О возможности полуметаллических свойств в ферромагнитных сплавах Гейслера Fe2RhZ (Z = Al, Si, Ga, Ge, In, Sn)
- Авторы: Ерагер К.Р.1, Байгутлин Д.Р.1, Соколовский В.В.1, Бучельников В.Д.1
-
Учреждения:
- Челябинский государственный университет
- Выпуск: Том 68, № 4 (2023)
- Страницы: 326-337
- Раздел: К 90-ЛЕТИЮ ВЛАДИМИРА ГРИГОРЬЕВИЧА ШАВРОВА
- URL: https://journal-vniispk.ru/0033-8494/article/view/138184
- DOI: https://doi.org/10.31857/S0033849423040010
- EDN: https://elibrary.ru/PEIKBI
- ID: 138184
Цитировать
Полный текст
Аннотация
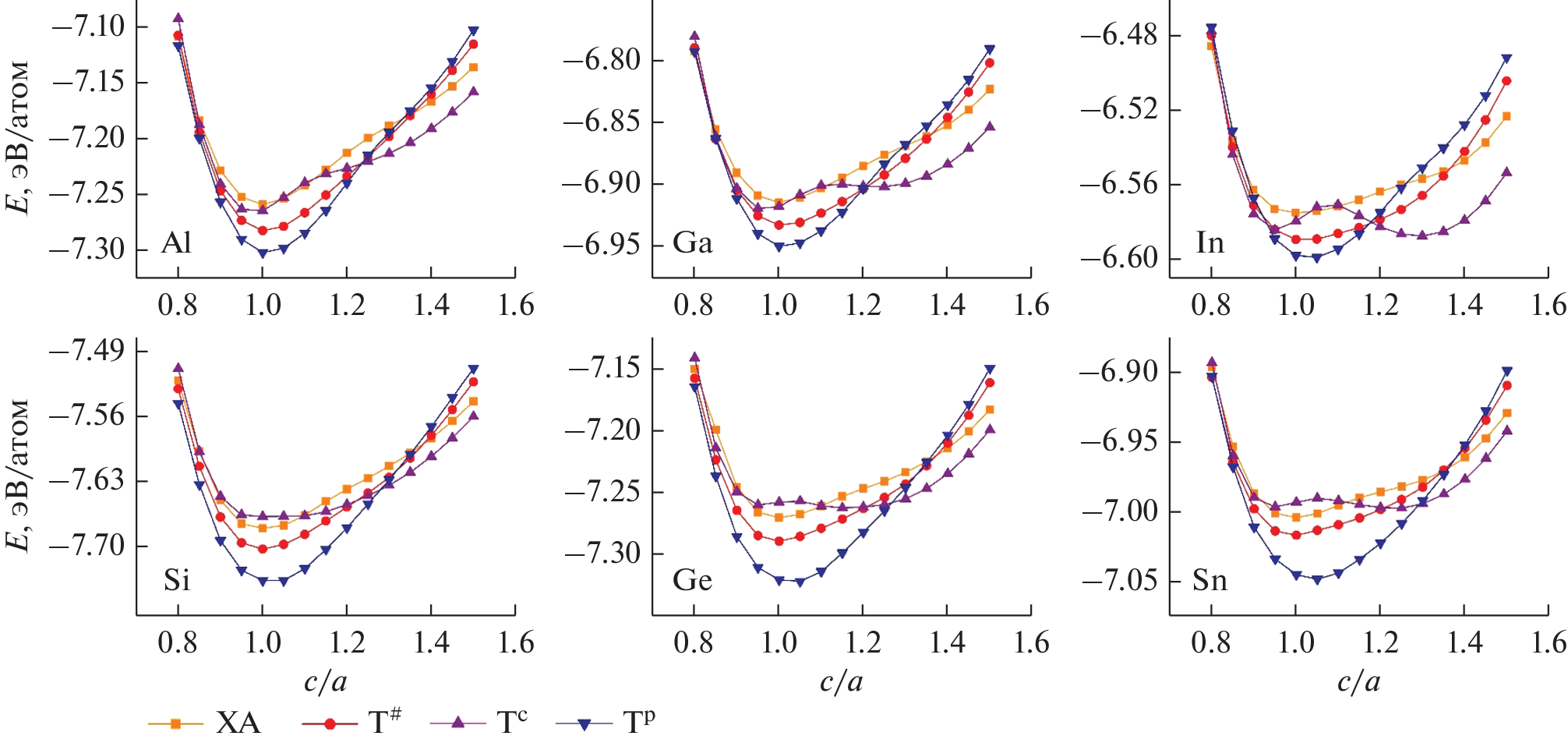
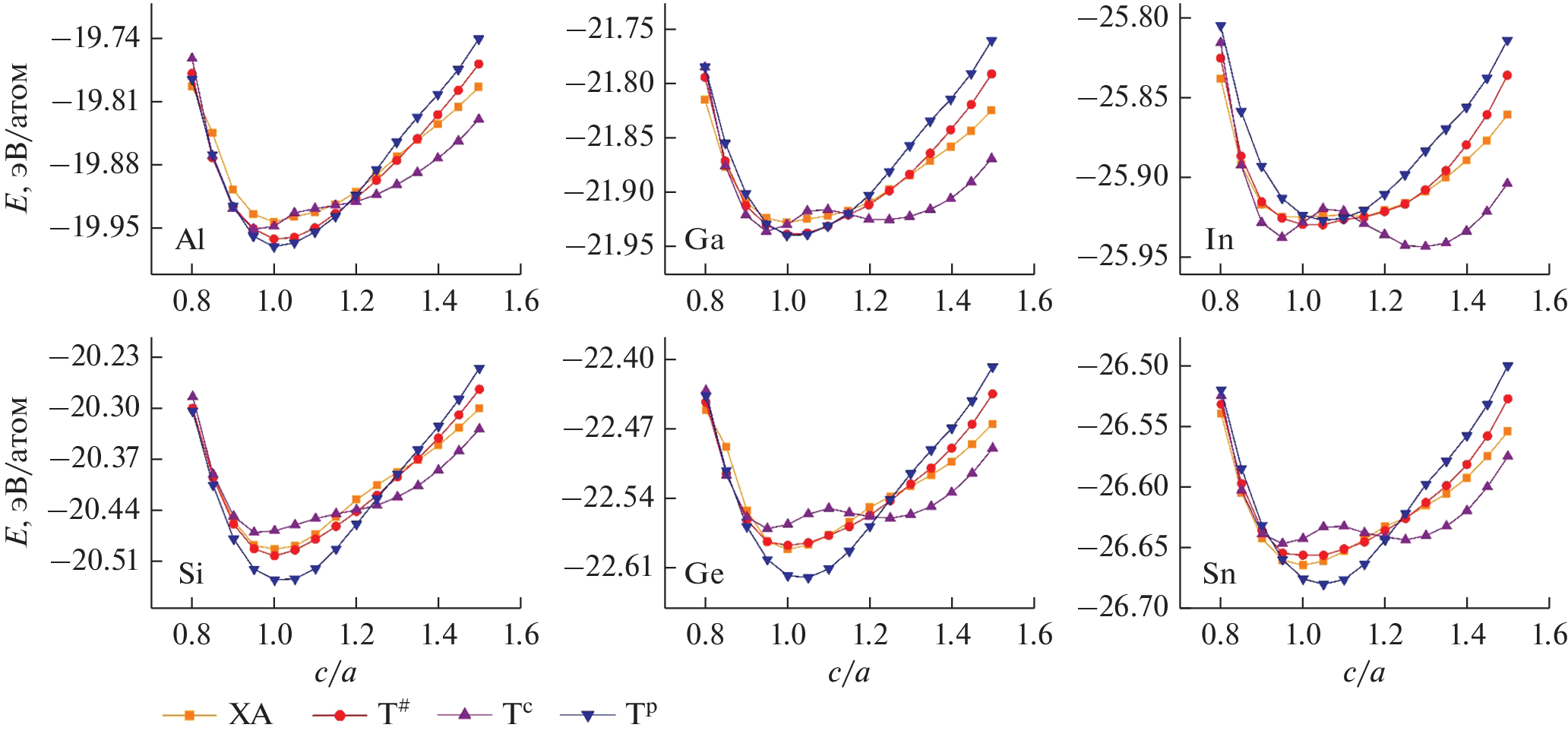
Из первых принципов исследованы возможности наличия полуметаллических свойств в ферромагнитных сплавах Гейслера Fe2RhZ (Z = Al, Si, Ga, Ge, In, Sn). Расчеты выполнены в рамках учета обменно-корреляционных эффектов посредством приближений обобщенного и мета-обобщенного градиента. Показано, что основным состоянием в большинстве сплавов является ферромагнитное упорядочение в модельной Тр решетке. Анализ фазовой стабильности сплавов показывает, что большинство из них в рассматриваемых приближениях являются устойчивыми как в регулярной, так и в инверсной решетке, а также в трех модельных решетках, относящихся к обратному типу гейслеровых структур с различным типом атомного порядка. Функционал SCAN (strongly constrained and appropriately normed) предсказывает, что сплав Fe2RhSi может иметь свойства полуметаллов, поскольку обладает целым магнитным моментом, достаточно высокой степенью поляризации и энергетической щелью на уровне Ферми для спин-вверх электронов.
Об авторах
К. Р. Ерагер
Челябинский государственный университет
Email: eragerk@rambler.ru
Российская Федерация, 454001, Челябинск, ул. Братьев Кашириных, 129, корп. 1
Д. Р. Байгутлин
Челябинский государственный университет
Email: eragerk@rambler.ru
Российская Федерация, 454001, Челябинск, ул. Братьев Кашириных, 129, корп. 1
В. В. Соколовский
Челябинский государственный университет
Email: eragerk@rambler.ru
Российская Федерация, 454001, Челябинск, ул. Братьев Кашириных, 129, корп. 1
В. Д. Бучельников
Челябинский государственный университет
Автор, ответственный за переписку.
Email: eragerk@rambler.ru
Российская Федерация, 454001, Челябинск, ул. Братьев Кашириных, 129, корп. 1
Список литературы
- Winterlik J., Fecher G.H., Felser C. et al. // Phys. Rev. B. 2008. V. 78. № 18. P. 184506.
- Malik S.K., Umarji A.M., Shenoy G.K. // Phys. Rev. B. 1985. V. 31. № 11. P. 6971.
- Malik S.K., Umarji A.M., Shenoy G.K. // Phys. Rev. B. 1986. V. 34. № 5. P. 3144.
- Klimczuk T., Wang C.H., Gofryk K. et al. // Phys. Rev. B. 2012. V. 85. № 17. P. 174505.
- de van Roy Boeck, Das W., Motsnyi J. et al. // Semiconductor Sci. Technol. 2002. V. 17. № 4. P. 342.
- Chadov S., Graf T., Chadova K. et al. // Phys. Rev. Lett. 2011. V. 107. № 4. P. 047202.
- Yakushi K., Saito K., Takanashi K. et al. // Appl. Phys. Lett. 2006. V. 88. № 8. P. 082501.
- de Groot R.A., Mueller F. M., Engen P.G. v., Buschow K.H.J. // Phys. Rev. Lett. 1983. V. 50. № 25. P. 2024.
- Brown P.J., Gandy A.P., Kanomata T. et al. // J. Phys.: Cond. Matt. 2008. V. 20. № 45. P. 455201.
- Shigeta I., Murayama O., Hisamatsu T. et al. // J. Phys. Chem. Solids. 2011. V. 72. № 5. P. 604.
- Kanomata T., Kikuchi M., Yamauci H., Kaneko T. // Jap. J. Appl. Phys. 1993. V. 32. № S3. P. 292.
- Deka B., Srinivasan A. // Physica B: Cond. Matt. 2015. V. 476. P. 118.
- Endo K., Kanomata T., Nishihara H., Ziebeck K. // J. Alloys Compounds. 2012. V. 510. № 1. P. 1.
- Bainsla L., Raja M.M., Nigam A., Suresh K. // J. Alloys Compounds. 2015. V. 651. P. 631.
- El Amine Monir M., Ullah H., Baltach H., Mouchaal Y. // J. Supercond. Nov. Magn. 2018. V. 31. № 7. P. 2233.
- Hongzhi L., Zhiyong Z., Li M. et al. // J. Phys. D: Appl. Phys. 2007. V. 40. № 22. P. 7121.
- Pavlukhina O., Sokolovskiy V., Buchelnikov V. // Mater. Today: Proc. 2017. V. 4. № 3. Pt.B. P. 4642.
- Pavlukhina O., Sokolovskiy V., Zagrebin M., Buchelnikov V. // J. Magn. Magn. Mater. 2019. V. 470. P. 69.
- Sokolovskiy V., Miroshkina O., Buchelnikov V., Gruner M.E. // Phys. Rev. Mater. 2022. V. 6. №2. P. 025402.
- Neibecker P., Gruner M.E., Xu X. et al. // Phys. Rev. B. 2017. V. 96. № 16. P. 165131.
- Perdew J.P., Burke K., Ernzerhof M. // Phys. Rev. B. 1996. V. 77. № 7. P. 3865.
- Sun J., Ruzsinszky A., Perdew J.P. // Phys. Rev. B. 2015. V. 115. № 3. P. 036402.
- Zhang Y., Sun J., Perdew J.P., Wu X. // Phys. Rev. B. 2017. V. 96. № 3. P. 035143.
- Kresse G., Furthmüller J. // Phys. Rev. B. 1996. V. 54. № 16. P. 11169.
- Kresse G., Joubert D. // Phys. Rev. B. 1999. V. 59. № 3. P. 1758.
- Buchelnikov V., Sokolovskiy V., Miroshkina O. et al. // Adv. Theory Simul. 2021. V.4. № 11. Article No. 2100311.
- Galanakis I., Dederichs P. H. // Phys. Rev. B. 2002. V. 66. № 17. P. 174429.
- Venkateswara Y., Samatham S.S., Patel A.K. et al. // Phys. Rev. B. 2021. V. 104. № 9. P. 094402.
Дополнительные файлы













