Simulation and Experimental Study of a Linear Bifocal Antenna Array
- Авторлар: Bankov S.E.1, Frolova E.V.1, Kalinichev V.I.1
- 
							Мекемелер: 
							- Kotel’nikov Institute of Radio Engineering and Electronics, Russian Academy of Sciences
 
- Шығарылым: Том 68, № 1 (2023)
- Беттер: 44-54
- Бөлім: АНТЕННО-ФИДЕРНЫЕ СИСТЕМЫ
- URL: https://journal-vniispk.ru/0033-8494/article/view/138036
- DOI: https://doi.org/10.31857/S0033849423010011
- EDN: https://elibrary.ru/CCCGFN
- ID: 138036
Дәйексөз келтіру
Толық мәтін
Аннотация
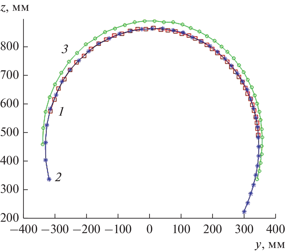
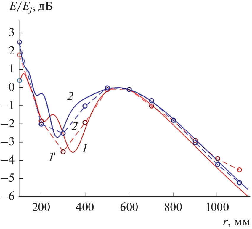
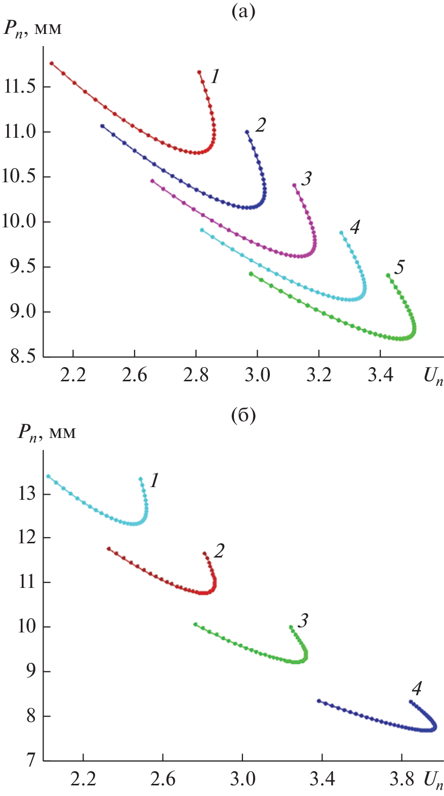
A leaky-wave bifocal linear array focused in the Fresnel zone is considered. The structural parameters provide perfect focusing of the field at two points corresponding to two different frequencies. An approximate theory of antenna arrays is used to analyze the bifocal array, to study the shape of the frequency scanning arc, and to determine the field distribution in the focal spot. An electrodynamic simulation is performed for a strip array with slotted radiators. The scattering parameters of the array and its radiation characteristics
are presented. The design features of a strip antenna that suppress the effect of normal are discussed. The results of an experimental study of a strip bifocal array are presented. The possibility of implementation of a symmetrical scanning arc and a relatively low level of optical aberrations is shown.
Негізгі сөздер
Авторлар туралы
S. Bankov
Kotel’nikov Institute of Radio Engineering and Electronics, Russian Academy of Sciences
														Email: sbankov@yandex.ru
				                					                																			                												                								Moscow, 125009 Russia						
E. Frolova
Kotel’nikov Institute of Radio Engineering and Electronics, Russian Academy of Sciences
														Email: sbankov@yandex.ru
				                					                																			                												                								Moscow, 125009 Russia						
V. Kalinichev
Kotel’nikov Institute of Radio Engineering and Electronics, Russian Academy of Sciences
							Хат алмасуға жауапты Автор.
							Email: sbankov@yandex.ru
				                					                																			                												                								Moscow, 125009 Russia						
Әдебиет тізімі
- Buffi A., Serra A., Nepa P., Chou H., Manara G. // IEEE Trans. 2010. V. AP-58. № 5. P. 1536.
- Nguyen P.T., Abbosh A.M., Crozier S. // IEEE Trans. 2017. V. AP-6. № 7. P. 3489.
- Tofigh F., Nourinia J., Azarmanesh M.N., Khazaei K.M. // IEEE Antennas Wireless Propag. 2014. V. 13. № 5. P. 951.
- Stephan K.D., Mead J.B., Pozar D.M. et al. // IEEE Trans. 2007. V. AP-55. № 4. P. 1199.
- Bogosanovic M., Williamson A.G. // IEEE Trans. 2007. V. IM-56. № 12. P. 2186.
- Li P.-F., Qu S.-W., Yang S., Nie Z.-P. // IEEE Trans. 2007. V. AP-65. № 9. P. 4607.
- Ohtera I. // IEEE Trans. 1990. V. AP-38. № 1. P. 121.
- Ettorre M., Casaletti M., Valerio G. et al. // IEEE Trans. 2014. V. AP-62. № 4. P. 1991.
- Gómez-Tornero J.L., Quesada-Pereira F., Alvarez-Melcón A. et al. // IEEE Trans. 2011. V. AP-59. № 2. P. 407.
- Martínez-Ros J., Gómez-Tornero J.L., Clemente-Fernández F.J., Monzó-Cabrera J. // IEEE Trans. 2013. V. AP-61. № 6. P. 2981.
- Банков С.Е., Калошин В.А., Фролова Е.В. // РЭ. 2016. V. 61. № 6. P. 547.
- Kalinichev V.I., Kaloshin V.A., Frolova E.V. // Conf. Proc. 2017 Radiation and Scattering of Electromagnetic Waves (RSEMW). Divnomorskoe. 26–30 Jun. N.Y.: IEEE, 2017. P. 25.
- Yurduseven O., Marks D.L., Fromenteze T., Smith D. // Opt. Express. 2018. V. 26. № 5. P. 5281.
- Bankov S.E., Frolova E.V., Kalinichev V.I. // Proc. 2019 Antennas Design and Measurement Int. Conf. (ADMInC) Saint-Petersberg. 16–18 Oct. 2019. St. Petersburg. N.Y.:IEEE, 2019. P. 90.
- Buffi A., Nepa P., Manara G. // IEEE Antennas Propag. Mag. 2012. V. 54. № 2. P. 40.
- Банков С.Е. Антенные решетки с последовательным питанием. М.: Физматлит, 2013.
Қосымша файлдар
 
				
			 
						 
					 
						 
						 
						 
									
 
  
  
  Мақаланы E-mail арқылы жіберу
			Мақаланы E-mail арқылы жіберу 


















