Анализ причин появления ступеней на изотермах сорбции
- Авторы: Воронина А.В.1
-
Учреждения:
- Уральский федеральный университет имени первого Президента России Б.Н. Ельцина
- Выпуск: Том 66, № 5 (2024)
- Страницы: 409-427
- Раздел: Статьи
- URL: https://journal-vniispk.ru/0033-8311/article/view/287481
- DOI: https://doi.org/10.31857/S0033831124050016
- ID: 287481
Цитировать
Аннотация
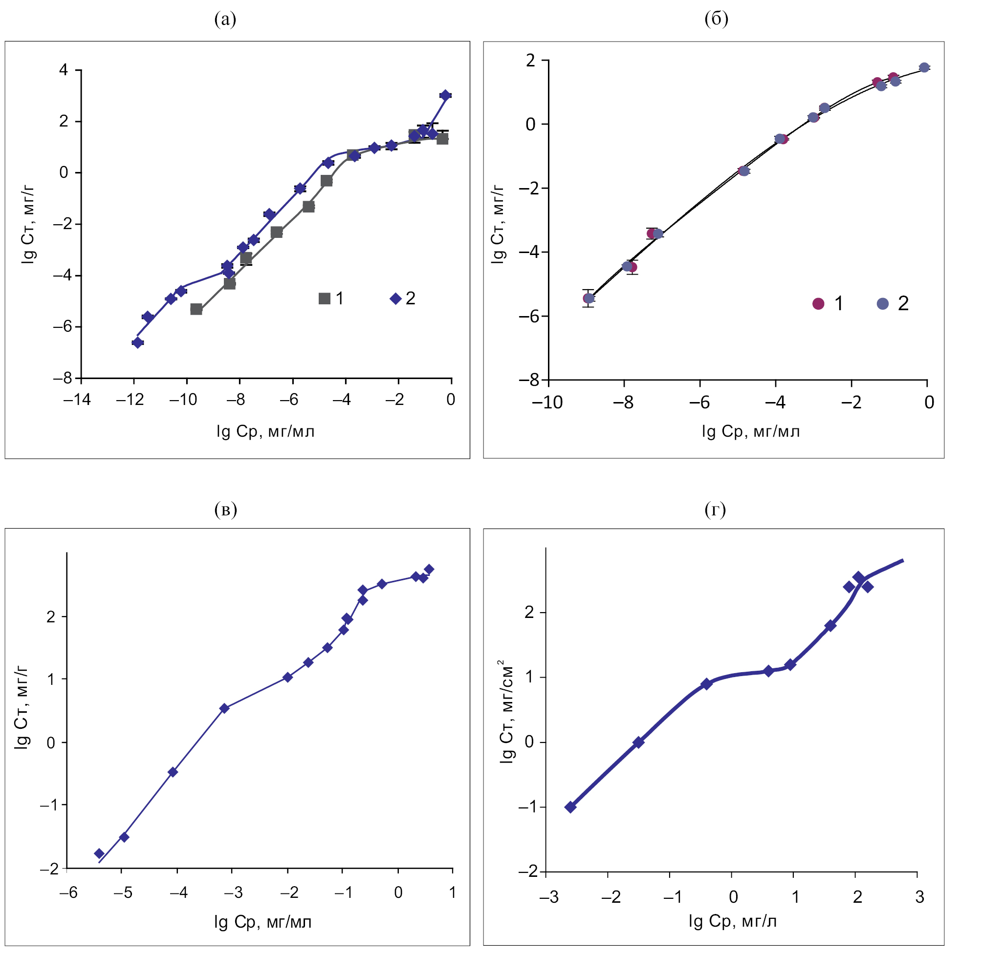
Проведен анализ причин появления ступеней с плато различной протяженности на изотермах сорбции на основе экспериментальных и литературных данных. Приведены примеры изотерм ступенчатого вида для иллюстрации каждого типа причин. Показано, что причинами, вызывающими отклонение от линейности изотерм сорбции и появление ступеней, могут выступать: полифункциональность сорбента, присутствие сорбционных центров с достаточно сильно различающейся специфичностью к сорбату; неоднородность сорбата, присутствие инертных сорбируемых форм состояния сорбата; химическое преобразование сорбентов в процессе сорбции с образованием новых фаз, в том числе с участием компонентов раствора; смена механизмов сорбции при условии их последовательной реализации.
Ключевые слова
Полный текст
Об авторах
А. В. Воронина
Уральский федеральный университет имени первого Президента России Б.Н. Ельцина
Автор, ответственный за переписку.
Email: av.voronina@mail.ru
Россия, 620002, Екатеринбург, ул. Мира, д. 19
Список литературы
- Панарин В.Ю., Баум Е.А., Ланин С.Н. // Сорбционные и хроматографические процессы. 2019. Т. 19. № 3. С. 367–375.
- Eucken A. // Verhandl. Deutsch. Phys. Ges. 1914. Bd 16. S. 345–362.
- Polanyi M. // Verhandl. Deutsch. Phys. Ges. 1914. Bd 16. S. 1012–1016.
- Langmuir I. // J. Am. Chem. Soc. 1916. Vol. 38. Р. 2221–2295.
- Langmuir I. // J. Am. Chem. Soc. 1917. Vol. 39. Р. 1848–1906.
- Langmuir I. // J. Am. Chem. Soc. 1918. Vol. 40. Р. 1361–1403.
- Поляков Е.В. // Радиохимия. 2018. Т. 60. № 2. С. 159–166.
- Freundlich H.M.F. // J. Phys. Chem. 1906. Vol. 57. Р. 385–471.
- Темкин М.И. // ЖФХ. 1941. Т. 15. C. 296–332.
- Brunauer S., Emmett P.H., Teller E. // J. Am. Chem. Soc. 1938. Vol. 60. Р. 309–319.
- Redlich O., Peterson D.L. // J. Phys. Chem. 1959. Vol. 63. Р. 1024–1026.
- Dubinin M.M., Radushkevich L.V. // Proc. Acad. Sci. USSR. Phys. Chem. Sect. 1947. Vol. 55. Р. 331–333.
- Henry W. // Phil. Trans. R. Soc. Lond. 1803. Vol. 93. Р. 29–274.
- Воронина А.В., Бетенеков Н.Д., Недобух Т.А. Прикладная радиоэкология: учебное пособие. Екатеринбург: УГТУ-УПИ, 2010. Изд. 2-е, перераб. 224 с.
- Егоров Ю.В. Статика сорбции микрокомпонентов оксигидратами. М.: Атомиздат, 1975. C. 250.
- Егоров Ю.В. // Соосаждение и адсорбция радиоактивных элементов. М.; Л.: Наука, 1965. С. 113–117.
- Sing K.S.W., Everett D.H., Haul R.A.W., Moscou L., Pierotti R.A., Rouquerol J. and Siemieniewska T. // Pure Appl. Chem. 1985. Vol. 57. N 4. Р. 603–619.
- Sing K.S.W. // Pure Appl. Chem. 1982. Vol. 54. N 11. Р. 2201–2218.
- Thommes M., Kaneko K., Neimark A., Olivier J.P., Rodriguez-Reinoso F., Rouquerol J., Sing K.S.W. // Pure Appl. Chem. 2015. Vol. 87. N 9–10. Р. 1051–1069.
- Иониты в химической технологии / Под ред. Б.П. Никольского, П.Г. Романкова. Л.: Химия, 1982. 416 с.
- Белинская Ф.А., Милицина Э.А. // Успехи химии. 1980. Т. 59. Вып. 10. С. 1904–1936.
- Вольхин В.В., Егоров Ю.В., Белинская Ф.А., Бойчинова Е.С., Малофеева Г.И. // Неорганические сорбенты. Ионный обмен: Сб. работ / Под ред. М.М. Сенявина. М.: Наука, 1981. С. 25–44.
- Марков В.Ф., Маскаева Л.Н., Иванов П.Н. Гидрохимическое осаждение пленок сульфидов металлов: моделирование и эксперимент. Екатеринбург: УрО РАН, 2006. 217 с.
- Вольхин В.В., Львович Б.И. // Химия и технология неорганических сорбентов: Межвуз. сб. науч. тр. Пермь, 1976. С. 68–73.
- Белинская Ф.А. // Ионный обмен и ионометрия / Под ред. Б.П. Никольского. Л., 1988. Вып. 6. С. 17–42.
- Белинская Ф.А. // Академик Б.П. Никольский. Жизнь. Труды. Школа / Под ред. А.А. Белюстина, Ф.А. Белинской. СПб.: Изд-во СПб. ун-та, 2000. С. 179–195.
- Воронина А.В., Ноговицына Е.В., Семенищев В.С., Блинова М.О. Патент RU 2746194. 2021. // Б.И. 2021. № 2.
- Рыженьков А.П. Тонкослойные оксидномарганцевые покрытия: Дис. … к.х.н. Свердловск, 1981. 147 с.
- Денисова Т.А. Состояние протонсодержащих групп в сорбентах на основе оксигидратных, гетерополиметаллатных и цианоферратных фаз: Автореф. дис. … д.х.н. Екатеринбург: ИХТТ Уро РАН, 2009. 46 с.
- Перехожева Т.Н., Шарыгин Л.М., Малых Т.Г. // Радиохимия. 1982. T. 24. № 3. С. 295–298.
- Воронина А.В., Семенищев В.С. // Радиохимия. 2013. Т. 55. № 1. С. 61–64.
- Voronina A.V., Semenishchev V.S. // J. Radioanal. Nucl. Chem. 2016. Vol. 307. N 1. Р. 577–590.
- Егоров Ю.В., Любимов А.С. // Радиохимия. 1969. Т. 11. № 2. С. 215–221.
- Бетенеков Н.Д., Василевский В.А., Недобух Т.А., Егоров Ю.В. // Радиохимия. 1984. Т. 26. № 4. С. 432–439.
- Денисов Е.И., Бетенеков Н.Д. // Радиохимия. 2018. Т. 60. № 4. С. 332–339.
- Денисов Е.И., Бетенеков Н.Д., Шарыгин Л.М. // Радиохимия. 2016. Т. 58. № 1. С. 59–66.
- Воронина А.В., Блинова М.О., Куляева И.О., Санин П.Ю., Семенищев В.С., Афонин Ю.Д. // Радиохимия. 2015. Т. 57. № 5. С. 446–452.
- Blinova M.O., Glazunova Y.V., Voronina A.V. // AIP Conf. Proc. 2019. Vol. 2174. ID 020010.
- Voronina A.V. // Radiochemistry. 1995. Vol. 37. N 6. P. 538.
- Воронина А.В. Синтез, исследование свойств и определение областей применения тонкослойных неорганических сорбентов на основе нетканых фильтрующих материалов: Дис. … к.х.н. Екатеринбург, 1995. 137 с.
- Попов В.Е., Ильичева Н.С., Степина И.А., Маслова К.М. // Радиохимия. 2011. Т. 53. № 1. С. 86–90.
- Voronina A.V., Gorbunova T.V., Semenishchev V.S. // J. Radioanal. Nucl. Chem. 2017. Vol. 312. N 2. P. 241–254.
- Волков И.В., Поляков Е.В., Денисов Е.И., Иошин А.А. // Радиохимия. 2017. Т. 59. № 1. С. 63–70.
- Бетенеков Н.Д., Губанова А.Н., Егоров Ю.В., Попов В.И., Пузако В.Д., Черемухин Ю.Г., Царев Б.А. // Радиохимия. 1976. Т. 8. № 4. С. 622–627.
- Бетенеков Н.Д., Егоров Ю.В., Пузако В.Д., Лисиенко Д.Г. // Радиохимия. 1971. Т. 13. № 6. С. 821–836.
- Бетенеков Н.Д., Пузако В.Д., Егоров Ю.В. // Радиохимия. 1971. Т. 13. № 5. С. 755–757.
- Бетенеков Н.Д., Пузако В.Д., Егоров Ю.В. // Радиохимия. 1971. Т. 13. № 6. С. 925–926.
- Бетенеков Н.Д., Егоров Ю.В., Пузако В.Д. // Радиохимия. 1974. Т. 16. № 1. С. 20–26.
- Бетенеков Н.Д., Егоров Ю.В., Пузако В.Д. // Радиохимия. 1980. Т. 22. № 1. С. 30–37.
- Поляков Е.В. Реакции ионно-коллоидных форм микрокомпонентов и радионуклидов в водных растворах. Екатеринбург: УрО РАН, 2003. 279 с.
- Поляков Е.В., Бетенеков Н.Д., Егоров Ю.В. // Радиохимия. 1983. Т. 25. № 6. С. 753–758.
- Поляков Е.В., Егоров Ю.В., Панфилова Л.В. // Радиохимия. 1996. Т. 36. № 1. С. 29–32.
- Поляков Е.В., Егоров Ю.В., Ильвес Г.Н. // Радиохимия. 1999. Т. 41. № 4. С. 336–340.
- Поляков Е.В., Денисов Е.И., Волков И.В. // Радиохимия. 2021. Т. 63. № 6. С. 545–552.
- Волков И.В., Поляков Е.В. // Радиохимия. 2020. Т. 62. № 2. С. 93–113.
- Пан Л.С., Зильберман М.В., Вольхин В.В. // ЖПХ. 1986. Т. 59. № 4. С. 1866–1868.
- Зильберман М.В., Кузнецов В.Г., Вольхин В.В. // ЖНХ. 1974. Т. 19. № 7. С. 1838–1841.
- Вольхин В.В., Калинин Н.Ф., Зильберман М.В. // Неорганические ионообменники. Синтез, структура, свойства. Пермь, 1977. С. 32–36.
- Зильберман М.В., Вольхин В.В., Калинин Н.Ф. // Коллоид. журн. 1978. Т. 40. № 5. С. 982–985.
- Алесковский В.Б. Стехиометрия и синтез твердых соединений. Л.: Наука, 1976. 140 с.
- Clearfield A., Medina A.S. // J. Inorg. Nucl. Chem. 1973. Vol. 35. P. 2985–2992.
- Филина Л.П., Белинская Ф.А. // Вестн. С.-Петерб. ун-та. Сер. физ. хим. 1994. Вып. 2. С. 77–83.
- Воронина А.В., Орлов П.А. // Радиохимия. 2021. Т. 63. № 1. С. 42–53.
- Voronina A.V., Semenischev V.S., Nogovitsyna E.V., Betenekov N.D. // J. Radioanal. Nucl. Chem. 2013. Vol. 298. P. 67–75.
- Orlov P.A., Voronina A.V., Blinova M.O., Yakovlev G.A., Semenishchev V.S. // AIP Conf. Proc. 2017. Vol. 1886. ID 020058.
- Ноговицына Е.В. Получение и свойства поверхностно-модифицированных сорбентов для извлечения цезия. Дис. … к.х.н. Екатеринбург, 2011. 169 с.
- Тананаев И.В., Сейфер Г.Б., Харитонов Ю.Я., Кузнецов В.Г., Корольков А.П. Химия ферроцианидов. М.: Наука, 1971. 320 с.
- Лурье Ю.Ю. Справочник по аналитической химии. М.: Химия, 1979. 5-е изд. 480 с.
Дополнительные файлы













