Deuterium labeling of dopaquine
- Authors: Shevchenko V.P.1, Nagaev I.Y.1, Shevchenko K.V.1, Myasoedov N.F.1
-
Affiliations:
- National Research Centre Kurchatov Institute
- Issue: Vol 66, No 6 (2024)
- Pages: 589-595
- Section: Articles
- URL: https://journal-vniispk.ru/0033-8311/article/view/292294
- DOI: https://doi.org/10.31857/S0033831124060101
- ID: 292294
Cite item
Full Text
Abstract
The possibility of introducing deuterium into dopaquine, a compound consisting of quinone and dopamine fragments, has been studied. It has been established that isotope exchange can be carried out with deuterated water in the presence of trifluoroacetic acid (TFA) and HCl. Optimal conditions are the use of TFA at a temperature of 80°С. To activate isotope exchange, catalysts based on iridium or palladium (5%Pd/Al2O3, cycloocta-1,5-dienylyridium(I) 1,1,1,5,5,5-hexafluoropentane-2,4-dionate) were added to the reaction mixture in addition to the acid component. The preparative synthesis of [D]dopaquine was carried out by isotope exchange with deuterated water (D2O : TFA 5 : 1, 80°С, 3 h). [D]Dopaquine was obtained in 20% yield of with the deuterium content in the interval 1.2–1.4 atoms per molecule. The deuterium content in the dopamine fragment is 1.2–1.3 atoms per molecule. The quinone fragment contained approximately 4–7% of the isotope.
Keywords
Full Text
Введение изотопов водорода в соединения, содержащие хиноны, проблематично. Ядро хинонов не является ароматическим, вклад резонансных структур ароматического типа для них невелик. Поэтому свойства 1,4-хинонов ближе к ненасыщенным 1,4-дикетонам [1]. Они неустойчивы в восстановительной среде, например при нагревании в атмосфере изотопов водорода. В случае получения меченных дейтерием соединений можно воспользоваться тяжелой водой. Но даже при этом нагревание выше 100°С приводит к низким выходам меченых препаратов. В связи с этим для каждого препарата такого рода необходимо оптимизировать условия синтеза в температурном и временном режиме индивидуально. Для этого необходимо применить весь арсенал подходов, который имеется на сегодняшний день [2–10]. В данной работе дейтерий вводили в дофахин:
[D]Дофахин необходим для проведения важных биологических экспериментов, связанных с изучением соединений, обладающих антирадикальной активностью. [11].
Целью работы является получение [D]дофахина.
ЭКСПЕРИМЕНТАЛЬНАЯ ЧАСТЬ
Катализаторы, растворители, реагенты – коммерческие препараты. Дофахин синтезирован по методу [11].
Для анализа реакционных смесей использовали методы высокоэффективной жидкостной хроматографии (ВЭЖХ) и масс-спектрометрии. ВЭЖХ проводили на хроматографе Милихром А-02 с использованием колонки ProntoSIL-120-5-C18 AQ (2 × 75 мм, размер частиц 5 мкм). Подвижная фаза: А – 200 мM LiClO4+5 мM HClO4, Б – MeOH, линейный градиент концентрации метанола в буфере от 10 до 100% за 12 мин. Скорость подачи элюента – 0.15 мл/мин. Температура колонки 35°C. Время удерживания дофахина – 9.11 мин.
Масс-спектрометрические данные получали на приборе LCQ Advantage MAX (Термоэлектрон, США), с ионизацией электрораспылением, прямым вводом раствора образца с концентрацией 10 мкг/мл в метаноле и дальнейшей фрагментацией молекулярного пика в анализаторе методом ионных соударений при 35 эВ.
Варианты введения дейтерия в дофахин (выход и содержание дейтерия приведены в табл. 1–3) описаны ниже.
Таблица 1. Зависимость изотопного обмена дейтерия с протонами дофахина от времени проведения реакции при использовании катализаторов на основе иридия или палладия
Время, ч | Т, °С | Среднее ∑D | Выход, % | |
дофамин | хинон | |||
CODIrF6Acac, D2O–ДМФА (٧ : 1) | ||||
1.0 | 90 | 0.04 | 0.01 | 61 |
2.0 | 0.05 | 0.03 | 38 | |
3.0 | 0.08 | 0.05 | 31 | |
18.0 | 23 | 0.02 | 0.01 | 97 |
CODIrF6Acac, D2O–ТФУК (200 : 1) | ||||
3.0 | 70 | 0.18 | 0.04 | 99 |
CODIrF6Acac, D2O–ТФУК (100 : 1) | ||||
3.0 | 70 | 0.17 | 0.04 | 99 |
18.0 | 23 | 0.06 | 0.01 | 97 |
CODIrF6Acac, D2O–ТФУК (5 : 1) | ||||
3.0 | 80 | 1.11 | 0.16 | 34 |
5% Pd/Al2O3–Al2O3–дофахин (5 : 20 : 1), D2O–ТФУК (100 : 1) | ||||
0.5 | 70 | 0.11 | 0.02 | 96 |
1.0 | 0.17 | 0.04 | 94 | |
2.0 | 0.30 | 0.05 | 90 | |
18.0 | 23 | 0.15 | 0.01 | <5 |
5% Pd/Al2O3–Al2O3–дофахин (5 : 20 : 1), D2O–ТФУК (5 : 1) | ||||
0.5 | 80 | 0.55 | 0.05 | 57 |
1.0 | 0.83 | 0.07 | 36 | |
18.0 | 23 | 0.21 | 0.02 | 11 |
Таблица 2. Зависимость изотопного обмена дейтерия с протонами дофахина от времени и температуры при разных соотношениях D2O–кислота
Время, ч | Т, °С | Среднее ∑D | Выход, % | |
дофамин | хинон | |||
| ||||
2.0 | 60 | 0.59 | 0.13 | 29.8 |
4.0 | 0.91 | 0.15 | 19.5 | |
| ||||
2.0 | 60 | 1.07 | 0.81 | 2.1 |
4.0 | 1.18 | 0.43 | 0.6 | |
D2O–ТФУК (20 : 1) | ||||
2.0 | 60 | 0.18 | 0.02 | 66.0 |
4.0 | 0. 43 | 0.07 | 56.0 | |
D2O–ТФУК (1 : 1) | ||||
0.5 | 70 | 0.74 | 0.07 | 49.5 |
1.0 | 1.15 | 0.11 | 24.3 | |
3.0 | 1.84 | 0.20 | 3.7 | |
Таблица 3. Зависимость изотопного обмена дейтерия с протонами дофахина от времени и температуры при соотношении D2O–ТФУК (5 : 1)
Время, ч | Т, °С | Среднее ∑D | Выход, % | |
дофамин | хинон | |||
1.0 | 60 | 0.39 | 0.04 | 54.3 |
3.0 | 0.84 | 0.13 | 39.4 | |
4.0 | 0.92 | 0.14 | 29.7 | |
0.5 | 70 | 0.29 | 0.05 | 83.4.0 |
1.0 | 048 | 0.09 | 74.1 | |
3.0 | 1.58 | 0.28 | 27.2 | |
0.5 | 80 | 0.53 | 0.05 | 64.3 |
1.0 | 0.86 | 0.13 | 58.7 | |
3.0 | 1.85 | 0.39 | 18.5 | |
1.0 | 90 | 1. 43 | 0.13 | 7.1 |
2.0 | 1.67 | 0.09 | 2.0 | |
3.0 | 1.78 | 0.25 | 0.4 | |
Методика 1
Приготовление смеси 5% Pd/Al2O3–Al2O3–дофахин (5 : 20 : 1). Раствор 10 мг дофахина в 0.1 мл метанола добавляли к 200 мг Al2O3. Метанол удаляли упариванием на роторном испарителе и остаток лиофилизировали. Затем 50 мг 5% Pd/Al2O3 тщательно перетирали со смесью пептида и Al2O3.
Проведение твердофазной реакции.
а) 13 мг смеси 5% Pd/Al2O3–Al2O3–дофахин помещали в ампулу, которую вакуумировали до давления 0.1 Па, заполняли газообразным дейтерием до давления 400 гПа и выдерживали при комнатной температуре 10 и 18 ч. Избыток газообразного дейтерия удаляли вакуумированием. Вещество с катализатора экстрагировали метанолом (5 × 2 мл). Лабильный дейтерий удаляли несколько раз, растворяя вещество в метаноле (5 × 2 мл) и упаривая последний. Анализировали методами ВЭЖХ и масс-спектрометрии.
б) Смесь 5% Pd/Al2O3–Al2O3–дофахин (5 : 20 : 1) выдерживали при комнатной температуре в течении 1 ч в атмосфере газообразного дейтерия (давление 400 гПа). Затем газообразный дейтерий удаляли и заполняли реакционный сосуд аргоном. К насыщенной дейтерием смеси 5% Pd/Al2O3–Al2O3–дофахин (5 : 20 : 1) добавляли 0.2 мл дейтериевой воды или дейтериевой воды с трифторуксусной кислотой (соотношение 100 : 1) и выдерживали 0.5, 1, 2 ч при 70°С или 18 ч при 23°С. Затем обрабатывали, как описано выше.
Методика 2
а) Дофахин (1.4 мг) помещали в ампулу и растворяли в 0.4 мл дейтериевой воды с ДМФА (7 : 1), вносили CODIrF6Acac (1.4 мг):
1,1,1,5,5,5-Гексафторпентан-2,4-дионат циклоокта-1,5-диенилиридия(I) (CODIrF6Acac).
Ампулу запаивали и выдерживали 1, 2, 3 ч при 90°С или 18 ч при 23°С. Затем обрабатывали, как описано выше.
б) Дофахин (3.5 мг) помещали в ампулу и растворяли в 0.4 мл смеси дейтериевая вода–трифторуксусная кислота (соотношение 100 : 1), вносили CODIrF6Acac (1.6 мг). Реакцию вели 3 ч при 70°С и 18 ч при 23°С. Аналогично проводили реакцию при соотношении D2O : ТФУК 200 : 1, 3 ч при 70°С и D2O : ТФУК 5 : 1, 3 ч при 80°С. Затем обрабатывали, как описано выше.
Методика 3
а) Раствор дофахина (6.9 мг) в 0.7 мл смеси D2O–ТФУК (200 : 1) выдерживали при 125°С в течение 15 мин. Затем обрабатывали, как описано выше.
б) Раствор дофахина (6.0 мг) в 0.6 мл смеси D2O–6 N HCl (1 : 1) или D2O–ТФУК (1 : 1) выдерживали 5 ч при 60°С. Затем обрабатывали, как описано выше. Выход [D]дофахина в присутствии ТФУК – менее 2%, в присутствии HCl – менее 1%.
в) Дофахин (7.0 мг) растворяли 0.7 мл смеси дейтериевая вода–концентрированная соляная кислота (соотношение 1 : 1 или 9 : 1) и помещали в ампулы (по две каждого раствора). Ампулы заполняли аргоном, запаивали и грели в термостате при 60°С в течение 2 и 4 ч. Затем растворитель упаривали. Сухой остаток лиофилизировали и растворяли в метаноле для удаления лабильного дейтерия. Затем обрабатывали, как описано выше.
г) Дофахин (5.0 мг) растворяли 0.5 мл смеси D2O–ТФУК (20 : 1) или D2O–ТФУК (1 : 1) и помещали в ампулы. Ампулы заполняли аргоном, запаивали и грели в термостате первый раствор при 60°С в течение 2 и 4 ч, второй – при 70°С в течение 0.5, 1 и 3 ч. Затем растворитель упаривали. Сухой остаток лиофилизировали и растворяли в метаноле для удаления лабильного дейтерия. Затем обрабатывали, как описано выше.
д) Дофахин (24 мг) растворяли в 2.4 мл смеси D2O–ТФУК (5 : 1). По 0.2 мл раствора помещали в 12 ампул. Ампулы заполняли аргоном и запаивали. Реакцию вели при 60°С в течение 1, 3 и 4 ч, при 70°С в течение 0.5, 1 и 3 ч, при 80°С в течение 0.5, 1 и 3 ч, при 90°С в течение 1, 2 и 3 ч. Затем обрабатывали, как описано выше.
РЕЗУЛЬТАТЫ И ИХ ОБСУЖДЕНИЕ
Устойчивость хиноновых структур можно ожидать только при относительно мягких условиях проведения изотопного обмена с дейтерием. Все попытки провести изотопный обмен с газообразным дейтерием даже при комнатной температуре приводили к полной деградации вещества. Выход дофахина при изотопном обмене с дейтериевой водой при температурах выше 100°С также оказался неудовлетворительным. Так, при 125°С дофахин, растворенный в дейтериевой воде, практически полностью деградировал в течение 15 мин (выход 0.3%, среднее включение дейтерия 0.18 атома).
Для активизации изотопного обмена использовали катализаторы на основе иридия или палладия (5% Pd/Al2О3, 1,1,1,5,5,5-гексафторпентан-2,4-дионат циклоокта-1,5-диенилиридия(I)). Но оказалось, что в случае использования 5% Pd/Al2O3 без добавления кислоты дофахин быстро деградировал. Даже при комнатной температуре в растворе D2O дофахин в течение 18 ч претерпевал полное разрушение (перед добавлением D2O смесь 5% Pd/Al2O3–Al2O3–дофахин выдерживали в течение 1 ч в атмосфере газообразного дейтерия).
При проведении реакции в тех же условиях с использованием в качестве растворителя D2O–ТФУК (100 : 1) выход [D]дофахина оказался достаточным для его определения, но недостаточным для практического использования (табл. 1). При проведении реакции в смеси D2O–ТФУК (5 : 1) выход увеличился, но включение дейтерия осталось неудовлетворительным. При проведении реакции в смеси D2O–ТФУК (5 : 1) со смесью 5% Pd/Al2O3–Al2O3–дофахин (5 : 20 : 1) при 80°С в течение 0.5 и 1 ч среднее включение дейтерия в дофахин было менее одного атома на молекулу при высоком выходе (табл. 1). В дофамин включилось 92–93% дейтерия, хиноновый фрагмент содержал около 7–8% метки (табл. 1).
При использовании 1,1,1,5,5,5-гексафторпентан-2,4-дионата циклоокта-1,5-диенилиридия(I) (CODIrF6Acac) без ТФУК катализатор увеличивал устойчивость дофахина. В нейтральной среде даже при 90°С выход дофахина через 3 ч был выше 30%, но включение дейтерия составляло менее 0.1 атома на молекулу. При проведении реакции с этим катализатором в смеси дейтериевая вода–ТФУК при соотношении 5 : 1 и 70°С в течение 3 ч наблюдалось среднее включение дейтерия около 1.5 атомов на молекулу и выход около 30% (табл. 1). По-видимому, использование палладия или иридия в качестве катализатора в основном влияет на выход [D]дофахина, а изотопный обмен активируется кислотами (табл. 1).
Попытки добиться большего включения дейтерия за счет увеличения времени реакции оказалось непродуктивными. За 5 ч при 60°С в присутствии ТФУК выход становился ниже 2%, с HCl – ниже 1%. Проводить реакцию имеет смысл в течение не более 3–4 ч.
Таким образом, оказалось, что набор приемов для введения дейтерия в это соединение был весьма ограничен. Пришлось варьировать соотношение D2O–кислота, температуру в районе 23–90°С и время в диапазоне от 0.5 до 4 ч (табл. 2, 3). В качестве кислоты использовали ТФУК и HCl.
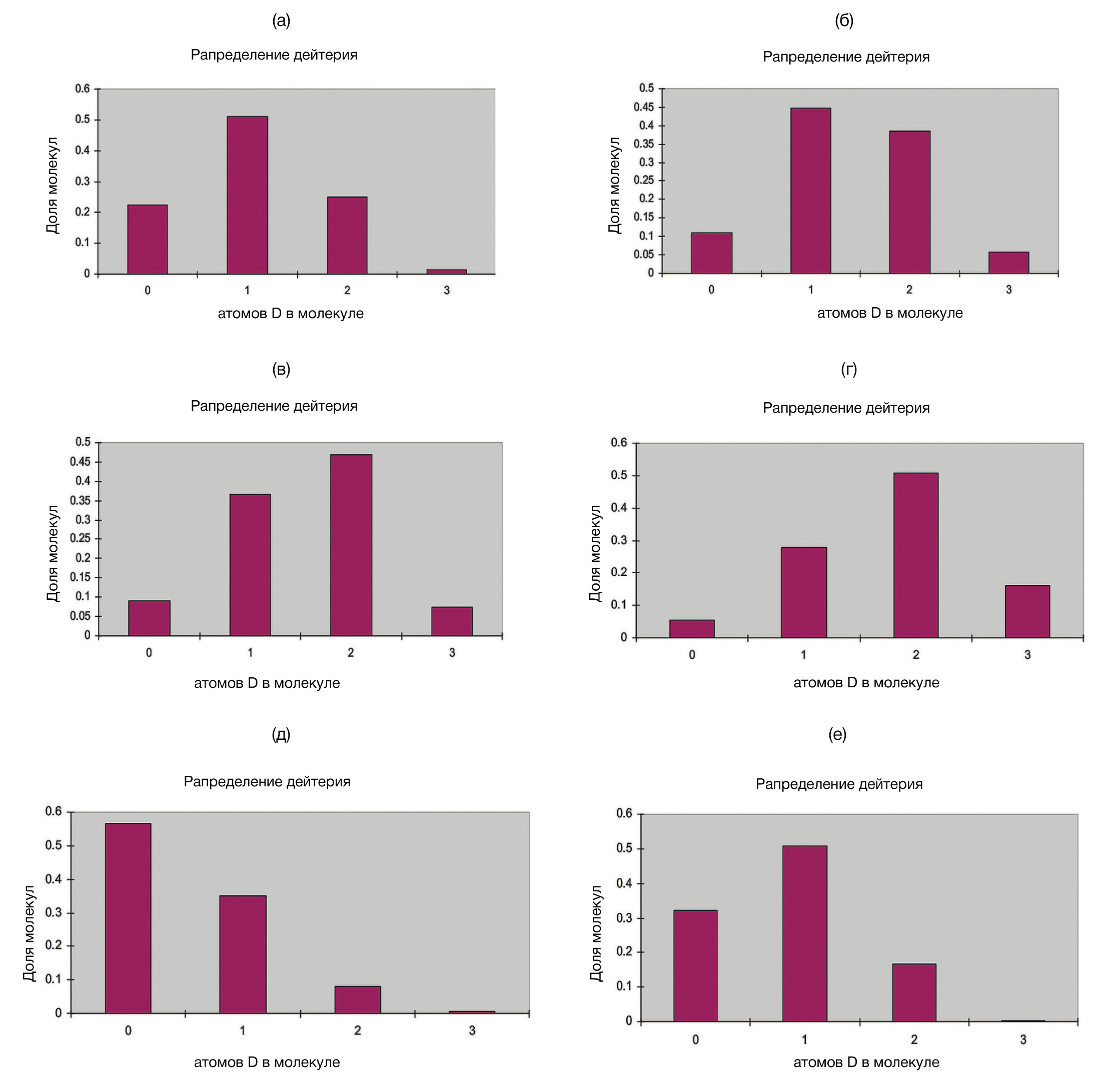
Проведенные исследования показали, что и выход, и включение дейтерия выше при использовании ТФУК (табл. 2). Повышение концентрации ТФУК меньше влияет на деградацию дофахина, чем использование HCl. Это позволило проводить изотопный обмен в присутствии ТФУК при более высокой температуре (табл. 2, 3). Повышение температуры не только активирует включения дейтерия, но и снижает содержание недейтерированного дофахина, что повышает точность измерений при биологических исследованиях методами масс-спектрометрии (рис. 1).
Рис. 1. Изотопомерный состав дофахина в зависимости от температуры (а, б, г), соотношения D2O : ТФУК (а, в) и времени реакции (б, д, е). а – 70°С, 3 ч, D2O : ТФУК 5 : 1; б – 80°С, 3 ч, D2O : ТФУК 5 : 1; в – 70°С, 3 ч, D2O : ТФУК 1 : 1; г – 90°С, 3 ч, D2O : ТФУК 5 : 1; д – 80°С, 0.5 ч, D2O : ТФУК 5 : 1; е – 80°С, 1 ч, D2O : ТФУК 5 : 1.
Как видно из рис. 1, при повышении температуры и увеличении времени реакции растет содержание изотопомеров с большим количеством атомов дейтерия, и только недостаточная стабильность дофахина не дает возможность получить препарат с бóльшим содержанием дейтерия. На то, что кислотный катализ инициирует изотопный обмен, указывает рост содержания изотопомеров с большим количеством дейтерия при добавлении большего количества ТФУК в реакционную смесь.
По масс-спектрометрическим данным, дофамин, образовавшийся при гидролизе [D]дофахина, содержал столько же дейтерия, что и дофаминовый фрагмент, связанный с дофахином. Следовательно, низкое количество метки определяется тем, что температура, при которой проводится изотопный обмен, недостаточна для эффективного введения дейтерия в дофамин (в отработанных условиях введения дейтерия основная часть метки в дофахине включается в дофамин) (табл. 1–3). При 190°С (30 мин, D2O : ТФУК 10 : 1) можно было ожидать включение в дофамин 2.5 атома дейтерия [12].
Интересно было проанализировать спектр изотопомеров при разных способах введения дейтерия (рис. 2).
Рис. 2. Спектр изотопомеров при введении дейтерия в дофахин (80°С, D2O : ТФУК 5 : 1): а – без катализатора; б – в присутствии CODIrF6Acac; в – в присутствии 5% Pd/Al2O3–Al2O3.
Из приведенных данных (рис. 2) следует, что при использовании D2O–ТФУК без катализатора остается наименьшее количество изотопомера, не содержащего дейтерий, а содержание изотопомеров с тремя, четырьмя и пятью атомами дейтерия в процентном содержании наибольшее. Оба эти фактора привлекательны в смысле использования в масс-спектрометрии. При использовании смеси 5% Pd/Al2O3–Al2O3–дофахин (5 : 20 : 1) наблюдается обратная картина. По-видимому, необходимая для стабилизации дофахина ТФУК в значительной степени дезактивирует катализатор.
Причина деградации дофахина при введении метки в основном связана с образованием целого ряда побочных продуктов, основным из которых является продукт гидролиза дофахина по амидной связи (рис. 3).
Рис. 3. Анализ на хроматографе Милихром А-02 реакционной смеси (первый обозначенный пик – время удерживания дофамина, второй – дофахина).
Препаративную очистку проводили с использованием колонки Reprosil-pur C18aq (20 × 150 мм, размер частиц 10 мкм) в системе метанол–вода–уксусная кислота (35 : 65 : 0.1), скорость подачи элюента 20 мл/мин.
Таким образом, можно считать оптимальным использование смеси дейтериевая вода–ТФУК в соотношении 5 : 1 и проведение реакции при 80°С в течение 3 ч. Среднее включение дейтерия при этом около 2 атомов на молекулу, выход – около 20% (табл. 3).
Финансирование работы
Работа выполнена в рамках госзадания по плану НИОКР НИЦ “Курчатовский институт”.
Конфликт интересов
Авторы заявляют об отсутствии конфликта интересов.
About the authors
V. P. Shevchenko
National Research Centre Kurchatov Institute
Email: nagaev.img@yandex.ru
Russian Federation, Moscow
I. Yu. Nagaev
National Research Centre Kurchatov Institute
Author for correspondence.
Email: nagaev.img@yandex.ru
Russian Federation, Moscow
K. V. Shevchenko
National Research Centre Kurchatov Institute
Email: nagaev.img@yandex.ru
Russian Federation, Moscow
N. F. Myasoedov
National Research Centre Kurchatov Institute
Email: nagaev.img@yandex.ru
Russian Federation, Moscow
References
- Гюнтер Х. Введение в курс спектроскопии ЯМР. М.: Мир, 1984. 478 с.
- Pajak M., Kanska M. // J. Label. Compd. Radiopharm. 2006. Vol. 49. N 12. P. 1061–1067. https://doi.org/10.1002/jlcr.1123
- Kozlowska M., Kanski R., Kanska M. // J. Label. Compd. Radiopharm. 2005. Vol. 48. N 3. P. 235–240. https://doi.org/10.1002/jlcr.919
- Gerdes G., Chen P. // Organometallics. 2004. Vol. 23. N 12. P. 3031–3036. https://doi.org/10.1021/om030685m
- Ziatdinov V.R., Oxgaard J., Mironov O.A., Young K.J.H., Goddard W.A., Periana R.A. // J. Am. Chem. Soc. 2006. Vol. 128. N 23. P. 7404–7405. https://doi.org/10.1021/ja060973k
- Lockley W.J.S. // J. Label. Compd. Radiopharm. 2010. Vol. 53. N 11–12. P. 668–673. https://doi.org/10.1002/jlcr.1806
- Kingston L.P., Lockley W.J.S., Mather A.N., Spink E., Thompson S.P., Wilkinson D.J. // Tetrahedron Lett. 2000. Vol. 41. N 15. P. 2705–2708. https://doi.org/10.1016/S0040-4039(00)00244-6
- Di Giuseppe A., Castarlenas R., Perez-Torrente J.J., Lahoz F.J., Polo V., Oro L.A. // Angew. Chem. Int. Ed. 2011. Vol. 50. N 17. P. 3938–3942. https://doi.org/10.1002/anie.201007238
- Di Giuseppe A., Castarlenas R., Perez-Torrente J.J., Lahoz F.J., Oro L.A. // Chem. Eur. J. 2014. Vol. 20. N 27. P. 8391–8403. https://doi.org/10.1002/chem.201402499
- Evchenko S.V., Kamounah F.S., Schaumburg K. // J. Label. Compd. Radiopharm. 2005. Vol. 48. N 3. P. 209–218. https://doi.org/10.1002/jlcr.916
- Куликова О.И., Стволинский С.Л., Федорова Т.Н., Адаева О.И., Демчук Д.В., Семенов В.В. Патент RU 2814111. Опубл. 22.02.2024 // Б.И. 2024. № 6.
- Shevchenko V.P., Nagaev I.Yu., Myasoedov N.F. // Radiochemistry. 2024. Vol. 66. N 3. P. 372–376. https://doi.org/10.1134/S1066362224030111
Supplementary files







