Autonomous System for Energy Collection and Conversion Based on a Biofuel Cell
- Authors: Kolesov V.V.1, Smirnov A.V.1, Serebrov M.M.1, Kashin V.V.1, Plekhanova Y.V.2, Reshetilov A.N.2
-
Affiliations:
- Kotelnikov Institute of Radio Engineering and Electronics, Russian Academy of Sciences
- Skryabin Institute of Biochemistry and Physiology of Microorganisms, Pushchino Scientific Center for Biological Research, Russian Academy of Sciences
- Issue: Vol 68, No 2 (2023)
- Pages: 202-208
- Section: NEW ELECTRONIC SYSTEMS AND ELEMENTS
- URL: https://journal-vniispk.ru/0033-8494/article/view/138124
- DOI: https://doi.org/10.31857/S0033849423020109
- EDN: https://elibrary.ru/LCSQOW
- ID: 138124
Cite item
Full Text
Abstract
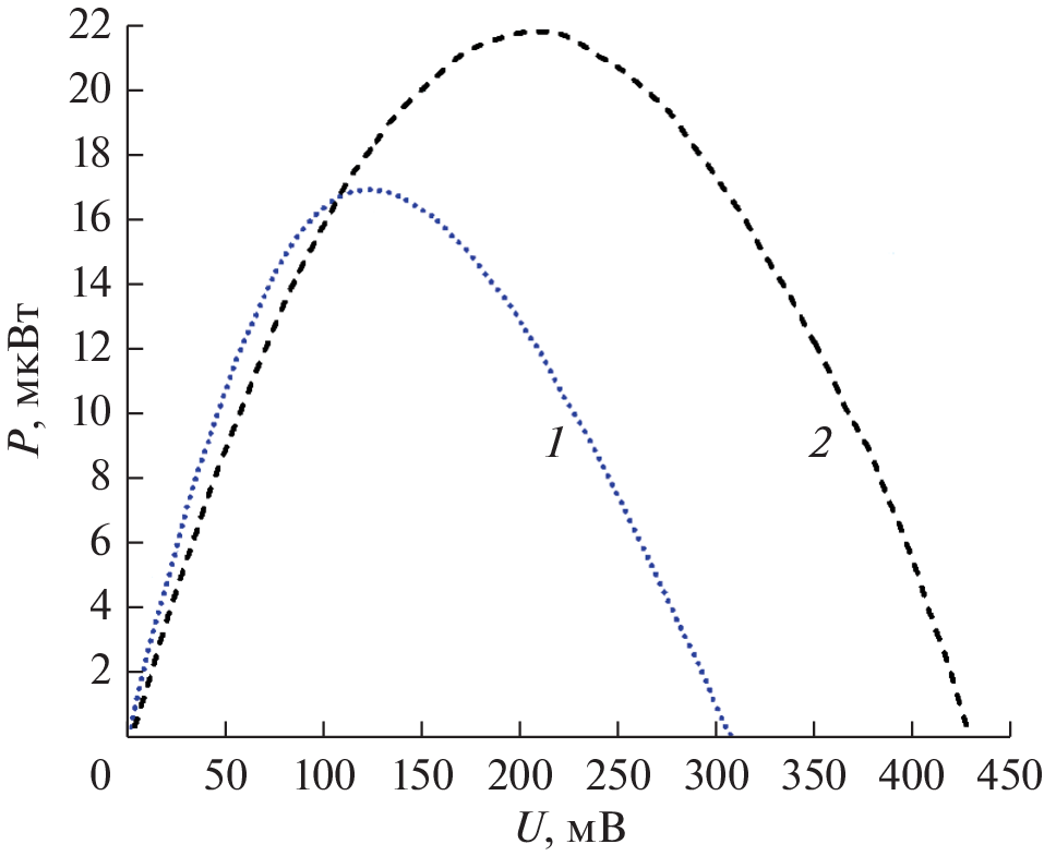
Functioning of a prototype of a micropower system (energy storage device) consisting of a biofuel cell (BFC) and converter–capacitor is demonstrated. The system allows conversion of a low input voltage from an unstable energy source to a standard working voltage used in radio equipment. For the series connection of two biofuel cells, the voltage is summed up and amounts to ~500 mV, and the output storage capacitor of 100 μF is charged in 13 min to a working voltage of 3.1 V upon a cold start of the converter. It is shown that energy storage substantially depends on the capacitance of the final storage unit and on the type of energy consumption. The proposed system can be used for different unstable energy sources.
About the authors
V. V. Kolesov
Kotelnikov Institute of Radio Engineering and Electronics, Russian Academy of Sciences
Email: andre-smirnov-v@yandex.ru
Moscow, 125009 Russia
A. V. Smirnov
Kotelnikov Institute of Radio Engineering and Electronics, Russian Academy of Sciences
Email: andre-smirnov-v@yandex.ru
Moscow, 125009 Russia
M. M. Serebrov
Kotelnikov Institute of Radio Engineering and Electronics, Russian Academy of Sciences
Email: andre-smirnov-v@yandex.ru
Moscow, 125009 Russia
V. V. Kashin
Kotelnikov Institute of Radio Engineering and Electronics, Russian Academy of Sciences
Email: andre-smirnov-v@yandex.ru
Moscow, 125009 Russia
Yu. V. Plekhanova
Skryabin Institute of Biochemistry and Physiology of Microorganisms, Pushchino Scientific Center for Biological Research, Russian Academy of Sciences
Email: andre-smirnov-v@yandex.ru
Pushchino, Moscow oblast, 142290 Russia
A. N. Reshetilov
Skryabin Institute of Biochemistry and Physiology of Microorganisms, Pushchino Scientific Center for Biological Research, Russian Academy of Sciences
Author for correspondence.
Email: andre-smirnov-v@yandex.ru
Pushchino, Moscow oblast, 142290 Russia
References
- Iliev N., Paprotny I. // IEEE Sensors J. 2015. V. 15. № 10. P. 5971. https://doi.org/10.1109/JSEN.2015.2450742
- De Souza R., Casisi M., Micheli D., Reini M. // Energies. 2021. V. 14. № 17. P. 5338. https://doi.org/10.3390/en14175338
- Mitcheson P.D., Yeatman E.M., Rao G.K. et al. // Proc. IEEE. 2008. V. 96. P. 1457. https://doi.org/10.1109/JPROC.2008.927494
- Roy S., Tiang J.J., Roslee M.B. et al. // Sensors. 2022. № 22. P. 424. https://doi.org/10.3390/s22020424
- Mosch M., Fischerauer G., Hoffmann D. // Sensors. 2020. № 20. P. 2519. https://doi.org/10.3390/s20092519
- Paulraj I., Liang T.-F., Yang T.-S. et al. // ACS Appl. Materials & Interfaces. 2021. V. 13. № 36. P. 42977. https://doi.org/10.1021/acsami.1c13968
- Wang X.D. // Nano Energy. 2012. V. 1. № 1. P. 13. https://doi.org/10.1016/j.nanoen.2011.09.001
- Sivasubramanian R., Vaithilingam C.A., Indira S.S. et al. // Mater. Today Energy. 2021. V. 20. P. 100772. https://doi.org/10.1016/j.mtener.2021.100772
- Vullers R.J.M., van Schaijk R., Doms I. et al. // Solid-State Electronics. 2009. V. 53. № 7. P. 684. https://doi.org/10.1016/j.sse.2008.12.011
- Смирнов А.В., Горбачев И.А., Горбунова А.В. и др. // Радиоэлектроника. Наносистемы. Информационные технологии. 2020. Т.12. № 3. С. 313. https://doi.org/10.17725/rensit.2020.12.313
- Bullen R.A., Arnot T.C., Lakeman J.B., Walsh F.C. // Biosensors and Bioelectronics. 2006. V. 21. № 15. P. 2015. https://doi.org/10.1016/j.bios.2006.01.030
- Zheng S., Tang J., Lv D. et al. // Adv. Mater. 2022. V. 34. № 4. P. 2106410. https://doi.org/10.1002/adma.202106410
- Armstrong T. // Electronics World. 2010. V. 116. № 1894. P. 26.
- Wang H., Jasim A., Chen X. // Appl. Energy. 2018. V. 212. P. 1083. https://doi.org/10.1016/j.apenergy.2017.12.125
- Бабенко В.П., Битюков В.К. // РЭ. 2021. Т. 66. № 9. С. 907. https://doi.org/10.31857/S0033849421090023
- Вольфкович Ю.М. // Электрохимия. 2021. Т. 57. № 4. С. 197. https://doi.org/10.31857/S0424857021040101
- Решетилов А.Н. // Прикладная биохимия и микробиология. 2015. Т. 51. № 2. С. 268. https://doi.org/10.7868/S055510991502018X
- Willner I., Yan Y.-M., Willner B., Tel-Vered R. // Fuel Cells. 2009. V. 9. № 1. P. 7. https://doi.org/10.1002/fuce.200800115
- Reshetilov A.N., Plekhanova Y.V., Tarasov S.E. et al. // Appl. Biochemistry Microbiology. 2017. V. 53. № 1. P. 123. https://doi.org/10.1134/S0003683817010161
- Hanxun Qiu, Xuebin Han, Feilong Qiu et al. // Appl. Surface Sci. 2016. V. 376. P. 261. https://doi.org/10.1016/j.apsusc.2016.03.018
- Cheng L., Li X.-J., Li J. et al. // New Carbon Mater. 2020. V. 36. № 6. P. 684. https://doi.org/10.1016/S1872-5805(20)60522-4
- Wang Y.-H., Qiu H.-X., Wang Z. et al. // New Carbon Mater. 2015. V. 30. № 3. P. 214. https://doi.org/10.1016/j.carbon.2015.06.045
- Reshetilov A.N., Kitova A.E., Tarasov S.E. et al. // Radioelektronika, Nanosistemy, Informacionnye Tehnologii. 2020. V. 12. № 4. P. 471. https://doi.org/10.17725/rensit.2020.12.471
- Gorshenev V.N., Bibikov S.B., Novikov Yu.N. // Rus. J. Appl. Chem. 2003. V. 76. № 4. P. 603.
- Plekhanova Yu., Tarasov S., Kolesov V. et al. // Membranes. 2018. V. 8. № 4. P. 99. https://doi.org/10.3390/membranes8040099
Supplementary files









