Extraction of U(VI), Th(IV), and Lanthanides(III) from Nitric Acid Solutions with Mixtures of Diphenyl-N,N-dioctylcarbamoylmethylphosphine Oxide and Lithium Bis[(trifluoromethyl)sulfonyl]imide
- Authors: Turanov A.N.1, Karandashev V.K.2
-
Affiliations:
- Osipyan Institute of Solid State Physics, Russian Academy of Sciences
- Institute of Microelectronics Technology and High Purity Materials, Russian Academy of Sciences
- Issue: Vol 66, No 5 (2024)
- Pages: 456-460
- Section: Articles
- URL: https://journal-vniispk.ru/0033-8311/article/view/287805
- DOI: https://doi.org/10.31857/S0033831124050051
- ID: 287805
Cite item
Abstract
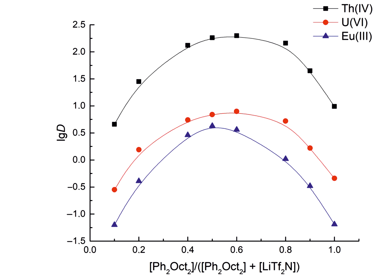
The extraction of U(VI), Th(IV), and lanthanide(III) ions with mixtures of diphenyl-N,N-dioctylcarbamoylmethylphosphine oxide (Ph2Oct2) and lithium bis[(trifluoromethyl)sulfonyl]imide (LiTf2N) in dodecane containing 10% octanol was studied. A synergistic effect was discovered during the extraction of metal ions with such mixtures. When extracting Ln(III) from solutions of 3 mol/l HNO3, the DLn values in the system with Ph2Oct2–LiTf2N are more than three orders of magnitude higher than when extracting with a solution of Ph2Oct2. The stoichiometry of the extracted complexes was determined, and the effect of HNO3 concentration on the extraction of metal ions was studied. It has been established that actinide and lanthanide(III) ions are extracted with a mixture of Ph2Oct2 and LiTf2N from nitric acid solutions via a cation-exchange mechanism.
Full Text
About the authors
A. N. Turanov
Osipyan Institute of Solid State Physics, Russian Academy of Sciences
Author for correspondence.
Email: karan@iptm.ru
Russian Federation, ul. Akademika Osipyana 2, Chernogolovka, Moscow oblast, 142432
V. K. Karandashev
Institute of Microelectronics Technology and High Purity Materials, Russian Academy of Sciences
Email: karan@iptm.ru
Russian Federation, ul. Akademika Osipyana 6, Chernogolovka, Moscow oblast, 142432
References
- Myasoedov B.F., Kalmykov S.N. // Mendeleev Commun. 2015. Vol. 25. N 5. P. 319. https://doi.org/ 10.10016/j.mencom.2015.09.001
- Horwitz E.P., Martin K.A., Diamond H., Kaplan L. // Solvent Extr. Ion Exch. 1986. Vol. 4. N 3. P. 449. https://doi.org/10.1080/07366298608917877
- Чмутова М.К., Литвина М.Н., Прибылова Г.А. Иванова Л.А., Смирнов И.В., Шадрин А.Ю, Мясоедов Б.Ф. // Радиохимия. 1999. Т. 41. № 4. С. 331.
- Аляпышев М.Ю., Бабаин В.А., Устынюк Ю.А. // Успехи химии. 2016. Т. 85. № 9. С. 943–961; Alyapyshev M. Yu., Babain V.A., Ustynyuk Yu.A. // Russ. Chem. Rev. 2016. Vol. 85. N 9. P. 943. https://doi.org/10.1070/RCR4588
- Chmutova M.K., Litvina M.N., Nesterova N.P., Myasoedov B.F., Kabachnik M.I. // Solvent Extr. Ion Exch. 1992. Vol. 10. P. 439.
- Смирнов И.В. // Радиохимия. 2007. Т. 49. № 1. С. 40.
- Rais J., Tachimori S. // J. Radioanal. Nucl. Chem. Lett. 1994. Vol. 188. N 2. P. 157.
- Smirnov V.I., Babain V.A., Shadrin A.Yu., Efremova T.I., Bondarenko N.A., Herbst R.S., Peterman D.R., Todd T.A. // Solvent Extr. Ion Exch. 2005. Vol. 23. N 1. P. 1.
- Makrlik E., Vanura P., Selucky P. // J. Radioanal. Nucl. Chem. 2010. Vol. 283. P. 571.
- Riano S., Foltova S.S., Binnemans K. // RSC Adv. 2020. Vol. 10. P. 307. doi: 10.1039/c9ra08996
- Iqbal M., Waheed K., Rahat S.B., Mehmood T., Lee M.S. // J. Radioanal. Nucl. Chem. 2020. Vol. 325. P. 1. doi: 10.1007/s10967-020-07199-1
- Atanassova M. // J. Mol. Liq. 2021. Vol. 343. ID 117530. https://doi.org/10.1016/j.molliq.2021.117530
- Белова В.В. // Радиохимия. 2021. Т. 63. № 1. С. 3; Belova V.V. // Radiochemistry. 2021. Vol. 63. N 1. Р. 1. https://doi.org/10.1134/S106636222101001X
- Sun T., Zhang Y., Wu Q., Chen J., Xia L., Xu C. // Solvent Extr. Ion Exch. 2017. Vol. 35. P. 408. https://doi.org/10.1080/07366299.2017.1379142
- Туранов А.Н., Карандашев В.К., Яркевич А.Н. // Радиохимия. 2013. Т. 55. № 4. С. 314; Turanov A.N., Karandashev V.K., Yarkevich A.N. // Radiochemistry. 2013. Vol. 55. N 4. P. 382. https://doi.org/10.1134/S1066362213040073
- Turanov A.N., Karandashev V.K., Sharova E.V., Artyushin O.I., Kostikova G.V., Fedoseev A.M. // Radiochim. Acta. 2023. Vol. 111. P. 602.
- Прибылова Г.А., Смирнов И.В., Новиков А.П. // Радиохимия. 2012. Т. 54. № 5. С. 435.
- Pribilova G., Smirnov I., Novikov A. // J. Radioanal. Nucl. Chem. 2012. Vol. 295. P. 83.
- Gaillard C., Boltoeva M., Billard I., Georg S., Mazan V., Ouadi A., Ternova D., Henning C. // ChemPhysChem. 2015. Vol. 16. P. 2653. https://doi.org/ 10.1002/cphc.201500283
- Туранов А.Н., Карандашев В.К., Харитонов А.В., Лежнев А.Н., Сафронова З.В., Яркевич А.Н., Цветков Е.Н. // ЖОХ. 1999. Т. 69. N 7. С. 1109; Turanov A.N., Karandashev V.K., Kharitonov A.N., Lezhnev A.N., Safronova Z.V., Yarkevich A.N. Tsvetkov E.N. // Russ. J. Gen. Chem. 1999. Vol. 69. N 7. P. 1068.
- Binnemans K. // Chem. Rev. 2007. Vol. 107. P. 2593. https://doi.org/ 10.1021/cr050979c
- Туранов А.Н., Карандашев В.К., Костикова Г.В., Федосеев А.М. // Радиохимия. 2023. Т. 65. № 4. С. 310.
- Чмутова М.К., Литвина М.Н., Прибылова Н.П., Нестерова Н.П., Клименко В.Е., Мясоедов Б.Ф. // Радиохимия. 1995. Т. 37. № 5. С. 430.
- Horwitz E.P., Diamond H., Martin K.A., Chiarizia R. // Solvent Extr. Ion Exch. 1987. Vol. 5. P. 419.
Supplementary files








