, properties, and laboratory dynamic tests of extraction mixtures based on p-isononylcalix[6]arene for the alkaline HLW purification to remove 137Cs. The distribution of 137Cs among the products of the technological scheme is presented and the coefficients of raffinate purification to remove 137Cs are determined. It was revealed that, in the case of using nitric acid as a stripping solution, nitrosation of p-isononylcalix[6]arene is possible in the technological process. The composition of the resulting product was determined. To prevent nitrosation of p-isononylcalix[6]arene, formic acid was used in the stripping stage, which ensured stable operation of the extraction stand for 48 h with 137Cs extraction from model alkaline HLW at a level of 99.7%.
Full Text
ВВЕДЕНИЕ
При переработке на радиохимическом заводе ПО «Маяк» продукции промышленных уран-графитовых реакторов с применением осадительных технологий обезвреживания хвостовых высокоактивных растворов образовывалось значительное количество гетерогенных отходов. В период с 1968 до 1986 гг. для приема и хранения указанных отходов использовался комплекс емкостей-хранилищ, суммарный объем растворов и осадков в которых составляет в настоящее время примерно 14.5 тыс. м3. Растворная часть в большей степени представлена нитратом, нитритом, гидроксидом, алюминатом и хроматом натрия, средняя минерализация около 350 г/дм3. Основу осадков составляют соединения алюминия, железа, никеля, хрома, марганца, кремния. Общая активность суспензий составляет 90 МКи. Активность растворной части обусловлена, главным образом, радионуклидом 137Cs, а осадочной части – 137Cs, 90Sr/90Y, 239Pu и 241Am. Подробное рассмотрение щелочных высокоактивных гетерогенных отходов приведено в работе [1].
Комплекс емкостей-хранилищ высокоактивных отходов (ВАО) относится к объектам ядерного наследия, с увеличением срока эксплуатации которого также возрастает и вероятность протечек и разгерметизации емкостей вследствие старения, коррозии и разрушения конструкционных элементов.
В настоящее время основной технологией отверждения ВАО является остекловывание. На ПО «Маяк» за прошедший период эксплуатации электропечей типа ЭП-500 с 1987 по 2020 гг. было накоплено примерно 7.8 тыс. т кондиционированных ВАО в виде алюмофосфатных стекол [2]. При прямом остекловывании накопленных щелочных ВАО в боросиликатное стекло следует ожидать образования примерно 10 тыс. т стекла. Кроме того, потребуется более 50 лет бесперебойной работы электропечи, что неприемлемо с точки зрения обеспечения безопасности комплекса емкостей-хранилищ. Снижение количества остеклованных ВАО может быть достигнуто в варианте предварительного выделения α- и β-излучающих нуклидов с направлением активных концентратов на остекловывание, а балластных солей – на цементирование.
Специалистами ПО «Маяк» разработана комплексная схема обращения с ВАО сложного химического состава, включающая технологические варианты извлечения и переработки растворной и осадочной частей отходов [3]. Рассматриваемые варианты переработки растворной части ВАО предусматривают на первом этапе удаление из раствора взвесей и коллоидов с ассоциированными α-излучающими радионуклидами на модулях тангенциальной ультрафильтрации с получением пермеата, α-активность которого не превышает 105 Бк/дм3.
Далее предполагается проведение сорбционной или экстракционной очистки фильтрата для снижения объемной активности β-излучающих нуклидов на два-три порядка. После этого фильтрат или рафинат с объемной активностью радионуклидов цезия не более 107 Бк/дм3 направляется на цементирование, а концентрат остекловывают с получением радиоактивных отходов 1 класса.
Помимо ПО «Маяк», щелочные ВАО также имеются и на радиохимических заводах США: в Хэнфорде, Окридже и Саванна-Ривер. В национальной лаборатории Окриджа в сотрудничестве с Аргоннской национальной лабораторией была внедрена промышленная экстракционная технология выделения цезия из щелочных ВАО в так называемом CSSX-процессе (Caustic-Side Solvent eXtraction Process) [4]. Данная технология использует селективный к цезию экстрагент на основе каликсарен-краун-эфира. В экстракционную смесь также входят фторорганический солюбилизатор, аминный модификатор и углеводородный разбавитель. Такой подход позволяет извлекать цезий из щелочных ВАО с коэффициентом очистки цезия от натрия более 40 000 и концентрированием до 15 раз в 0.001 моль/дм3 HNO3. Недостатком технологии является очень дорогой и сложный в синтезе экстрагент; кроме того, не обеспечивается выделение актинидов, присутствующих в щелочных отходах ПО «Маяк».
Российскими учеными была предложена экстракционная система на основе трет-бутилкаликс[6]арена, которая позволяет извлекать из щелочных ВАО цезий совместно с α-излучающими радионуклидами с коэффициентом очистки более 100 для β-излучающих нуклидов и около 10 – для α-излучающих нуклидов [5]. Однако практическое применение трет-бутилкаликс[6]арена ограничивается его чрезвычайно низкой растворимостью в коммерческих парафиновых растворителях, применяемых на радиохимических предприятиях.
Вместе с тем для выделения цезия из щелочных ВАО могут быть использованы многие каликсарены. Эти макроциклические полифенольные соединения легко получаются циклоконденсацией пара-алкилзамещенных фенолов с формальдегидом [6]. Возможность использования гидрокси-каликс[n]аренов для совместной экстракции цезия и америция из щелочных сред продемонстрирована на модельных растворах и реальных ВАО [7–9]. Оптимальное сочетание высоких экстракционных характеристик и удовлетворительной растворимости в н-парафиновом разбавителе показывает п-изононилкаликс[6]арен (ИН6) в присутствии смесевого солюбилизатора – мета-нитробензотрифторида (Ф-3) и диметилового эфира диэтиленгликоля (диглим). Проведенные на ПО «Маяк» динамические испытания экстракционной системы на основе ИН6 показали возможность переработки ВАО с коэффициентом очистки рафината от 137Сs более 500 при 10-кратном концентрировании 137Сs в реэкстракте. Экстракционная смесь в ходе испытаний показала стабильность эксплуатационных характеристик на протяжении 105 ч непрерывной работы [10]. Исключением являлось снижение плотности экстракционной смеси, связанное, по данным ВЭЖХ, с вымыванием солюбилизаторов из экстракционной смеси.
Использованный в упомянутых выше испытаниях ИН6 был синтезирован в Лаборатории химии каликсаренов ИОФХ им. А.Е. Арбузова из импортного сырья. К настоящему времени в ООО «НЕОХИМ», г. Волжский был налажен синтез ИН6 из отечественного сырья и наработан 1 кг экстрагента.
Разработан новый состав экстракционной смеси, содержащий в качестве солюбилизатора более технологичный дибутиловый эфир диэтиленгликоля (ДБЭДЭГ). Первичная проверка нового состава проведена в статических условиях на щелочных модельных ВАО. Коэффициент распределения 137Сs составил около 5, что, по расчетным оценкам, может обеспечить в динамическом режиме извлечение из ВАО до 99.9% цезия на восьми ступенях экстракционного блока.
В данной работе детально исследованы экстракционные и физико-химические свойства экстракционной системы на основе ИН6, синтезированного из отечественного сырья, и проведены динамические испытания процесса выделения 137Сs из модельных щелочных ВАО ПО «Маяк».
ЭКСПЕРИМЕНТАЛЬНАЯ ЧАСТЬ
Методики химического и радиометрического анализа
Анализ содержания цезия и натрия проводили на оптическом эмиссионном спектрометре ICPE-9000 с использованием мини-горелки в аксиальном режиме.
ЖХ-МС спектры получали на хромато-масс-спектрометре MaXis Bruker Daltonik GmbH при положительной ионизации после ввода через хроматографическую колонку. ИК спектры ИН6 и продукта его нитрозирования получали на приборе Simex FT-801 с приставкой НПВО фирмы Simex с алмазным кристаллом однократного отражения при спектральной ширине щели 4 см–1. Элементный анализ проводили на элементном анализаторе Euro EA3028-НТ для одновременного определения C, H, N (три параллельных измерения), массовую долю кислорода рассчитывали по формуле
ω(O) =100 − ∑ω(C, H,N). (1)
Концентрацию ИН6 в додекане определяли по УФ спектру на приборе Shimadzu UV2600. Вязкость растворов определяли на капиллярном вискозиметре Cannon Fenske n119, размер 75, при 25°С.
Активность 137Cs в пробах статических экспериментов измеряли на сцинтилляционном γ-спектрометре DeskTop InSpector (Canberra) на основе NaI-детектора 51 × 51 мм с колодцем. В процессе динамических испытаний идентификацию γ-излучающих нуклидов, измерение их активности и спектра образцов, приготовленных из анализируемых растворов, выполняли на полупроводниковом спектрометре энергий гамма-излучения типа СЕГ-01 ППД.
Материалы и реактивы
ИН6, синтезированный в ООО «НЕОХИМ» из отечественного сырья, по данным спектральных исследований, практически идентичен ИН6, синтезированному в ИОФХ им. А.Е. Арбузова из импортного сырья. Структурная формула ИН6 представлена на рис. 1.
Рис. 1. Структурная формула ИН6.
Для подтверждения структуры ИН6 был охарактеризован методами ЖХ-МС (рис. 2), ИК спектрометрии (рис. 3) и элементного анализа (табл. 1).
Рис. 2. Масс-спектр ИН6 (m/z 1417 – молекулярный пик [С96H144O6Na]+).
Рис. 3. ИК спектр ИН6 (ν – валентные, δ – деформационные, ω – веерные, t – крутильные, ρ – маятниковые, Ar – колебания ароматической системы).
Таблица 1. Данные элементного анализа ИН6
ИН6 | ω(С), % | ω(Н), % | ω(О), % | Брутто-формула |
Найдено | 79.5 | 10.1 | 10.4 | С96H144O6 |
Вычислено | 82.6 | 10.3 | 7.1 |
Основным растворителем ИН6 для статических экспериментов был додекан (х.ч., «Вектон»). Для предотвращения образования третьей фазы использовали солюбилизатор – ДБЭДЭГ с содержанием основного вещества 99.2 мас%, синтезированный в ИОХ СО РАН, г. Новосибирск. Для сравнения использовали ранее проверенные солюбилизаторы – Ф-3 производства фирмы Rhodia (Франция) и диглим производства ACROS.
В динамических испытаниях в качестве разбавителя использовали применяемый на заводе РТ-1 н-парафин фракции С13 производства ООО «КИНЕФ». Для построения изотермы и установления формальных составов сольватов в качестве разбавителя использовали неполярный и прозрачный в ИК области тетрахлорэтилен, который был очищен перегонкой (Ткип = 121°С). Растворы ИН6 в тетрахлорэтилене и додекане готовили по точной навеске экстрагента и предварительно промывали в течение 15 мин 1 моль/дм3 NaOH, а затем 1 моль/дм3 HNO3 при соотношении О : В, равном 1 : 2.
Неорганические реактивы, использованные в работе, соответствовали квалификации х.ч. и ч.д.а. («Вектон»). Постоянство ионной силы водных фаз с различными значениями pH в статических экспериментах поддерживали путем смешивания в разных соотношениях исходных водных растворов 1 моль/дм3 NaHCO3 и NaOH. При построении изотермы экстракции (метод насыщения) использовали раствор гидроксида цезия, полученный в результате реакции растворов гидроксида бария и сульфата цезия (х.ч., «Вектон») после удаления осадка сульфата бария.
Состав модельного раствора, имитирующий растворную часть одной из емкостей накопленных щелочных ВАО, приведен в табл. 2.
Таблица 2. Состав модельного раствора ВАО
Элементы | Cкат, г/дм3 | Анионы | Сан, г/дм3 | Плотность, г/см3 |
Na | 100 | NO3– | 110 | 1.195 |
Al | 6.0 | OH– | 64 | |
Cr | 0.4 | NO2– | 35 | |
Si | 0.2 | SO42– | 1.5 | |
Cs | 0.05 |
В полученный модельный раствор вносили метку реального высокоактивного щелочного раствора с коэффициентом разведения 1000. Раствор тщательно перемешивали и выдерживали в течение 24 ч. Объемная активность радионуклида 137Cs в модельном растворе составила 3.7 × 107 Бк/дм3, а мощность экспозиционной дозы γ-излучения составила 0.74 мкР/(с∙дм3). Расчетное значение удельной активности α-излучающих нуклидов, исходя из разведения исходной метки, составило 26 кБк/дм3.
Методика измерения гидродинамического радиуса и коэффициента трансляционной диффузии
При исследовании агрегации ИН6 в тетрахлорэтилене предварительно была проведена экстракция в системе 0.08 моль/дм3 СsNO3–40 г/дм3 ИН6 при pH 13.54 и в системе 1 моль/дм3 HNO3–40 г/дм3 ИН6 (О : В = 1 : 1, перемешивание 15 мин). Полученные равновесные органические фазы после центрифугирования анализировали методом динамического светорассеяния (ДСР) при 20°С спустя 1 ч (свежеприготовленная ОФ), 1 сут и 1 неделю после экстракции. Измерения проводили при 654 или 445 нм в зависимости от интенсивности рассеяния.
Методики определения свойств органической фазы
Для определения плотности додекана и экстракционных смесей на основе ИН6 в додекане проводили 4 параллельных взвешивания 1 см3 каждого образца.
Вязкость рассчитывали исходя из замеренного времени прохождения раствора от верхней риски вискозиметра до нижней (3 параллельных измерения) по формуле:
, (2)
где tраствора и tрастворителя – время истечения раствора и растворителя (додекан), а ηрастворителя – вязкость додекана (1.34 сП).
Для измерения времени расслаивания использовали пробирки с рисками в средней трети слоя органической и водной фаз. Содержимое пробирки с органической и водной фазами (О : В = 1 : 1) перемешивали на шейкере со скоростью 400 об/мин в течение 1 мин и измеряли время, за которое граница раздела фаз проходила от одной риски до другой. По результатам трех параллельных измерений рассчитывали среднюю скорость расслаивания. В каждом опыте для сравнения определяли скорость расслаивания додекана.
Вымывание ИН6 и ДБЭДЭГ из органической фазы
Для определения степени вымывания ИН6 и ДБЭДЭГ из органической фазы в водную исследуемую органическую фазу контактировали с водной фазой заданного состава в течение 30 мин при перемешивании (О : В = 3 : 100), полученную эмульсию разделяли центрифугированием. Равновесную водную фазу отделяли и частично нейтрализовывали: после контакта с кислотой и щелочью до рН 4–9, с модельным раствором ВАО – до рН > 12. Растворенный ИН6 в нейтрализованной водной фазе экстрагировали додеканом двумя последовательными контактами (О : В = 3 : 4). Содержание ИН6 в объединенном экстракте определяли посредством УФ спектрометрии по предварительно разработанной методике. Содержание ДБЭДЭГ в экстракте определяли аналогично методом ИК НПВО.
Методики проведения экстракции и нитрозирования ИН6
Статические эксперименты по экстракции проводили при перемешивании органической и водной фаз при температуре 20–22°С в течение 15 мин при соотношении объемов О : В, равном 1 : 1. Активность 137Cs в пробах равновесных органических и водных фаз определяли γ-спектрометрически. Содержание стабильных металлов в равновесной водной и органической фазах определяли методом ICP-OES. Из органической фазы предварительно проводили реэкстракцию металлов раствором 1 моль/дм3 HNO3.
Коэффициенты распределения радионуклидов рассчитывали по формуле:
D = Аорг / Аводн, (3)
где А – объемная активность радионуклида в органической и водной фазах.
Коэффициент распределения стабильного цезия и натрия рассчитывали по формуле:
D = Cорг / Cводн, (4)
где C – равновесная концентрация металла в органической и водной фазах.
Коэффициент разделения рассчитывали по формуле:
SF = Da / Db, (5)
где Da и Db – коэффициенты распределения соответствующих компонентов.
Нитрозирование ИН6 проводили путем перемешивания равных объемов раствора 40 г/дм3 ИН6 в додекане и свежеприготовленного раствора, содержащего 1 моль/дм3 HNO3 и 0.8 моль/дм3 NaNO2, в течение 5 мин. Полученный аморфный осадок оранжевого цвета отделяли фильтрованием, промывали дистиллированной водой и сушили в течение недели при 60°С. Высушенный осадок анализировали методами ИК-НПВО-спектрометрии и CHN-анализа.
Описание экстракционного стенда и методики проведения динамических испытаний
Динамические испытания проводили на лабораторной экстракционной установке (ЛЭУ), включающей в себя:
- два экстракционных блока типа «смеситель–отстойник» с пульсационным перемешиванием фаз, по 10 ступеней в каждом блоке (рис. 4);
- два пульсатора для перемешивания фаз и транспортировки растворов по ступеням экстракторов;
- перистальтические насосы фирмы Heidolph для дозирования реагентов.
Рис. 4. Лабораторный экстракционный блок типа «смеситель–отстойник».
Принципиальная схема ЛЭУ для проведения испытаний представлена на рис. 5.
Рис. 5. Принципиальная схема ЛЭУ.
Проверяемый технологический процесс включал следующие стадии:
- экстракционное извлечение 137Cs на 9 ступенях блока экстракции при соотношении О : В, равном 1 : 1;
- дополнительное отстаивание экстракта в 10-й ступени блока экстракции;
- реэкстракцию 137Cs на 10 ступенях блока реэкстракции при соотношении О : В, равном 2 : 1.
Регенерацию оборотной экстракционной смеси не проводили. Отработавшую экстракционную смесь после блока реэкстракции через емкость-сборник подавали в первую ступень блока экстракции.
В динамическом режиме были проверены следующие системы:
- экстракция раствором 40 г/дм3 (0.0287 моль/дм3) ИН6 в н-парафине, реэкстракция 1 моль/дм3 HNO3;
- экстракция раствором 40 г/дм3 ИН6 в н-парафине с добавлением 3 об% ДБЭДЭГ, реэкстракция 1 моль/дм3 HNO3;
- экстракция раствором 40 г/дм3 ИН6 в н-парафине с добавлением 3 об% ДБЭДЭГ, реэкстракция раствором 2 моль/дм3 муравьиной кислоты.
РЕЗУЛЬТАТЫ И ОБСУЖДЕНИЕ
Экстракция в статических условиях: влияние состава органической фазы
Для оптимизации состава экстракционной смеси на основе ИН6 было исследовано влияние солюбилизатора на эффективность экстракции цезия. Водная фаза для проведения экстракционных экспериментов представляла собой смесь водных растворов 1 моль/дм3 гидроксида натрия и 1 моль/дм3 бикарбоната натрия (9 : 1) с pH 13.6 (близка к рН модельного щелочного ВАО) с содержанием стабильного цезия 10–6 моль/дм3 и меткой 137Cs (2.3 кБк/см3).
Органические фазы были представлены растворами 20 г/дм3 (0.014 моль/дм3) ИН6 в следующих разбавителях:
- додекане;
- додекане с добавкой от 1.5 до 15 об% Ф-3;
- додекане с добавкой от 1.5 до 15 об% диглима;
- додекане с добавкой от 1.5 до 15 об% ДБЭДЭГ.
Ранее в качестве солюбилизирующих добавок для ИН6 использовали Ф-3 и диглим [9]. Но диглим растворим в воде (смешивается с водой) и в процессе экстракции полностью вымывается из органической фазы. Вымывание Ф-3 из органической фазы в щелочные водные растворы тоже была неприемлемо высоким. В связи с этим в качестве солюбилизатора был проверен ДБЭДЭГ, практически нерастворимый в воде. Ф-3 и диглим были взяты для сравнения.
В процессе экстракции из водных сред с содержанием цезия 10–6 моль/дм3 не наблюдалось образование третьей фазы, осадков и плохо расслаивающихся эмульсий для всех исследованных составов органических фаз.
Прежде всего было исследовано влияние солюбилизирующих добавок на эффективность экстракции цезия (рис. 6).
Рис. 6. Экстракция цезия из водных растворов (pH 13.6) органическими фазами, содержащими от 0 до 15 об% солюбилизатора.
Из полученных данных можно сделать вывод, что добавка ДБЭДЭГ даже в минимальной концентрации резко снижает эффективность экстракции цезия. В случае Ф-3 и диглима снижение коэффициентов распределения цезия наблюдалось только при концентрации солюбилизаторов выше 12%. При использовании смеси двух солюбилизаторов – ДБЭДЭГ и Ф-3 – наблюдается небольшой рост коэффициентов распределения цезия (до 12) при соотношении ДБЭДЭГ/Ф-3 = 1/4. Но и в таких смесях коэффициенты распределения цезия существенно ниже, чем в чистом додекане (24). Таким образом, при применении ДБЭДЭГ в качестве солюбилизирующей добавки для ИН6 в процессе экстракции цезия целесообразно использовать растворы с минимальными добавками солюбилизатора (<5%).
Изотерма экстракции, составы сольватов, соэкстракция натрия и других стабильных элементов
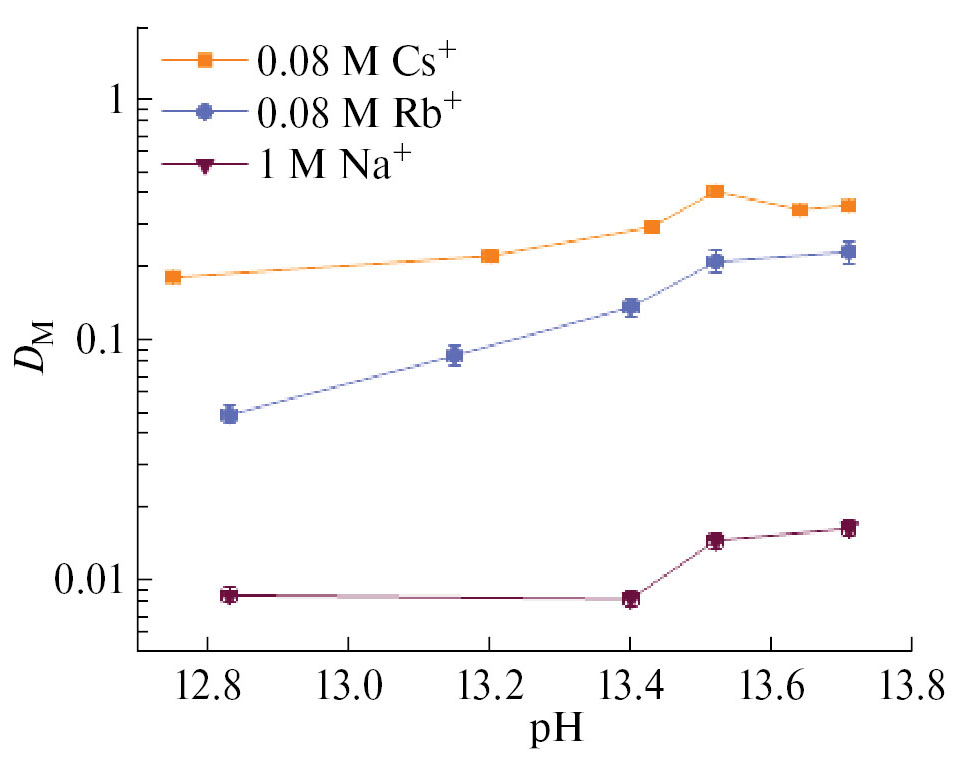
Зависимости коэффициентов распределения цезия, рубидия и натрия от pH водной фазы при постоянной ионной силе представлены на рис. 7.
Рис. 7. Зависимости коэффициента распределения металлов от pH исходной водной фазы при их экстракции раствором 40 г/дм3 ИН6 в C2Cl4.
Следует отметить типичный для фенолов вид зависимостей с максимумом DCs в диапазоне рН 13.4–13.6. Первоначальный рост DCs связан с возрастанием степени диссоциации гидроксильных групп ИН6. Дальнейшее снижение DCs вызвано конкурентной экстракцией натрия. ИН6 не обладает высокой селективностью: в условиях максимального коэффициента распределения цезия SFCs/Na = 30 и SFCs/Rb = 2.
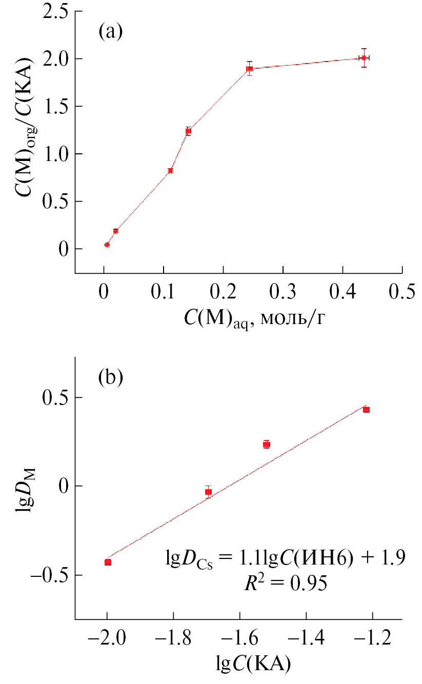
Изотерма экстракции цезия раствором 40 г/дм3 ИН6 в тетрахлорэтилене представляет собой кривую с выходом на насыщение (рис. 8, a). Согласно полученным экспериментальным данным, при насыщении экстрагируется сольват цезия с ИН6 состава M2L. Методом сдвига равновесия были определены составы сольватов в области, далекой от насыщения экстрагента цезием (рис. 8, б). Было установлено, что в таких условиях образуется моносольват цезия с ИН6.
Рис. 8. Изотерма экстракции цезия раствором 40 г/дм3 ИН6 в C2Cl4 (a) и зависимость lgDCs от lgC(ИН6) при pH 13.64 и постоянной ионной силе (б).
Агрегация ИН6 в органической фазе
При изучении экстракции цезия растворами ИН6 в додекане было обнаружено существенное снижение коэффициентов распределения после выдержки свежей органической фазы (табл. 3).
Таблица 3. Экстракция цезия-137 из имитатора щелочных ВАО растворами ИН6 в додекане сразу и через сутки после приготовления органической фазы
ИН6, г/дм3 | Коэффициент распределения цезия | |
Свежая органическая фаза | Через сутки | |
20 | 9.7 | 3.7 |
40 | 24.6 | 3.2 |
60 | 40.0 | 8.0 |
Такое поведение экстракционной системы во времени может быть связано с известной для каликсаренов способностью к агрегации в растворах, влияющей на экстракционную способность системы [7].
Для подтверждения предположения о влиянии агрегации в равновесной органической фазе спустя 1 ч, 1 сут и 1 неделю после экстракции (табл. 4) методом ДСР были определены гидродинамические радиусы частиц Rh и коэффициенты трансляционной диффузии Dt.
Таблица 4. Гидродинамический радиус ИН6 (Rh) и коэффициенты трансляционной диффузии (Dt) в системе 40 г/дм3 ИН6 в тетрахлорэтилене – 0.08 моль/дм3 Сs+ при pH 13.54
Время выдержки | Dt × 1012, м2/с | Rh, нм |
1 ч | 3–2 | ~50 |
24 ч | 2.3 ± 0.2 | 100 ± 10 |
1 неделя | 1.6 ± 0.1 | 150 ± 5 |
Полученные данные демонстрируют рост гидродинамического радиуса частиц ИН6 во времени, при этом коэффициент диффузии уменьшается. После реэкстракции – контакта раствора 40 г/дм3 ИН6 в тетрахлорэтилене с раствором 1 моль/дм3 HNO3 – в равновесных органических фазах спустя 1 ч и 1 сут частиц с радиусом больше 1 нм обнаружено не было. Следует отметить, как описано в методической части, что свежие растворы ИН6 в додекане (табл. 3) при приготовлении промывали щелочью и азотной кислотой, при этом за сутки выдержки агрегация предположительно произошла. С учетом данного факта можно предположить, что промывка азотной кислотой снижает агрегативную устойчивость молекул ИН6.
Реэкстракция и рецикл экстрагента
Для реэкстракции цезия из экстрагента на основе гидрокси-каликсаренов теоретически можно использовать любые кислоты. Нами были проверены в качестве реэкстрагентов цезия растворы, содержащие 2 моль/дм3 HNO3, 1 моль/дм3 щавелевой или муравьиной кислот, 0.5 моль/дм3 борной кислоты. Первые три реэкстрагента можно использовать при любом способе последующего отверждения цезиевого реэкстракта, а борную кислоту – только при варке из него боросиликатного стекла.
Для проведения опытов экстракт, полученный при перемешивании раствора экстрагента с модельным раствором ВАО при соотношении О : В, равном 1 : 2, и времени контакта фаз 10 мин, отделяли от водной фазы центрифугированием. В этих условиях коэффициент распределения цезия составил 1.9. Далее органическую фазу контактировали с реэкстрагентом при соотношении О : В, равном 1 : 2. Разделение фаз при реэкстракции проводили отстаиванием в течение 2 мин. Результаты опытов по реэкстракции приведены в табл. 5.
Таблица 5. Реэкстракция цезия-137 из органической фазы 40 г/л ИН6 в додекане с добавкой 3 об% ДБЭДЭГ
Реэкстрагент | Концентрация, моль/дм3 | DCs |
Азотная кислоты | 2.0 | 0.23 |
Муравьиная кислота | 1.0 | 0.07 |
Борная кислота | 0.5 | 1.6 |
Щавелевая кислота | 1.0 | 4.6 |
Проведенные эксперименты подтверждают возможность использования для реэкстракции цезия раствора азотной или муравьиной кислоты. В то же время растворы щавелевой и борной кислот цезий реэкстрагируют плохо. Этот факт нельзя объяснить только различием в степени диссоциации эффективных и неэффективных реэкстрагентов, поскольку, например, константа диссоциации щавелевой кислоты первой ступени почти на два порядка выше, а константа диссоциации второй ступени всего лишь втрое ниже константы диссоциации муравьиной кислоты [11]. Скорее всего, полученные результаты для муравьиной и азотной кислот в отличие от щавелевой и борной кислот связаны со склонностью последних образовывать в растворах димеры либо иные полимеризованные ассоциаты. Так, например, известно, что в избытке щавелевой кислоты преимущественно образуется относительно слаборастворимый (не склонный к диссоциации) тетраоксалат цезия CsH3(C2O4)2. [12]. В свою очередь борная кислота в водном растворе гидролизуется до H+[B(OH)4]–, этот комплекс практически не склонен к диссоциации [11], а в присутствии небольшого количества щелочи образуются тетрабораты.
Органическая фаза после реэкстракции азотной кислотой была использована для повторной экстракции цезия из модельного ВАО. Коэффициент распределения цезия был равен 1.6, т.е. практически идентичен первой экстракции.
Свойства экстракционной смеси
Результаты определения плотности и вязкости экстракционных смесей приведены в табл. 6.
Таблица 6. Плотность и вязкость экстракционных смесей
Органическая фаза | ρср, г/см3 | η, сП |
Додекан | 0.756 | 1.34 |
40 г/дм3 ИН٦ в додекане | 0.760 | 1.58 |
40 г/дм3 ИН6+3 об% ДБЭДЭГ в додекане | 0.766 | 1.59 |
Можно заметить, что растворы ИН6 в додекане с добавкой ДБЭДЭГ по плотности и вязкости практически не отличаются от чистого додекана.
Результаты измерения скорости расслаивания органической фазы состава 40 г/дм3 ИН6 в додекане в присутствии 3 об% ДБЭДЭГ и водных фаз различного состава приведены в табл. 7. В некоторых случаях измерить скорость расслаивания не удалось, поскольку вместо четкой границы раздела фаз наблюдалось образование и укрупнение капель во всем объеме фазы.
Таблица 7. Скорость расслаивания фаз
Водная фаза | , мм/с | , мм/с | ||
40 г/дм3 ИН6 + 3 об% ДБЭДЭГ в додекане | додекан | 40 г/дм3 ИН6 + 3 об% ДБЭДЭГ в додекане | додекан | |
Модельный ВАО | 0.5 | 2.0 | 0.5 | – |
1 моль/дм3 HNO3 | 0.7 | 5.0 | 0.6 | 2.0 |
1 моль/дм3 NaOH | 0.6 | – | 0.6 | – |
Из полученных данных можно сделать вывод о незначительном влиянии состава водной фазы на скорость расслаивания экстракционной смеси на основе ИН6. Она остается достаточной для использования в аппаратах типа «смеситель–отстойник».
Вымывание ИН6 и ДБЭДЭГ из органической фазы в водные растворы
Результаты определения степени вымывания ИН6 и ДБЭДЭГ из органической фазы (состава 40 г/дм3 ИН6 в додекане в присутствии 3 об% ДБЭДЭГ) в различные водные фазы приведены в табл. 8.
Таблица 8. Вымываемость ИН6 и ДБЭДЭГ в различные водные фазы
Водная фаза | ИН6, г/дм3 | Доля ИН6, % | ДБЭДЭГ, г/дм3 | Доля ДБЭДЭГ, % |
Модельный раствор ВАО | <0.01 | <0.02 | 0.035 | 0.06 |
1 моль/дм3 HNO3 | 0.027 | 0.07 | 0.20 | 0.3 |
1 моль/дм3 NaOH | 0.023 | 0.06 | 0.15 | 0.2 |
Полученные данные свидетельствуют о незначительном вымывании ИН6 из органической фазы в водные, в особенности в модельный щелочной ВАО с высоким солесодержанием. За один контакт из органической фазы вымывается менее 0.02% ИН6. Степень вымывания солюбилизатора – ДБЭДЭГ – примерно на порядок выше. Можно предположить, что основные потери экстракционной смеси будут связаны с эмульсионным уносом водными фазами, а не с вымываемостью компонентов.
Стендовые испытания
ИН6 в н-парафине и реэкстракция азотной кислотой (режим 1). Результаты статических экспериментов не исключали потенциальную возможность применения экстракционной системы на основе ИН6 без введения солюбилизатора. С практической точки зрения двухкомпонентная экстракционная система предпочтительна по сравнению с трехкомпонентной.
В связи с этим для первого режима динамических испытаний было решено использовать:
- в качестве экстракционной смеси – 40 г/дм3 ИН6 в н-парафине;
- в качестве реэкстрагирующего раствора – 1 моль/дм3 HNO3.
Содержание 137Cs в рафинате и реэкстракте в зависимости от времени работы представлено на рис. 9.
Рис. 9. Распределение 137Cs по технологическим продуктам.
Общее время непрерывной работы экстракционного стенда в данном режиме составило 47 ч. За это время было переработано 7.5 дм3 модельного щелочного ВАО, а экстракционная смесь совершила 12.5 циклов обращения.
Спустя 12 ч работы экстракционного стенда было замечено образование белых осадков в ступенях блока реэкстракции с первой по пятую, а также образование микроэмульсии в оборотном экстрагенте. Перенос водной фазы с микроэмульсией в оборотном экстрагенте из блока реэкстракции в первую ступень блока экстракции был небольшим (3 см3 на 1 дм3) и не оказывал влияния на работу блока экстракции. После 12 ч работы проскок 137Cs в рафинат составлял 2.4%.
Спустя 25 ч работы в 10-й ступени блока экстракции отметили значимое образование осадка объемом примерно 2 см3 на границе раздела фаз и присутствие в восьмой и девятой ступенях небольшого объема хлопьев. Остальные ступени блока экстракции были чистыми. В блоке реэкстракции осадков не наблюдали.
К моменту остановки экстракционного стенда (47 ч работы) в блоке экстракции наблюдали вязкие темно-коричневые густые образования на дне ступеней с четвертой по десятую. Проскок 137Cs в рафинат составлял 40.2%.
Экстракция цезия в статических условиях исходной экстракционной смесью и смесью, отобранной спустя 25 и 47 ч работы, показала снижение коэффициентов распределения цезия с 16.7 до 4.9 и 0.4 соответственно. Такое сильное снижение эффективности экстракции цезия, скорее всего, связано с выпадением в осадок основной части ИН6.
Результаты анализа распределения стабильных компонентов (Na, Al, Cr, Si, Rb, Ca) по потокам схемы показали, что в реэкстракте присутствует натрий – 1.2 г/дм3 (1.1% от исходного) и алюминий – 0.1 г/дм3 (2.2% от исходного). При равных потоках экстрагента и исходного раствора это свидетельствует о том, что условные коэффициенты распределения натрия на стадии экстракции достигали 0.01, а алюминия – 0.008. Однако поступление слабо экстрагирующихся элементов в экстракт возможно не столько за счет экстракции (образования сольвата с активным компонентом экстракционной смеси), сколько за счет захвата микроэмульсии исходного раствора потоком органической фазы. В отсутствие промывки экстракта все захваченные с микроэмульсией стабильные примеси неизбежно поступают в реэкстракт. Это предположение отчасти подтверждается тем, что в реэкстракте в миллиграммовых количествах обнаружены и другие стабильные элементы, содержащиеся в исходном растворе.
Как упоминалось выше, в данном режиме проскок 137Cs в рафинат на момент окончания испытаний составлял 40% (14.9 МБк/дм3), коэффициент очистки рафината от 137Cs не превышал 2,5.
ИН6 в парафине с солюбилизатором и реэкстракция азотной кислотой (режим 2). С целью предотвращения образования осадков в экстракционную систему был добавлен солюбилюзатор – ДБЭДЭГ. Для работы экстракционного стенда во втором режиме были использованы:
- в качестве экстракционной смеси – раствор 40 г/дм3 ИН6 в н-парафине с добавлением 3 об% ДБЭДЭГ;
- в качестве реэкстрагирующего раствора – 1 моль/дм3 HNO3.
Общее время работы экстракционного стенда составило 29 ч. Экстракционный стенд работал непрерывно 12 ч с последующим перерывом 56 ч, после чего непрерывно проработал еще 17 ч. На период остановки экстракционные блоки не опорожняли, отстоявшиеся органическая и водные фазы оставались в ступенях блоков.
В первые 12 ч работы видимых нарушений в работе установки, кроме сохраняющейся микроэмульсии в блоке реэкстракции, не отмечалось. Спустя 12 ч работы отобрали пробу оборотной экстракционной смеси, провели экстракцию 137Cs в статике и обнаружили незначительное снижение коэффициента распределения с 5.6 до 4.6. Аналогичный эксперимент, проведенный с оборотной экстракционной смесью, отобранной после 12 ч работы и 56 ч выдержки, показал снижение коэффициента распределения 137Cs до 1.1.
Спустя 3 ч работы после повторного запуска стенда (общее время работы 15 ч) наблюдали образование осадков как в блоке экстракции, так и в блоке реэкстракции. Через 29 ч работы наблюдали образование хлопьевидного осадка на границе раздела фаз и смолообразной массы на дне ячеек. На момент остановки проскок 137Cs в рафинат составлял 37% (13.1 МБк/дм3), коэффициент очистки рафината от 137Cs составил 2.8.
В ходе предыдущих статических экспериментов в экстракционных системах на основе раствора ИН6 в н-парафине с добавкой 3 об% ДБЭДЭГ в качестве солюбилизатора образование осадков не наблюдалось. В динамическом эксперименте в присутствии солюбилизатора в отличие от первого этапа испытаний осадки образовывались и на ступенях экстракции, и на ступенях реэкстракции. Это позволяет предположить, что осадкообразование связано с химической реакцией каликсарена ИН6 с компонентами водных растворов.
Литературные данные свидетельствуют о том, что в экспериментах по экстракции цезия из щелочных ВАО Хэнфорда наблюдалось нитрозирование алкилфенолов [13]. Таким образом, в качестве наиболее вероятной реакции следует рассмотреть нитрозирование фенольных колец каликсарена азотистой кислотой, образующейся при взаимодействии нитрита натрия (компонент модельного ВАО) с азотной кислотой, входящей в состав реэкстрагента. Перенос нитрита натрия из модельного щелочного ВАО в зону азотнокислой реэкстракции может быть связан с микроэмульсионным уносом, который в ходе испытаний составлял примерно 3 см3 на 1 дм3 оборотного экстрагента. При таком поступлении концентрация нитрит-ионов в реэкстракте может достигать сотен мг/дм3, чего вполне достаточно для мононитрозирования около 8% ИН6 за один контакт экстракта с азотнокислым реэкстрагентом. Нитрозопроизводное ИН6 существенно хуже растворимо в додекане даже в присутствии солюбилизатора и выпадает в осадок. Следует отметить, что в ходе предыдущих динамических испытаний экстракционной системы на основе ИН6 в додекане со смесевым солюбилизатором 10 об% диглима + 10 об% Ф-3 мы не наблюдали образования осадков в органической фазе и снижения эффективности экстракции цезия [10]. Очевидно, что высокое содержание более эффективных солюбилизаторов обеспечивает растворимость нитрозопроизводных ИН6 в додекане, а на эффективность экстракции цезия нитрозирование ИН6, вероятно, заметно не влияет.
ИН6 в н-парафине с солюбилизатором и реэкстракция муравьиной кислотой (режим 3). Для исключения процесса нитрозирования ИН6 в качестве реэкстрагирующего раствора был использован раствор 2 моль/дм3 муравьиной кислоты, которая, по данным статических экспериментов, обеспечивает эффективную реэкстракцию цезия и обладает восстановительными свойствами, разрушая азотистую кислоту. В качестве экстракционной смеси использовали раствор 40 г/дм3 ИН6 в н-парафине с добавлением 3 об% ДБЭДЭГ.
Общее время работы экстракционного стенда на режиме 3 составило 48 ч непрерывной работы. За это время переработано 7.7 дм3 модельного раствора, а экстракционная смесь совершила 12.8 циклов обращения. За все время испытаний образования осадков в блоках не отмечали.
Содержание 137Cs в рафинате и реэкстракте в зависимости от времени работы стенда представлено на рис. 10. Налицо стабильность содержания цезия в обоих выходных потоках.
Анализ проб оборотной экстракционной смеси в статических условиях показал, что экстракционная смесь более чем за 10 циклов обращения не потеряла своих экстракционных свойств и сохранила их стабильность на протяжении 48 ч непрерывной работы. Коэффициенты распределения 137Cs со свежей экстракционной смесью и после 10 циклов обращения составляли 5.6 и 6.1 соответственно, т.е. были практически идентичны. В конце динамических испытаний проскок 137Cs в рафинат сохранился на уровне 0.35% (0.14 МБк/дм3), коэффициент очистки модельного раствора от 137Cs находился на уровне от 250 до 280.
Данные о распределении 137Cs по ступеням блоков экстракции и реэкстракции представлены на рис. 11.
Рис. 11. Распределение 137Cs в продуктах по ступеням и его коэффициенты распределения в блоках экстракции (а) и реэкстракции (б).
По мере насыщения экстрагента коэффициенты распределения 137Cs в блоке экстракции ожидаемо снижаются. Теоретически при данных коэффициентах распределения извлечение 137Cs на восьми ступенях экстракции должно быть не менее 99.9%. На фоне стабильного микроэмульсионного уноса цезия с блока реэкстракции в блок экстракции и последующего разрушения микроэмульсии в первой ступени блока экстракции можно сделать предположение, что микроэмульсия является источником проскока 137Cs в рафинат блока экстракции. Учитывая стабильный проскок 0.14 МБк/дм3 137Cs в рафинат и объемную активность 0.71 МБк/дм3 оборотной экстракционной смеси, коэффициент распределения 137Cs составит 4.1, что совпадает с данными (4.2) для первой ступени блока экстракции, из которой выходит рафинат.
Результаты анализа распределения стабильных компонентов (Na, Al, Cr, Si, Rb, Ca) по потокам показали, что в реэкстракте, как и в режиме 1, наблюдается натрий – до 1.2 г/дм3 (1.1% от исходного) и алюминий – до 0.07 г/дм3 (1.3% от исходного).
Режим испытаний на третьем этапе отличался от второго только заменой азотнокислого реэкстрагента на муравьиную кислоту. Тем самым поток эмульсионного уноса модельного ВАО, а значит, и поступление нитрит-ионов в зону реэкстракции были идентичными второму этапу испытаний. Но никаких признаков деградации экстрагента на третьем этапе испытаний не наблюдали. В условиях поступлении относительно небольших (по оценке – не более 0.02 моль/дм3) количеств нитрита в зону реэкстракции с достаточно высокой концентрацией восстановителя – 2 моль/дм3 муравьиной кислоты – нитрозирование ИН6 отсутствует. Таким образом, муравьиная кислота в данном случае работает не только как реэкстрагент, но и как протектор, защищающий ИН6 от нитрозирования.
Исследование продукта нитрозирования ИН6
Продукт нитрозирования ИН6, как упомянуто в методической части, был получен в статических условиях. Данные элементного анализа продукта нитрозирования ИН6 и расчетный состав вещества приведены в табл. 9.
Таблица 9. Данные CHN-анализа
ИН6 | ω (N), % | ω (С), % | ω (H), % | ω (O), % | Расчетный состав вещества |
Исходный | – | 79.5 | 10.1 | 10.4 | С16H23O |
Нитрозированный | 4.84 | 59.0 | 7.33 | 28.9 | C16H24O6N |
В составе нитрозированного ИН6, по сравнению с исходным, обнаруживается избыток кислорода. Было сделано предположение, что ИН6 помимо нитрозирования подвергся окислению. Для проверки данной гипотезы были изучены ИК-НПВО-спектры нитрозированного и исходного ИН6 (рис. 12).
Рис. 12. ИК-НПВО-спектры п-хинона, нитрозированного и исходного ИН6.
В ИК спектрах нитрозированного ИН6 наблюдаются характерные полосы нитрозогрогрупп (1563 см–1), хинона (1661 см–1), карбоксильной группы (1743 см–1) и нитрогрупп (~1350 см–1). Это отчасти подтверждает предположение, что при взаимодействии ИН6 с нитритно-нитратным кислым раствором происходит нитрозирование и окисление каликсарена. В то же время наличие полосы нитрогруппы показывает, что только этими процессами взаимодействие не ограничивается и требует дальнейшего исследования и анализа.
ЗАКЛЮЧЕНИЕ
В статических экспериментах было показано, что сольватирующая добавка – ДБЭДЭГ – предотвращает образование осадков. В то же время добавка ДБЭДЭГ снижает эффективность экстракции цезия, и ее целесообразно использовать в минимальной концентрации – 3 об%. По плотности и вязкости экстракционная смесь 40 г/дм3 раствора ИН6 в додекане с добавлением 3 об% ДБЭДЭГ практически не отличается от додекана. Потери ДБЭДЭГ за счет вымывания в модельный щелочной ВАО не превышают 0.1% за один контакт. При экстракции цезия растворами ИН6 в додекане образуется полусольват в условиях максимального насыщения органической фазы и моносольват в условиях, далеких от насыщения. Для эффективной реэкстракции цезия можно использовать растворы азотной или муравьиной кислот.
На лабораторном стенде смесителей–отстойников с использованием модельного раствора щелочного ВАО были проверены три режима выделения 137Cs: с экстрагентом без или с добавкой ДБЭДЭГ и с реэкстрагентом на основе азотной или муравьиной кислот. Использование азотной кислоты в качестве реэкстрагента приводило к выпадению в осадок нитрозопроизводного ИН6 и снижению эффективности извлечения цезия. Стабильная работа экстракционный системы в динамических испытаниях была достигнута при использовании в качестве экстрагента раствора 40 г/дм3 ИН6 в н-парафине с добавлением 3 об% ДБЭДЭГ, а в качестве реэкстрагента – 2 моль/дм3 муравьиной кислоты. В данном режиме экстракционный стенд непрерывно проработал 48 ч с постоянным извлечением 137Cs из модельного ВАО на уровне 99.7% (коэффициент очистки модельного ВАО от 137Cs в интервале 250–280) при двукратном концентрировании 137Cs в реэкстракте.
БЛАГОДАРНОСТИ
Исследования проведены с использованием оборудования ресурсного центра Научного парка СПбГУ «Методы анализа состава вещества».
Авторы выражают благодарность за помощь в проведении стендовых испытаний сотрудникам ЦЗЛ ПО «Маяк» под руководством к.т.н. Ю.А. Ворошилова.
ФИНАНСИРОВАНИЕ РАБОТЫ
Материал подготовлен в рамках исполнения договора от 04.04.2022 № Н.4д.241.20.22.1057 на выполнение государственного контракта «Разработка и обоснование вариантов переработки высокоактивных отходов сложного химического состава, включая опытно-конструкторские работы и опытно-промышленные испытания оборудования».
Исследование процесса агрегации ИН6 и установление продуктов его нитрозирования выполнено при финансовой поддержке гранта РНФ № 20-63-46006.
КОНФЛИКТ ИНТЕРЕСОВ
Авторы заявляют об отсутствии конфликта интересов.
About the authors
A. Z. Yumaguen
St. Petersburg State University; Mayak Production Association; Ozyorsk Institute of Technology
Author for correspondence.
Email: cpl@po-mayak.ru
Russian Federation, St. Petersburg; Ozyorsk; Ozyorsk
E. S. Babitova
St. Petersburg State University; Khlopin Radium Institute
Email: cpl@po-mayak.ru
Russian Federation, St. Petersburg; St. Petersburg
M. V. Logunov
Mayak Production Association
Email: cpl@po-mayak.ru
Russian Federation, Ozyorsk
M. D. Karavan
St. Petersburg State University; Khlopin Radium Institute
Email: cpl@po-mayak.ru
Russian Federation, St. Petersburg; St. Petersburg
P. V. Kozlov
Mayak Production Association; Ozyorsk Institute of Technology
Email: cpl@po-mayak.ru
Russian Federation, Ozyorsk; Ozyorsk
A. V. Konnikov
Mayak Production Association
Email: cpl@po-mayak.ru
Russian Federation, Ozyorsk
I. V. Smirnov
St. Petersburg State University; Khlopin Radium Institute
Email: igor_smirnov@khlopin.ru
Russian Federation, St. Petersburg; St. Petersburg
References
- Логунов М.В., Карпов В.И., Дружинина Н.Е., Тананаев И.Г. // Вопр. радиац. безопасности. 2011. № 1 (61). С. 15.
- Богатов С.А., Блохин П.А., Уткин С.С. // Вопр. радиац. безопасности. 2021. № 3 (103). С. 3.
- Козлов П.В., Ремизов М.Б., Макаровский Р.А., Дементьева И.И., Лупеха Н.А., Зубриловский Е.Н., Кустов С.В., Мирошниченко А.А. // Радиоактивные отходы. 2018. № 4 (5). С. 55.
- Pereira C., Arafat H.A., Falkenberg J.R., Regalbuto M.C., Vandegrift G.F. Recovery of Entrained CSSX Solvent from Caustic Aqueous Raffinate Using Coalescers: Report ANL-02/34. 2002.
- Smirnov I.V., Shadrin A.Yu., Babain V.A., Logunov M.V. // ACS Symp. Ser. 2000. Vol. 757. Ch. 8. P. 107.
- Gutsche C.D. Calixarenes: an Introduction. Ser.: Monographs in Supramolecular Chemistry. Cambridge: Royal Soc. Chem., 2008.
- Smirnov I.V., Stepanova E.S., Tyupina M.Yu. // Macroheterocycles. 2017. Vol. 10. N 2. Р. 196.
- Ивенская Н.М., Логунов М.В., Смирнов И.В. // Радиохимия. 2018. Т. 60. № 4. С. 378.
- Smirnov I.V, Karavan M.D., Istomina N.M., Kozlov P.V., Voroshilov Yu.A. // J. Radioanal. Nucl. Chem. 2020. Vol. 326. N 1. P. 675.
- Smirnov I.V., Karavan M.D., Yumaguen A.Z. // RAD Conf. Proc. 2021. Vol. 5. P. 48.
- Рабинович В.А., Хавин З.Я. Краткий химический справочник. Л.: Химия, 1991. 432 с.
- Химия долгоживущих осколочных элементов / Под ред. А.В. Николаева. М.: Атомиздат, 1970. 328 с.
- Экстракция металлов фенолами / Под ред. А.В. Николаева. Новосибирск: Наука, 1976. 189 с.
Supplementary files














