Intrinsic Stimulated Intense Picosecond Emission in the Amplification Saturation Mode and the “Threshold” State of Electron-Hole Plasma in the AlxGa1 – xAs–GaAs–AlxGa1 – xAs Heterostructure
- Authors: Ageeva N.N.1, Bronevoi I.L.1, Krivonosov A.N.1
-
Affiliations:
- Kotelnikov Institute of Radio Engineering and Electronics, Russian Academy of Sciences
- Issue: Vol 68, No 3 (2023)
- Pages: 211-248
- Section: ОБЗОР
- URL: https://journal-vniispk.ru/0033-8494/article/view/138134
- DOI: https://doi.org/10.31857/S0033849423030014
- EDN: https://elibrary.ru/ICCPIP
- ID: 138134
Cite item
Full Text
Abstract
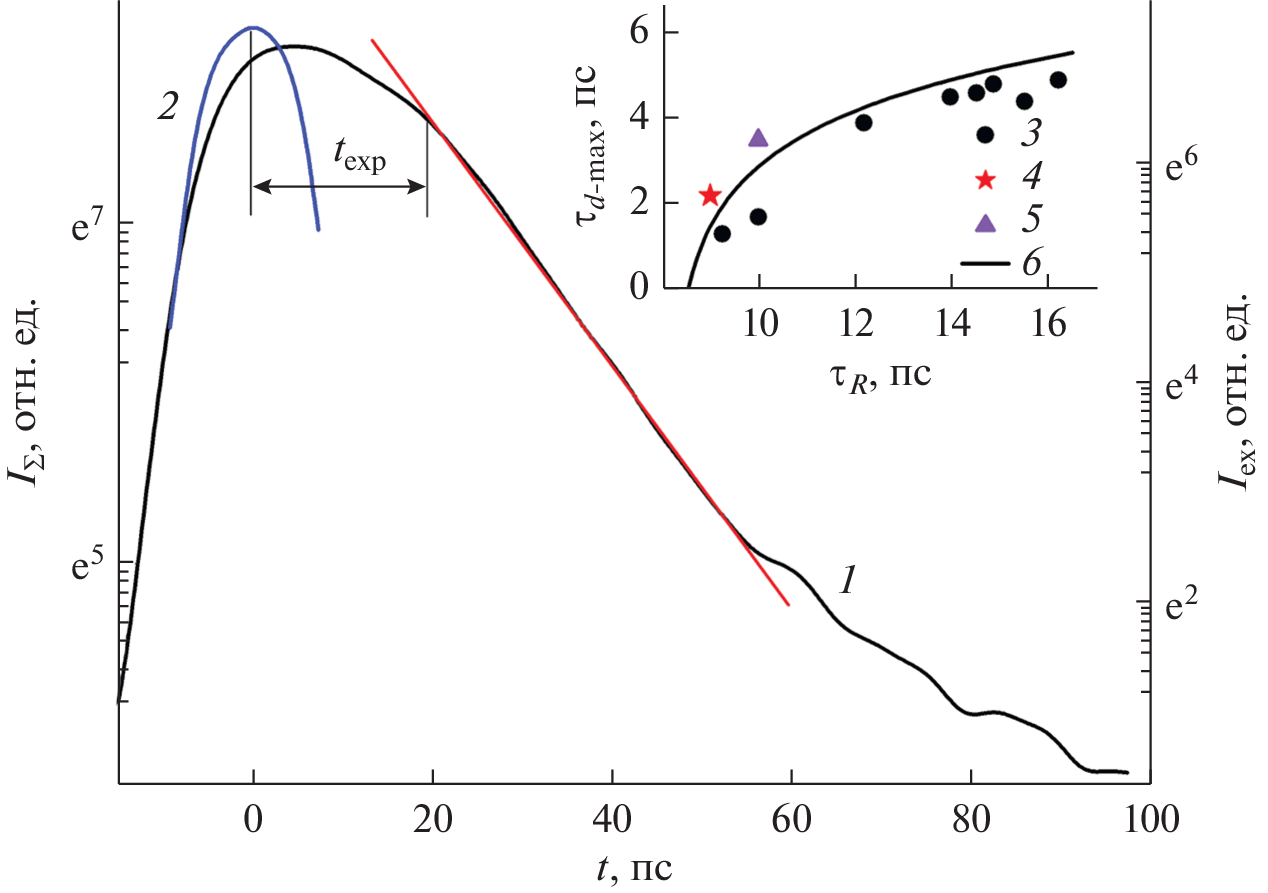
The review presents the third part of the experimental study of emission and the optoelectronic effects excited by it. At the beginning of a powerful optical picosecond pumping of the GaAs layer of the AlxGa1 – xAs–GaAs–AlxGa1 – xAs heterostructure, a picosecond emission has occurred in it. It has been
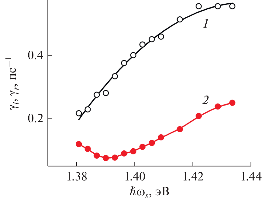
experimentally proved that this is enhanced spontaneous (stimulated) emission with the propagation specifics in the heterostructure. It has been shown that the electron–hole plasma is maintained in a “threshold” state with an inversion of the electron population in a narrow energy range because of high emission intensity. In this regard, the electron temperature and therefore, their distribution between valleys, etc., becomes uniquely related to their density. It has been found that limiting the inversion meant the emission amplification saturation when the amplification is limited by the energy transport of charge carriers to the levels from which they are forced to recombine. It has been determined that the transport being slowed down by the heating of carriers because of their interaction with emission determines the dynamics of the emission as a whole and its spectral components when the temperature of the carriers is related to their density.
About the authors
N. N. Ageeva
Kotelnikov Institute of Radio Engineering and Electronics, Russian Academy of Sciences
Email: bil@cplire.ru
Moscow, 125009 Russia
I. L. Bronevoi
Kotelnikov Institute of Radio Engineering and Electronics, Russian Academy of Sciences
Email: bil@cplire.ru
Moscow, 125009 Russia
A. N. Krivonosov
Kotelnikov Institute of Radio Engineering and Electronics, Russian Academy of Sciences
Author for correspondence.
Email: bil@cplire.ru
Moscow, 125009 Russia
References
- Ageeva N.N., Bronevoi I.L., Kumekov S.E. et al. // Proc. SPIE. 1992. V. 1842. P. 70.
- Агеева Н.Н., Броневой И.Л., Кривоносов А.Н. и др. // Известия РАН. Сер. Физическая. 1994. Т. 58. № 7. С. 89.
- Агеева Н.Н., Броневой И.Л., Кривоносов А.Н. // ЖЭТФ. 2022. Т. 162. № 6. С. 1018.
- Звелто О. Принципы лазеров. CПб.: Лань, 2008.
- Casperson L.W. // J. Appl. Phys. 1977. V. 48. № 1. P. 256.
- Соловьев В.Д. Физика лазеров. Текст лекций (4‑й курс). СПб.: СПб гос. политех. ун-т, 2012. http://elib.spbstu.ru/dl/2313.pdf/download/2313.pdf.
- Калафати Ю.Д., Кокин В.А. // ЖЭТФ. 1991. Т. 99. № 6. С. 1793.
- Броневой И.Л., Гадонас Р.А., Красаускас В.В. и др.// Письма в ЖЭТФ. 1985. Т.42. № 8. С. 322.
- Грибковский В.П. Теория поглощения и испускания света в полупроводниках. Минск: Наука и техника, 1975.
- Броневой И.Л., Кумеков С.Е., Перель В.И. // Письма в ЖЭТФ. 1986. Т. 43. № 8. С. 368.
- Hulin D., Joffre M., Migus A. et al. // J. de Physique Colloques. 1987. V. 48. № C5. P. 267.
- Fox A.M., Manning R.J., Miller A. // J. Appl. Phys. 1989. V. 65. № 11. P. 4287.
- Ageeva N.N., Bronevoi I.L., Dyadyushkin E.G. et al. // Sol. Stat. Commun. 1989. V. 72. № 7. P. 625.
- Агеева Н.Н., Броневой И.Л., Дядюшкин Е.Г., Явич Б.С. // Письма в ЖЭТФ. 1988. Т. 48. № 5. С. 252.
- Агеева Н.Н., Броневой И.Л., Забегаев Д.Н., Кривоносов А.Н. // ЖЭТФ. 2013. Т. 143. № 4. С. 634.
- Агеева Н.Н., Броневой И.Л., Забегаев Д.Н., Кривоносов А.Н. // ФТП. 2020. Т. 54. № 1. С. 25.
- Ландсберг Г.С. Оптика. М.: Физматлит, 2003.
- Агеева Н.Н., Броневой И.Л., Забегаев Д.Н. и др. // ПТЭ. 2011. № 4. С. 108.
- Агеева Н.Н., Броневой И.Л., Забегаев Д.Н., Кривоносов А.Н. // Журн. радиоэлектроники. 2018. № 11. http://jre.cplire.ru/jre/nov18/13/text.pdf.
- Агеева Н.Н., Броневой И.Л., Забегаев Д.Н., Кривоносов А.Н. // ЖЭТФ. 2013. Т. 144. № 2. С. 227.
- Агеева Н.Н., Броневой И.Л., Забегаев Д.Н., Кривоносов А.Н. // ФТП. 2020. Т. 54. № 10. С. 1018.
- Семенов Н.А. Техническая электродинамика. М.: Связь, 1973.
- Агеева Н.Н., Броневой И.Л., Кривоносов А.Н. и др. // ФТП. 2002. Т. 36. № 2. С. 144.
- Goebel E.O., Hildebrand O., Lohnert K. // IEEE J. Quantum Electron. 1977. V. 13. № 10. P. 848.
- Бонч-Бруевич В.Л., Калашников С.Г. Физика полупроводников. М.: Наука, 1981.
- Броневой И.Л., Кривоносов А.Н. // ФТП. 1998. Т. 32. № 5. С. 537.
- Агеева Н.Н., Броневой И.Л., Забегаев Д.Н., Кривоносов А.Н. // ФТП. 2021. Т. 55. № 2. С. 121.
- Shah J., Leheny R.F., Lin C. // Sol. Stat. Commun. 1976. V. 18. № 8. P. 1035.
- Агеева Н.Н., Броневой И.Л., Забегаев Д.Н., Кривоносов А.Н. // ФТП. 2017. Т. 51. № 5. С. 594.
- Агеева Н.Н., Броневой И.Л., Забегаев Д.Н., Кривоносов А.Н. // ФТП. 2022. Т. 56. № 3. С. 307.
- Агеева Н.Н., Броневой И.Л., Забегаев Д.Н., Кривоносов А.Н. // ФТП. 2012. Т. 46. № 7. С. 944.
- Агеева Н.Н., Броневой И.Л., Кривоносов А.Н. и др. // ФТП. 2007. Т. 41. № 12. С. 1418.
- Броневой И.Л., Кривоносов А.Н. // ФТП. 1998. Т. 32. № 5. С. 542.
- Stern F. // J. Appl. Phys. 1976. V. 47. № 12. P. 5382.
- Агеева Н.Н., Броневой И.Л., Кривоносов А.Н. // ФТП. 2001. Т. 35. № 1. С. 65.
- Агеева Н.Н., Броневой И.Л., Забегаев Д.Н., Кривоносов А.Н. // ФТП. 2019. Т. 53. № 11. С. 1471.
- Ageeva N.N., Borisov V.B., Bronevoi I.L. et al. // Sol. Stat. Commun. 1990. V. 75. № 3. P. 167.
- Ageeva N.N., Bronevoi I.L., Mironov V.A. et al. // Sol. Stat. Commun. 1992. V. 81. № 12. P. 969.
- Olego D., Cardona M. // Phys. Rev. B. 1980. V. 22. № 2. P. 886.
- Tarucha S., Kobayashi H., Horikoshi Y., Okamoto H. // Japan J. Appl. Phys. 1984. V. 23. № 7R. P. 874.
- Райс Т., Хенсел Дж., Филлипс Т., Томас Г. Электронно-дырочная жидкость в полупроводниках. М.: Мир, 1980.
- Теория неоднородного электронного газа / Под ред. С. Лундквиста и Н. Марча. М.: Мир, 1995.
- Combescot M., Noziers P. // J. Phys. C. 1972. V. 5. № 17. P. 2369.
- Blakemore J.S. // J. Appl. Phys. 1982. V. 53. № 10. P. R123.
- Кейси Х., Паниш М. Лазеры на гетероструктурах. М.: Мир, 1981.
- Casey Jr. H.C., Stern F. // J. Appl. Phys. 1976. V. 47. № 2. P. 631.
- Sernelius B.E. // Phys. Rev. B. 1986. V. 33. № 12. P. 8582.
- Camassel J., Auvergne D., Mathieu H. // J. Appl. Phys. 1975. V. 46. № 6. P. 2683.
- Tomita A., Suzuki A. // IEEE J. Quantum Electron. 1987. V. 23. № 7. P.1155.
- Bronevoi I.L., Krivonosov A.N., Perel’ V.I. // Sol. Stat. Commun. 1995. V. 94. № 5. P. 363.
- Бломберген Н. // Успехи физ. наук. 1969. Т. 97. № 2. С. 307.
- Платцман Ф., Вольф П. // Волны и взаимодействия в плазме твердого тела. М.: Мир, 1975.
- Skerdin G., Stiens J., Vounckx R. // J. Appl. Phys. 1999. V. 85 № 7. P. 3792.
- Brinkman W.F., Rice T.M. // Phys. Rev. B. 1973. V. 7. № 4. P. 1508.
- Маделунг O. // Теория твердого тела. М.: Наука, 1980.
- Adachi S. // J. Appl. Phys. 1985. V. 58. № 3. P. R1.
- Dreselhaus G., Kip A.F., Kittel C. // Phys. Rev. 1955. V. 98. № 2. P. 368.
- Грундман М. // Основы физики полупроводников. М.: Физматлит, 2012.
- Кумеков С.Е., Перель В.И. // ЖЭТФ. 1988. Т. 94. № 1. С. 346.
- Агеева Н.Н., Броневой И.Л., Забегаев Д.Н., Кривоносов А.Н. // ФТП. 2021. Т. 55. № 2. С. 113.
- Агеева Н.Н., Броневой И.Л., Забегаев Д.Н., Кривоносов А.Н. // ФТП. 2021. Т. 55. № 5. С. 434.
- Dicke R.H. // Phys. Rev. 1954. V. 93. № 1. P. 99.
- Агеева Н.Н., Броневой И.Л., Забегаев Д.Н., Кривоносов А.Н. // ФТП. 2022. Т. 56. № 4. С. 394.
- Физика полупроводниковых лазеров / Под ред. Х. Такумы. М.: Мир, 1989.
Supplementary files












































