Texture-fractal analysis of polarimetric images generated by synthetic aperture radar stations.
- Autores: Kuznetsov V.A.1, Potapov A.A.2
-
Afiliações:
- Military Training and Scientific Center of the Air Forces "Military Air Academy named after profes-sor N.E. Zhukovsky and Yu.A. Gagarin"
- Kotelnikov Institute of Radioengineering and Electronics, Russian Academy of Sciences
- Edição: Volume 68, Nº 10 (2023)
- Páginas: 941-953
- Seção: К 70-ЛЕТИЮ ИРЭ ИМ. В.А. КОТЕЛЬНИКОВА РАН
- URL: https://journal-vniispk.ru/0033-8494/article/view/232574
- DOI: https://doi.org/10.31857/S0033849423100145
- EDN: https://elibrary.ru/DPWRXU
- ID: 232574
Citar
Texto integral
Resumo
All currently known methods and methods for the formation of fractal
features of polarimetric radar images. Briefly reviewed new
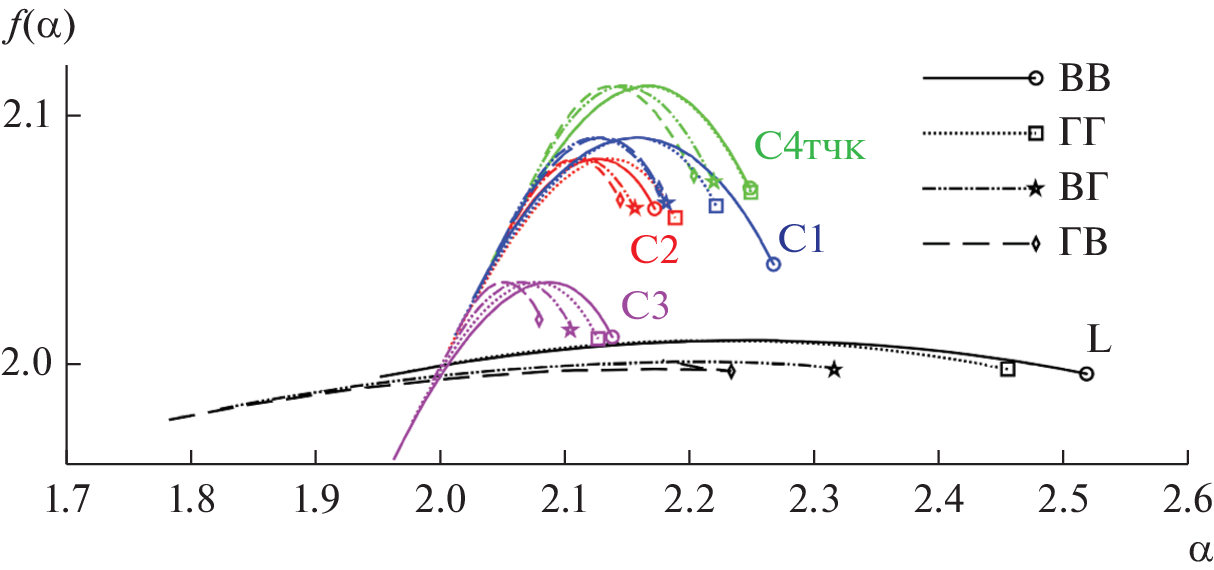
texture-fractal feature – a directional multifractal signature measured morphologically by the iterative covering method. In relation to the analysis of polarimetric images formed by a synthetic aperture radar, a new concept for their processing is proposed, based on the possibility of taking into account the polarization differences of ground-based spatially distributed objects by identifying the multifractal and anisotropic properties of their texture. A variant of interpretation of the obtained results for automatic optimization of further successful solution of specific segmentation (classification) problems underlying surface, detection and recognition of ground objects.
Sobre autores
V. Kuznetsov
Military Training and Scientific Center of the Air Forces "Military Air Academy named after profes-sor N.E. Zhukovsky and Yu.A. Gagarin"
Email: potapov@cplire.ru
Voronezh, 394064, Russia
A. Potapov
Kotelnikov Institute of Radioengineering and Electronics, Russian Academy of Sciences
Autor responsável pela correspondência
Email: potapov@cplire.ru
Moscow, 125009 Russia
Bibliografia
- Радиолокационные системы воздушной разведки, дешифрирование радиолокационных изображений / Под ред. Л.А. Школьного. М.: ВВИА, 2008.
- Кузнецов В.А. // Телекоммуникации. 2012. № 10. С. 31.
- Потапов А.А. Фракталы в радиофизике и радиолокации. М.: Логос, 2002; 2-е изд., 2005.
- Профессор Александр Алексеевич Потапов. Биобиблиографический указатель: Фракталы в действии / Под ред. Ю.В. Гуляева. М.: ЦПУ Радуга, 2019.
- Lee J.-S., Pottier E. Polarimetric Radar Imaging: from Basics to Applications. Boca Raton: CRC Press, 2009.
- Татаринов В.Н., Татаринов С.В, Лигтхарт Л.П. Введение в современную теорию поляризации радиолокационных сигналов. Т. 1. Поляризация плоских электромагнитных волн и её преобразования. Томск: Томский ун-т, 2012.
- Zyl J., Kim Y. Synthetic Aperture Radar Polarimetry. Hoboken: John Wiley & Sons, Inc., 2011.
- Лихачев В.П., Купряшкин И.Ф., Семенов В.В. Поляриметрические и интерферометрические режимы работы РСА в условиях помех. Воронеж: ВУНЦ ВВС “ВВА”, 2014.
- Hujnen J.R. // Electromagnetic Scattering. 1978. P. 653.
- Krogager E., Czyz Z.H. // Proc. 3rd Int. Workshop on Radar Polarimetry, IRESTE, Univ. Nantes, 1995. P. 106.
- Cameron W.L., Youssef N., Leung L.K. // IEEE Trans. 1996. V. GRS-34. № 3. P. 793.
- Freeman A., Durden S. // Proc. of SPIE. Radar Polarimetry. 1992. V. 1748. P. 213.
- Yamaguchi Y., Moriyama T., Ishido M. // IEEE Trans. 2005. V. GRS-43. № 8. P. 1699.
- Pauli W., Rose M.E. // Phys. Rev. 1936. V. 49. № 6. P. 462.
- Cloude S.R. Polarisation: Applications in Remote Sensing. Oxford: Oxford Univ. Press, 2009.
- Cloude S.R., Pottier E. // IEEE Trans. 1996. V. GRS-34. № 2. P. 498.
- Кузнецов В.А., Потоцкий А.Н. // Успехи совр. радиоэлектроники. 2017. № 3. С. 39.
- Потапов А.А., Кузнецов В.А., Потоцкий А.Н. // РЭ. 2021. Т. 66. № 5. С. 757.
- Потапов А.А., Кузнецов В.А., Потоцкий А.Н. // Радиолокация. Теория и практика. М.: ЮНИТИ-ДАНА, 2023. С. 97.
- Potapov A.A., Hao W., Shan X. Fractality of Wave Fields and Processes in Radar and Control. Guangzhou: South China Univ. Technol. Press, 2020.
- Potapov A.A. // 2022 IEEE Conf. Antenna Measurements & Applications (IEEE CAMA). Guangzhou, 14–17 Dec. N.Y.:IEEE, 2022. Paper No. 10002640. https://doi.org/10.1109/CAMA56352.2022.10002640
- Potapov A.A., German V.A. // Pattern Recognition and Image Analysis. 1998. V. 8. № 2. P. 226.
- Potapov A.A. // Universal J. Phys. Appl. 2017. V. 11. № 1. P. 13.
- Кузнецов В.А., Лихачев В.П., Потапов А.А. // Радиолокация, навигация, связь: Сб. тр. XXIX Междунар. науч.-техн. конф., посв. 70-летию кафедры радиофизики ВГУ. В 5 тт. Воронеж: ИД ВГУ, 2023. Т. 2. С. 283.
- Nayak S.R., Mishra J. // Perspectives in Science. 2016. V. 8. P. 412.
- Ivanovici M., Richard N. // IEEE Trans. 2011. V. IP-20. № 12. P. 227.
- Nikolaidis N.S., Nikolaidis I.N., Tsouros C.C. // Appl. Math. Comput. 2011. ArXiv abs/1107.2336 (2011). P. 1.
- Alsaidi N.M.G., Abdulaal W.J. // Eng. & Tech. J. 2015. V. 33. Pt B. № 4. P. 714.
- Brodatz P. Textures: A Photographic Album for Artists and Designers. N.Y.: Dover Publ., 1966.
- Martino G.D., Franceschetti G., Iodice A. et al. // 2014 IEEE Geosci. and Remote Sensing Symp. Quebec. 13‒18 Jul. N.Y.: IEEE, 2014. Paper No. 6947232.https://doi.org/10.1109/IGARSS.2014.6947232
- Iodice A., Natale A., Riccio D. // IEEE Trans. 2011. V. GRS-49. № 7. P. 2531.
- Martino G. Di, Riccio D., Zinno I. // IEEE Trans. 2012. V. GRS-50. № 2. P. 630.
- Schuler D.L., Ainsworth T.L., Krogager E. et al. // IEEE Trans. 2002. V. GRS-40. № 1. P. 30.
- Dmitriev A.V., Chimitdorzhiev T.N., Dagurov P.N. // Optoelectronics, Instrumentation and Data Processing. 2016. V. 52. № 3. P. 245.
- Martino G.D., Iodice A., Riccio D. et al. // Proc. POLinSAR. Frascati, 28 Jan.–1 Feb. 2013. Frascatti: ESA-ESRIN, 2013. P. 123.
- Потапов А.А., Кузнецов В.А. // Радиолокация. Теория и практика. М.: ЮНИТИ-ДАНА, 2023. С. 108.
- Потапов А.А., Кузнецов В.А., Аликулов Е.А. // РЭ. 2022. Т. 67. № 1. С. 51.
- Потапов А.А., Кузнецов В.А., Аликулов Е.А. // Изв. вузов России. Радиоэлектроника. 2021. Т. 24. № 3. С. 6.
- Krzyszczak J., Baranowski P., Zubik M. et al. // Theoret. Appl. Climatology. 2019. V. 137. P. 1811.
- Купряшкин И.Ф., Лихачев В.П., Рязанцев Л.Б. // Журн. Радиоэлектроники. 2019. № 4. http://jre.cplire.ru/ jre/apr19/12/text.pdf.
- Купряшкин И.Ф., Лихачев В.П., Рязанцев Л.Б. Малогабаритные многофункциональные РЛС с непрерывным частотно-модулированным излучением. М.: Радиотехника, 2020.
Arquivos suplementares












