Investigation of Characteristics of Electromagnetic Bandgap (EBG) Waveguide in Electromagnetic Crystal with Capacitive Cylinders
- Авторлар: Kalinichev V.I.1, Frolova E.V.1, Bankov S.E.1
-
Мекемелер:
- Kotelnikov Institute of Radio Engineering and Electronics, Russian Academy of Sciences
- Шығарылым: Том 68, № 1 (2023)
- Беттер: 13-21
- Бөлім: ELECTRODYNAMICS AND RADIO WAVE PROPAGATION
- URL: https://journal-vniispk.ru/0033-8494/article/view/138032
- DOI: https://doi.org/10.31857/S0033849423010060
- EDN: https://elibrary.ru/CCUXBY
- ID: 138032
Дәйексөз келтіру
Толық мәтін
Аннотация
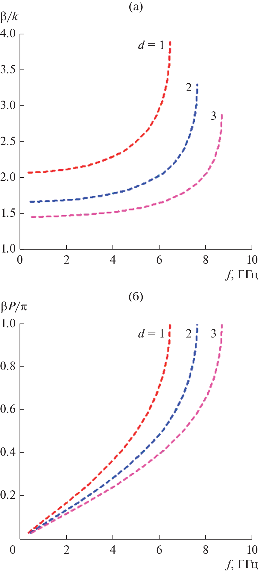
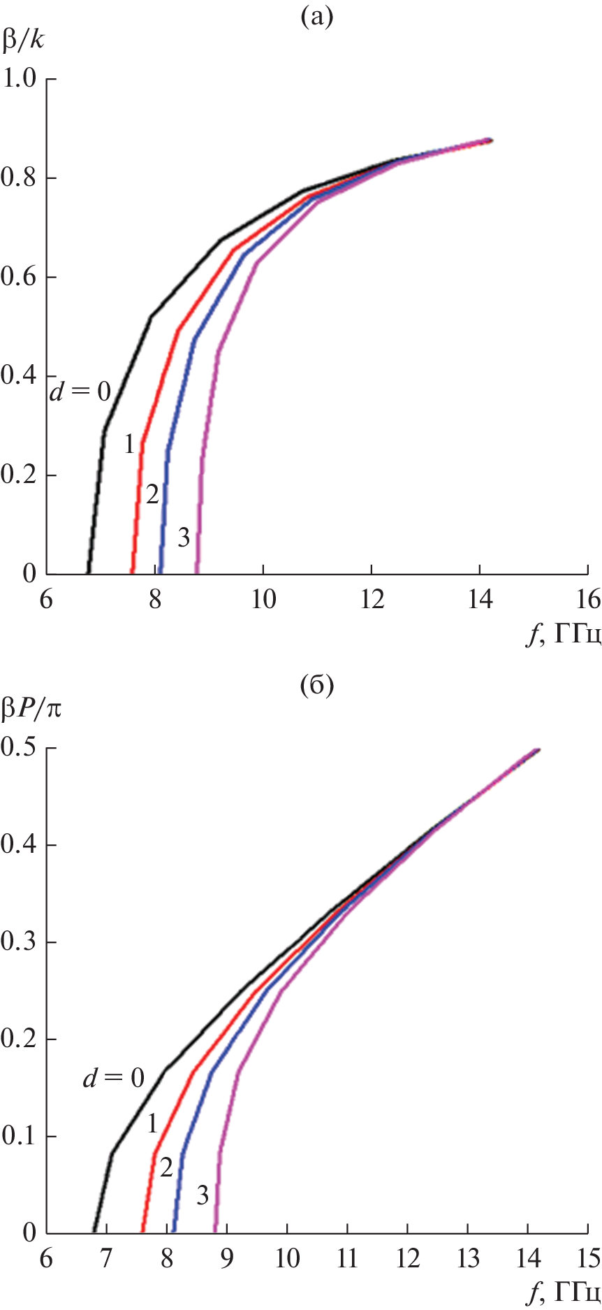
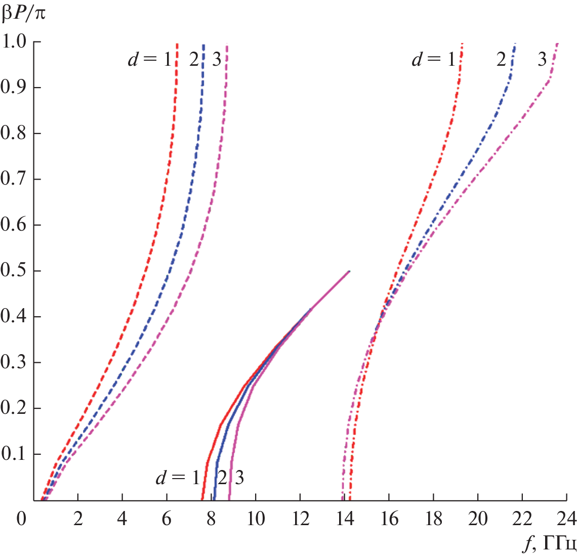
Electromagnetic bandgap (EBG) waveguides formed in a two-dimensionally periodic lattice of capacitive metal cylinders located between two metal screens are considered. The cylinders have a gap between one of the ends and the screen. It is shown that the lower critical frequencies of such waveguides are shifted upwards in comparison with the corresponding waveguide in the array of solid cylinders, which is dueto the possibility of slow waves propagating in the array in the first zone of its transparency. The critical wave frequencies in the second transparency zone of the capacitive grating are lower than in the grating of solid cylinders. The dependences of the dispersion diagrams and the damping of the main wave on the gap are studied.It is shown that, in most of the operating range, the dispersion curves and attenuation characteristics are practically
the same as for a waveguide without gaps in the walls. The problem of excitation of an EBG waveguide in a capacitive grating by a standard metal waveguide is solved, and the level of their matching in the frequency band is calculated depending on the size of the gap. The working band of the EBG waveguide for different grating periods is determined taking into account the required level of matching and the limitation from above by the highest wave type of the metal waveguide. It is shown that its maximum value is reached at a certain
period depending on the size of the gap.
Авторлар туралы
V. Kalinichev
Kotelnikov Institute of Radio Engineering and Electronics, Russian Academy of Sciences
Email: sbankov@yandex.ru
Moscow, 125009 Russia
E. Frolova
Kotelnikov Institute of Radio Engineering and Electronics, Russian Academy of Sciences
Email: sbankov@yandex.ru
Moscow, 125009 Russia
S. Bankov
Kotelnikov Institute of Radio Engineering and Electronics, Russian Academy of Sciences
Хат алмасуға жауапты Автор.
Email: sbankov@yandex.ru
Moscow, 125009 Russia
Әдебиет тізімі
- Банков С.Е. Электромагнитные кристаллы. М.: Физматлит, 2010.
- Банков С.Е., Пангонис Л.И., Фролова Е.В. // РЭ. 2010. Т. 55. № 11. С. 1285.
- Bankov S.E. // PIERS Proc. Moscow. Russia. August 18–21. 2009. P. 1680.
- Банков С.Е., Калошин В.А., Фролова Е.В. // Журн. радиоэлектроники. 2009. № 3. http://jre.cplire.ru/ jre/mar09/1/text.html.
- Банков С.Е., Калиничев В.И., Фролова Е.В. // РЭ. 2020. Т. 65. № 9. С. 852.
- Банков С.Е., Калиничев В.И., Фролова Е.В. // РЭ. 2020. Т. 65. № 10. С. 951.
- Банков С.Е., Калиничев В.И., Фролова Е.В. // РЭ. 2020. Т. 65. № 11. С. 1043.
- Rajo-Iglesias E., Kildal P.-S. // Proc. Fourth European Conf. Antennas and Propagation. Barcelona 12–16 Apr. 2010. N.Y.: IEEE, 2010. Article № 887.
- Kildal P.-S. // Proc. 2009 3rd European Conf. Antennas and Propagation (EuCAP). Berlin. 23–27 Mar. N.Y.: IEEE, 2009. P. 28.
- Банков С.Е., Калошин В.А. // РЭ. 2010. Т. 55. № 4. С. 415.
- Банков С.Е., Калиничев В.И., Фролова Е.В. // РЭ. 2019. Т. 64. № 9. С. 855.
- Банков С.Е., Калиничев В.И., Фролова Е.В. // РЭ. 2020. Т. 65. № 6. С. 523.
- Xu F., Patrovsky A., Wu K. // Microwave Opt. Technol. Lett. 2007. V. 49. № 9. P. 2180.
Қосымша файлдар













