Трансформация электромагнитных полей в сверхширокополосных антенных решетках
- Авторы: Банков С.Е.1, Дупленкова М.Д.1
-
Учреждения:
- Институт радиотехники и электроники им. В. А. Котельникова РАН
- Выпуск: Том 69, № 3 (2024)
- Страницы: 207-216
- Раздел: АНТЕННО-ФИДЕРНЫЕ СИСТЕМЫ
- URL: https://journal-vniispk.ru/0033-8494/article/view/266075
- DOI: https://doi.org/10.31857/S0033849424030011
- EDN: https://elibrary.ru/JVRVFC
- ID: 266075
Цитировать
Полный текст
Аннотация
Рассмотрены бесконечные сверхширокополосные решетки ТЕМ-рупоров и антенн Вивальди. На первом этапе была использована модель решетки в режиме квазипериодического возбуждения в виде канала Флоке, которая реализована в системе электродинамического моделирования HFSS. На втором этапе по рассчитанной матрице рассеяния канала Флоке определены параметры решетки в режиме кластерного возбуждения, в том числе распределение части полного поля — поля излучения в апертуре решетки. Проанализированы два кластера: конечные по одной координате и бесконечные по другой. Исследовано влияние на форму амплитудного распределения поля излучения в апертуре таких факторов, как размер кластера, частота, амплитудное распределение возбуждающих волн, сканирование в секторе углов. Показано, что распределение поля в излучающей апертуре может существенно отличаться от распределения возбуждающих волн на входах излучателей решетки. Предложено объяснение данного эффекта, основанное на представлении поля в решетке в виде суперпозиции ее собственных волн.
Ключевые слова
Полный текст
Введение
В течение последних десятилетий отмечается повышенный интерес к построению сверхширокополосных (СШП) антенн и, в частности, антенных решеток. Их применение все больше входит в повседневную жизнь. Это связано с внедрением СШП-радаров в медицинских целях [1, 2], для дистанционного зондирования снежных и ледяных покровов [3–5], для подповерхностной радиолокации [6, 7].
Большинство известных работ (см., например, [8–12]) посвящено численному и экспериментальному исследованию конструкций СШП-решеток, а исследованиям электродинамических явлений в таких структурах посвящено значительно меньшее количество работ. В то же время отметим, что в указанных структурах наблюдаются такие явления, как ослепление и деполяризация [13], которые могут существенно сказаться на характеристиках устройств.
Традиционные технические решения в области СШП-решеток основаны на применении антенн Вивальди и ТЕМ-рупоров. ТЕМ-рупоры являются одними из наиболее широко используемых СШП-антенн. Это объясняется, с одной стороны, простотой конструкции, а с другой — возможностью согласования с питающей линией в очень широкой полосе частот. Для преодоления проблемы высокого заднего излучения в работах [14, 15] были предложены двумерные решетки ТЕМ-рупоров с металлизаций межрупорного пространства. Решетки антенн Вивальди также являются типовым техническим решением при создании СШП-антенн с высокой направленностью. Интерес к ним обусловлен простотой конструкции антенны Вивальди, которая допускает применение для ее изготовления технологии печатных плат.
Электродинамическое моделирование антенных решеток с большими электрическими размерами представляет весьма сложную задачу, решение которой связано с существенными затратами компьютерных ресурсов. В связи с этим для их анализа часто используют приближение бесконечной решетки [16]. Граничная задача для такой структуры сводится к анализу одного ее периода, получившего название канала Флоке [17].
Канал Флоке СШП-решетки имеет характерную особенность, которая состоит в том, что его параметры медленно меняются в продольном направлении. Поэтому его можно рассматривать как волноводный переход, преобразующий электромагнитное поле от точки его возбуждения до свободного пространства. Для анализа таких переходов можно использовать известный метод поперечных сечений [18], основанный на представлении поля в виде разложения по собственным волнам волновода сравнения. В случае бесконечной решетки роль волновода сравнения играет канал Флоке с постоянными параметрами, т. е. волновод Флоке.
Собственные волны канала Флоке бесконечной решетки антенн Вивальди без диэлектрического заполнения исследованы в работе [19], а волны решетки ТЕМ-рупоров изучены в работе [14]. Результаты исследования собственных волн далее использовались для построения моделей решеток антенн Вивальди без диэлектрического заполнения [20] и решеток ТЕМ-рупоров [15]. Задача анализа бесконечной решетки сводилась к анализу волновода Флоке с ТЕМ-волной с переменными вдоль его оси параметрами.
В работе [13] были исследованы эффекты ослепления и деполяризации с использованием модели в виде канала Флоке. При этом СШП-решетка функционировала в квазипериодическом режиме, когда одновременно возбуждаются все ее элементы. В таком режиме отсутствует возможность исследования ряда важных эффектов. К их числу относится трансформация поля от точки питания до свободного пространства. При этом наибольший интерес представляет распределение поля в выходной плоскости решетки, выполняющей функцию излучающей апертуры. Исследование данной проблемы связано с анализом бесконечной решетки в режиме кластерного возбуждения, когда входные воздействия подаются не на все элементарные излучатели, а на некоторую их часть — кластер.
Отметим, что СШП-решетка ТЕМ-рупоров конечных размеров (12х12) была исследована в режиме кластерного возбуждения [21]. При этом основная ее цель состояла в решении практической задачи создания СШП-антенны с постоянной по ширине диаграммой направленности.
Цель данной работы — исследовать трансформацию поля в режиме кластерного возбуждения в СШП решетках антенн Вивальди и ТЕМ-рупоров с равномерным и косинусоидальным амплитудным распределением источников возбуждения.
1. Метод исследования
Двумерно-периодическая бесконечная решетка может быть рассмотрена при помощи ячейки Флоке. В случае квазипериодического возбуждения поля в ячейке связаны условием периодичности, которое часто называют теоремой Флоке [16]:
где , — заданные постоянные определяющие углы излучения из решетки θ, φ; k — волновое число свободного пространства; n — номер периода по оси 0x; m — номер периода по оси 0y; Px — период решетки по оси 0x; Py — период решетки по оси 0y.
Ячейка Флоке описывается матрицей рассеяния , где
(1)
На рис. 1 показана ячейка Флоке в общем виде, она имеет минимум три порта: порт 1 соответствует линии передачи, порты 2 и 3 соответствуют волноводу Флоке, в котором распространяются, как минимум, две волны.
Рис. 1. Ячейка Флоке общего вида как СВЧ-многополюсник: 1 — порт, соответствующий линии передачи; 2, 3 — порты, соответствующие волнам волновода Флоке.
В общем случае поле собственной волны волновода Флоке при z > 0 можно записать в виде
(2)
Здесь — вектор, не зависящий от координат, L — размер решетки по оси 0z (рис. 2). Отметим, что каждой паре индексов p, q соответствуют две волны с разными поляризациями, т. е. с разными векторами и . Верхние индексы 2,3 показывают принадлежность данной волны соответствующему порту многополюсника на рис. 1.
Известным фактом является то, что если период решетки составляет P < λ/2 (что является условием отсутствия дифракционных максимумов), то распространяющимися будут только гармоники с p = = q = 0, у которых а .
Отметим, что матрицу рассеяния канала Флоке можно рассчитать при помощи методов электродинамического моделирования. Мы использовали для этого систему HFSS. Будем далее считать ее известной. Матрица рассеяния связывает амплитуды отраженных и падающих на порты ячейки Флоке волн. Пусть ячейка возбуждается со стороны порта 1 волной с амплитудой . Тогда амплитуды волн, прошедших в порты 2, 3, находятся как
(3)
Рис. 2. Канал Флоке для решетки ТЕМ-рупоров, ГУ — граничное условие.
Чтобы найти поле в портах 2, 3, необходимо поле собственной волны умножить на ее амплитуду:
При z = L, т. е. в точке размещения отсчетной плоскости порта 2, справедливо равенство
(4)
Переход от режима квазипериодического возбуждения к режиму возбуждения одного элемента решетки рассмотрен в работе [16]. Воспользуемся полученными в ней выражениями и найдем искомое электрическое поле волн второго и третьего типов в n-м канале решетки при возбуждении элемента решетки с номерами волной с амплитудой
(5)
Поле при возбуждении группы элементов решетки (кластера) находится суммированием по индексам
(6)
где — элементы матрицы рассеяния ячейки Флоке.
Представляет интерес кластер, бесконечный по одной координате и конечный по другой. Рассмотрим кластер, бесконечный по координате 0y, т. е. , причем вдоль оси 0y обеспечивается равномерное амплитудно-фазовое распределение. Тогда амплитуды активных каналов не зависят от индекса m0, и получаем В этом случае к сумме по m0 в формуле (6) можно применить теорему Пуассона [23]:
(7)
Тогда выражение (6) можно переписать следующим образом, используя тот факт, что период решетки меньше половины длины волны:
(8)
Применяя теорему Пуассона к полю , получаем, что оно пропорционально элементу матрицы рассеяния канала Флоке который для исследуемых однополяризационных решеток тождественно равен нулю. Отсюда следует, что = 0.
Аналогично можем рассмотреть поле, которое создает кластер, бесконечный по оси 0х и конечный по оси 0у. При этом получаем
(9)
Рассмотрим теперь следующий частный случай: кластер, бесконечный по координате 0y и с равномерным вдоль нее амплитудно-фазовым распределением, является конечным вдоль оси 0х, излучает под углом θ0, при этом вдоль оси 0х реализовано равномерное амплитудное распределение. Тогда причем В этом случае (8) принимает вид
.
Обратим внимание, что выражение
– это сумма геометрической прогрессии. Применим формулу для суммы геометрической прогрессии и получим выражение для поля волны второго типа:
(10)
а также аналогичное выражение для поля и кластера, бесконечного вдоль оси 0х:
(11)
Таким образом, мы показали, что, численно определив матрицу рассеяния ячейки Флоке можем при помощи выражений (8), (9), а также (10) и (11) найти поле в излучающей апертуре при возбуждении группы активных элементов — кластера в составе бесконечной решетки. Далее применим полученные соотношения для решеток ТЕМ-рупоров и решеток антенн Вивальди.
Существенным моментом является то, что в матрице рассеяния канала Флоке учитываются только две моды Флоке нулевого порядка. По этой причине соотношения, приведенные выше, определяют не полное поле в апертуре решетки, а лишь его часть, которая описывается распространяющимися гармониками Флоке. Наряду с ней в сечении z = L существует поле гармоник высших порядков. Однако в решетке, с периодом меньшим половины длины волны в свободном пространстве, высшие гармоники не распространяются, а их поле экспоненциально затухает в области z > L. Поэтому наиболее интересная часть поля, которая существует на больших расстояниях от выходной апертуры решетки, описывается именно распространяющимися гармониками Флоке. Эту часть поля можно назвать полем излучения. Расчет поля излучения проводится не в раскрыве решетки (при z = L), а на определенном от него удалении в продольном направлении, как показано на рис. 2, где полями всех мод более высокого порядка можно пренебречь из-за их экспоненциального затухания. Далее поле пересчитывается в плоскость z = L с использованием стандартной процедуры сдвига отсчетной плоскости, реализованной в HFSS.
2. Кластер ТЕМ-рупоров
Исследуем кластер ТЕМ-рупоров, конечный по одной оси и бесконечный по другой со следующими параметрами: длина элемента решетки L = 180, а величины периодов решетки в Е- и Н-плоскости равны соответственно Py = 15 и Pх = 15 (см. рис. 2), причем период рассматриваемой решетки меньше половины длины волны. Здесь и далее все размеры приводятся в миллиметрах. Реализован экспоненциальный закон зависимости волнового сопротивления в сечении канала Флоке от координаты 0z. Отметим, что на продольных стенках ячейки установлены специальные граничные условия “Master–Slave” (см. рис. 2), поперечная стенка на границе пустого канала представляет собой порт Флоке, который имеет две моды, соответствующие двум поляризациям. Поперечную стенку вблизи сосредоточенного порта объявляем магнитной, что соответствует холостому ходу в терминах линии передачи, или идеальному частотно независимому резонатору. Такой подход позволяет нам не учитывать частотную зависимость системы возбуждения, которое на практике весьма велико в таких структурах и оказывает заметное влияние на характеристики решетки. Импеданс порта 1 равен Zc1 = 25 Ом, импеданс пустого канала (волновода Флоке) при этом равен 377 Ом. Пусть количество элементов в кластере равно 2N + 1 = 17, при этом обеспечивается равномерное амплитудное распределение.
Рис. 3. Два варианта кластера, бесконечного по одной координате и конечного по другой.
Исследуем поле такого кластера при сканировании. С учетом того, что кластер является бесконечным по одной координате и конечным по другой, возможны два варианта: 1) кластер бесконечен вдоль оси 0y и является конечным вдоль оси 0х (рис. 3а), тогда сканирование проводим в плоскости H, 2) кластер бесконечен вдоль оси 0x (см. рис. 3б), тогда сканируем в плоскости Е.
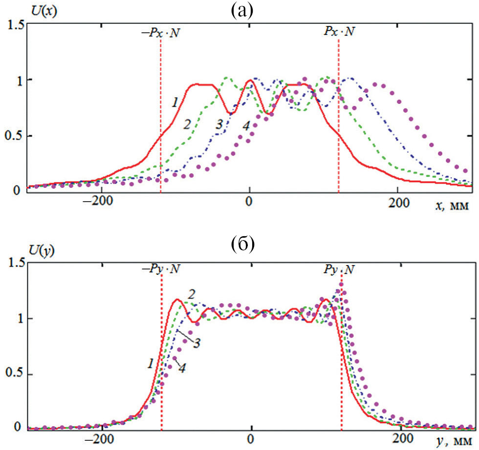
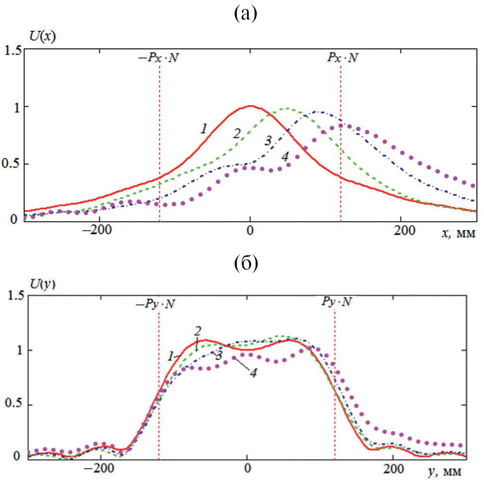
На рис. 4–6 представлены результаты расчетов нормированной напряженности электрического поля при сканировании такого кластера от 0 до 45 град в плоскостях E и Н для частот 2, 5 и 8 ГГц соответственно. Здесь и далее кривые нормированы к величине U(0) при отсутствии отклонения луча, вертикальные пунктирные линии обозначают границы кластера.
Рис. 4. Напряженность поля для кластера ТЕМ-рупоров на частоте 2 ГГц: отклонение луча 0 (1), 15 (2), 30 (3) и 45 град (4), сканирование в Н- (а) и Е-плоскости (б).
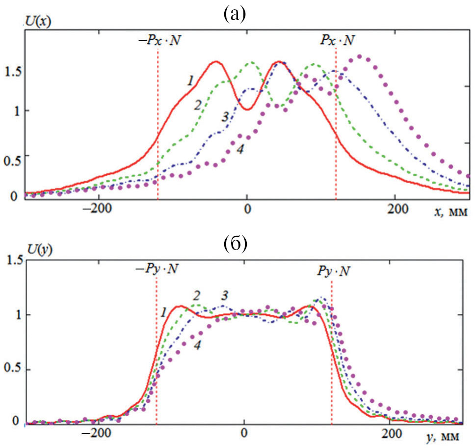
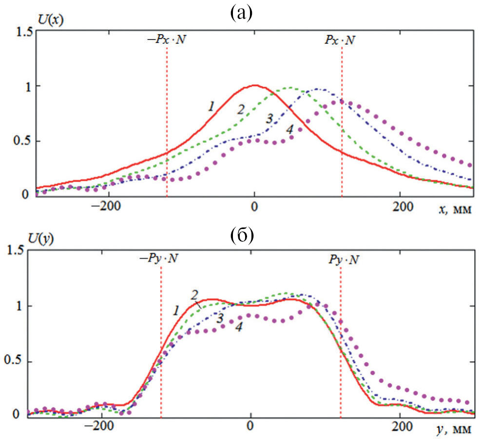
Рис. 5. Напряженность поля для кластера ТЕМ-рупоров на частоте 5 ГГц: отклонение луча 0 (1), 15 (2), 30 (3) и 45 град (4), сканирование в Н- (а) и Е-плоскости (б).
Из данных, представленных на рис. 4–6, можем сделать вывод, что распределение поля в выходной апертуре решетки существенно отличается от распределения поля на входах элементарных излучателей, которое задается функциями An0, Am0. При этом можно выделить два вида искажений: искажение формы амплитудного распределения и его смещение. Второй эффект имеет место только при сканировании и зависит от угла отклонения θ.
Также необходимо отметить существенно разное поведение поля в плоскостях Е и Н. Искажения формы и смещение в Н-плоскости проявляются значительно сильнее, чем в Е-плоскости. При этом искажения формы в Н-плоскости имеют характер “расплывания”, которое проявляется в том, что поле выходит за границы кластера. Кроме того, наблюдается также эффект “сглаживания”, который выражается в исчезновении резких границ области, занятой полем. Особенно сильно эти эффекты выражены на низких частотах (см. рис. 4а,4б). В Н-плоскости они привели к изменению формы амплитудного распределения от прямоугольной на входе в решетку до колоколообразной на выходе из нее. С повышением частоты указанные эффекты остаются, но выражены уже не столь сильно.
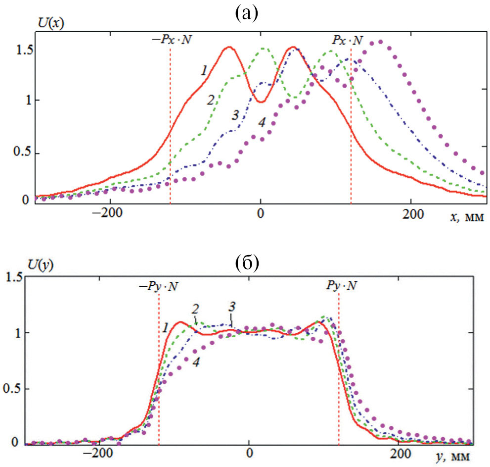
Рис. 6. Напряженность поля для кластера ТЕМ-рупоров на частоте 8 ГГц: отклонение луча 0 (1), 15 (2), 30 (3) и 45 град (4), сканирование в Н- (а) и Е-плоскости (б).
Особо следует обратить внимание на смещение поля в Н-плоскости, которое при достаточно больших углах сканирования () может достигать половины ширины кластера. При выбранном параметре это означает, что при сканировании поле перетекает в восемь соседних каналов.
Рис. 7. Напряженность поля для кластера ТЕМ-рупоров с косинусоидальным амплитудным распределением на частоте 5 ГГц: отклонение луча 0 (1), 15 (2), 30 (3) и 45 град (4), сканирование в Н- (а) и Е-плоскости (б).
Исследуем далее, каким образом амплитудное распределение на элементах кластера влияет на распределение поля в выходной плоскости в режиме сканирования. Зададим амплитудное распределение в виде “косинус на пьедестале” со следующим законом распределения и рассчитаем напряженность поля на частоте 5 ГГц для сканирования в Н- и Е-плоскостях (рис. 7а, 7б).
Сравнивая рис. 5 и 7, отметим, что поле в Н-плоскости становится гораздо менее изрезанным, хотя эффекты расплывания и, в особенности, смещения поля при сканировании в этой плоскости имеют место во всех случаях.
Рис. 8. Канал Флоке для решетки антенн Вивальди, ГУ — граничное условие.
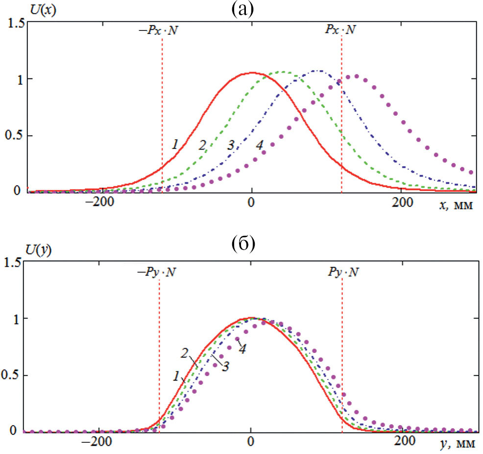
Рис. 9. Напряженность поля для кластера антенн Вивальди на частоте 2 ГГц: отклонение луча 0 (1), 15 (2), 30 (3) и 45 град (4), сканирование в Н- (а) и Е-плоскости (б).
3. Кластер антенн Вивальди
Исследуем кластер антенн Вивальди (конечный по одной оси и бесконечный по другой) со следующими параметрами: длина элемента решетки L = 180, периоды решетки в Е- и Н-плоскостях равны соответственно Py = 15 и Pх = 15 (рис. 8).
Реализован экспоненциальный закон зависимости волнового сопротивления в сечении канала Флоке от координаты 0z. Импеданс порта 1 равен Zc1 = 150 Ом, при этом импеданс пустого канала (волновода Флоке) равен Zс2 = 377 Ом. Количество элементов в кластере равно 2N + 1 = 17, обеспечивается равномерное амплитудное возбуждение.
На рис. 9–11 представлены результаты расчетов нормированной напряженности электрического поля при сканировании такого кластера от 0 до 45 град в плоскостях E и Н для частот 2, 5 и 8 ГГц соответственно.
Сравнивая графики для кластеров ТЕМ-рупоров и антенн Вивальди, отмечаем, что в целом они очень похожи. Сканирование в плоскости вектора не приводит к существенным изменениям поля, оно остается сконцентрированным в области кластера. Сканирование в плоскости вектора приводит к существенному расплыванию поля за пределы кластера.
Говоря о различиях между кластерами ТЕМ-рупоров и антенн Вивальди, следует обратить внимание на следующее обстоятельство — кривая 4 (отклонение луча на 30°) на рис. 11б проходит ниже кривых 1, 2, 5, т. е. при отклонении луча на 30° напряженность поля снижается по какой-то причине, чего не наблюдается на рис. 6. Чтобы выяснить причину этого явления, рассмотрим зависимость элемента матрицы рассеяния ячейки Флоке на частоте 8 ГГц от угла сканирования. На рис. 12 кривые 1 и 2 демонстрируют соответственно действительную и мнимую части элемента матрицы S31. Отмечаем резкие изломы кривых 1 и 2 в области углов от 23° до 25°. и Е-плоскости (б).
Рис. 10. Напряженность поля для кластера антенн Вивальди на частоте 5 ГГц: отклонение луча 0 (1), 15 (2), 30 (3) и 45 град (4), сканирование в Н- (а) и Е-плоскости (б).
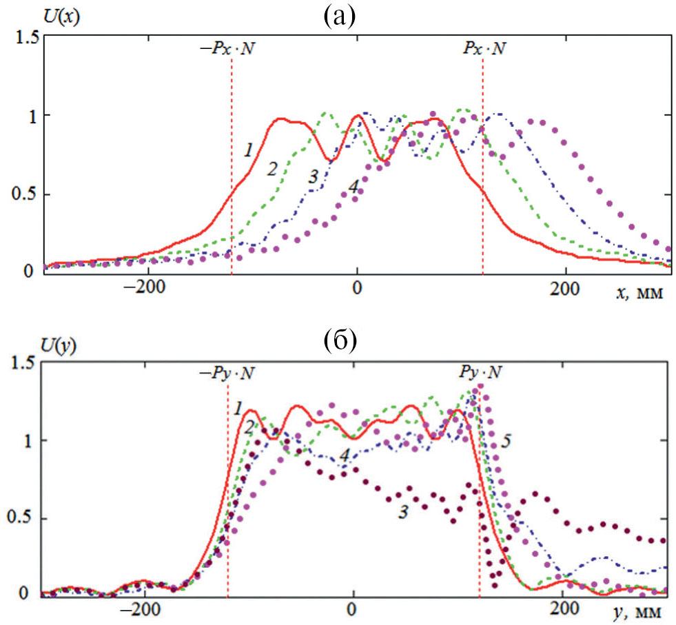
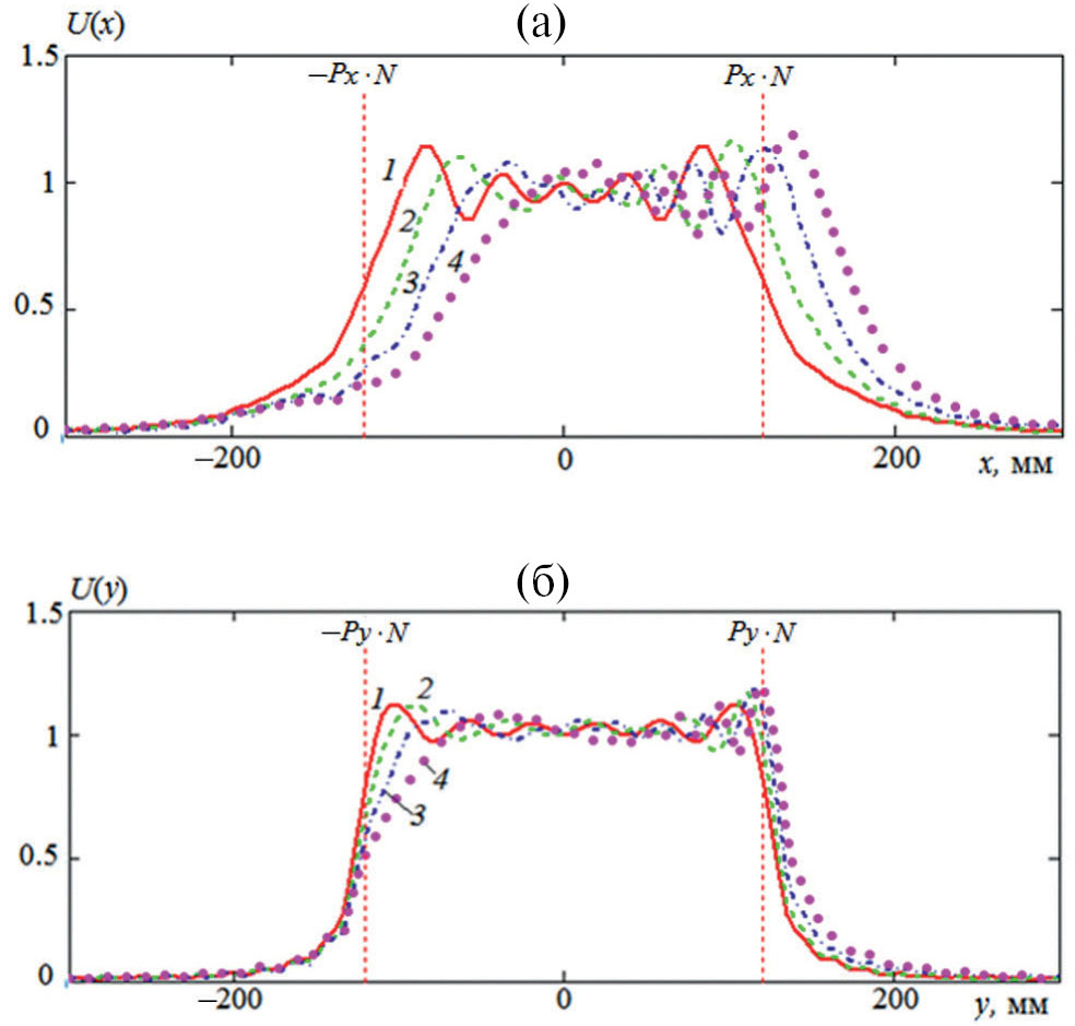
Рис. 11. Напряженность поля для кластера антенн Вивальди на частоте 8 ГГц: отклонение луча 0 (1), 15 (2), 30 (3) и 45 град (4), сканирование в Н- (а) и Е-плоскости (б).
Можно предположить, что в указанном диапазоне углов картина напряженности электрического поля будет наихудшей из всех рассмотренных. Кривая 3 на рис. 11 подтверждает это предположение. Аномальное поведение параметров рассеяния канала Флоке для антенн Вивальди было описано в работе [13]. Оно аналогично эффекту ослепления, наблюдаемому во многих типах решеток. Предлагаемый метод борьбы с этим явлением — уменьшение длины элемента решетки L.
Для подтверждения этого утверждения рассмотрим кластер антенн Вивальди, аналогичный уже исследованному, но уменьшенной длины (L = 90), назовем его укороченным кластером (см. рис. 12). Кривые 3 и 4 — соответственно действительная и мнимая части элемента матрицы S31 ячейки Флоке для укороченного кластера. Отмечаем отсутствие особенностей во всем диапазоне углов. На рис. 13а, 13б показаны результаты расчетов нормированной напряженности электрического поля при сканировании укороченного кластера от 0 до 45 град в E- и Н-плоскостях для частоты 8 ГГц. Сравнивая характеристики сканирования в Н-плоскости для кластеров с L = 180 и 90 мм, отмечаем существенное уменьшение расплывания поля в случае укороченного кластера.
Рис. 12. Зависимость действительной (1, 3) и мнимой (2, 4) частей параметра рассеяния S31 ячейки Флоке для решетки антенн Вивальди от угла сканирования на частоте 8 ГГц при L = 180 (сплошные кривые) и L = 90 (штриховые).
Рис. 13. Напряженность поля для укороченного кластера на частоте 8 ГГц: отклонение луча 0 (1), 15 (2), 30 (3) и 45 град (4), сканирование в Н- (а) и Е-плоскости (б).
4. Собственные волны решетки и трансформация поля
Проанализируем и объясним представленные выше численные результаты с позиции собственных волн бесконечной двумерной СШП-решетки. Как уже отмечалось во Введении, собственные волны решетки антенн Вивальди были исследованы в работе [19], а решетки ТЕМ-рупоров — в [14]. Несмотря на заметные отличия в конструкции этих структур, качественно характеристики их собственных волн весьма близки. Перечислим их наиболее важные для нашего анализа черты.
Под собственной волной регулярной вдоль оси 0z решетки понимаем решение, удовлетворяющее условию периодичности с параметрами периодичности и имеющее зависимость от координаты z вида , где — постоянная распространения волны. Задача на собственные волны имеет бесконечное множество решений, из которых выделяются две волны, не имеющие частоты отсечки. Такие волны принято называть основными. Отметим, что нормальное функционирование решетки происходит в области параметров, в которой распространяются только волны основных типов.
В общем случае параметры собственных волн зависят от параметров сканирования и геометрии решетки. Структуры, рассмотренные в разд. 3 и 4, можно рассматривать как регулярные решетки с медленно изменяющимися вдоль оси 0z параметрами. При таком подходе на входе решетки возбуждаются основные распространяющиеся волны. Далее они бегут по направлению к выходной апертуре, изменяясь при этом благодаря изменению геометрических размеров, и в результате формируют поле в выходной апертуре, которое затем излучается в свободное пространство. Таким образом, поле на выходе решетки существенным образом зависит от свойств собственных волн.
Как показывают результаты работ [14, 19], волны в решетке, не имеющей диэлектрических элементов, разделяются на волны типа ТЕ, ТМ и Т. Основные волны относятся к Т- и ТЕ-волнам; Т-волна имеет все характерные для таких волн особенности. Ее постоянная распространения β, независимо ни от чего, и в том числе независимо от параметров равна волновому числу свободного пространства k. Постоянная распространения ТЕ-волны, наоборот, зависит от параметров периодичности при она равна k, а при их увеличении она уменьшается.
Для нашего анализа важно отметить поляризационные характеристики собственных волн. Ориентация их плоскостей преимущественной поляризации зависит от параметров Для нас важно, что при и вектор электрического поля Т-волны ориентирован вдоль оси 0у, а аналогичный вектор ТЕ-волны ориентирован вдоль оси 0х. При наоборот, вектор электрического поля Т-волны ориентирован вдоль оси 0х, а аналогичный вектор ТЕ-волны ориентирован вдоль оси 0у.
Сосредоточенные порты в рассмотренных выше решетках ориентированы вдоль оси 0у. Поэтому они возбуждают только волны, поляризованные вдоль этой оси. Таким образом, приходим к выводу, что кластер, бесконечный вдоль оси 0х, отвечающий условию (см. выше), возбуждает Т-волны, а кластер, бесконечный вдоль оси 0у, отвечающий условию возбуждает ТЕ-волны. Соответственно, сканирование в Е- и Н-плоскостях происходит путем селективного возбуждения соответственно Т- и ТЕ-волн.
Отсюда можно сделать вывод, что существенное отличие в поведении поля при сканировании в разных плоскостях обусловлено отличиями в свойствах собственных волн. Выше мы показали (см. формулы (8), (9)), что поля в портах 2 и 3 зависят от поведения параметров
В рамках теории волноводов с медленно меняющимися параметрами [18] прохождение собственной волны с единичной амплитудой через нерегулярный участок может быть описано системой дифференциальных уравнений относительно амплитуд взаимодействующих волн: прямых и встречных волн разных типов. Связь между различными волнами описывается с помощью коэффициентов связи. В отсутствие критических сечений в пределах нерегулярного участка коэффициенты связи являются малыми параметрами задачи. Поэтому в рамках нулевого приближения ими можно пренебречь. Тогда модуль коэффициента прохождения волны равен единице, а фаза определяется интегралом от переменной на нерегулярном участке постоянной распространения волны. С учетом того, что при вдоль оси 0z распространяется Т-волна, а при ТЕ-волна параметры рассеяния в нулевом приближении могут быть записаны следующим образом:
где — постоянные распространения Т- и ТЕ-волн. Как отмечалось выше, постоянная распространения Т-волны не зависит от переменных Поэтому коэффициент передачи также не зависит от параметра По этой причине все парциальные волны с разными получают при прохождении от точки возбуждения до точки выхода одинаковые фазовые сдвиги. В результате поле на выходе при сканировании в Е-плоскости повторяет поле на входе.
Иная ситуация при сканировании в плоскости Н. Постоянная распространения ТЕ-волны зависит от параметра . Следует обратить внимание на то, что даже слабая ее зависимость может приводить к существенному изменению фазы коэффициента прохождения , так как электрический размер решетки вдоль оси 0z является большой величиной. В результате парциальные волны с разными получают при прохождении от точки возбуждения до точки выхода разные фазовые сдвиги, и поэтому распределение поля на выходе решетки искажается, что выражается в его отличии от распределения во входной плоскости.
Представленный выше качественный анализ показывает, что в Е-плоскости искажения поля должны полностью отсутствовать. Более точное электродинамическое моделирование показывает, что они существуют, но выражены существенно слабее, чем в Н-плоскости.
Представленные выше результаты показывают, что в плоскости вектора бесконечная решетка может быть ограничена областью с размерами, близкими к размерам кластера. При этом параметры получаемой решетки конечных размеров будут слабо отличаться от параметров бесконечного прототипа. В плоскости вектора ситуация иная. Попытка ограничить размеры решетки размерами кластера приведет к сильным краевым эффектам, особенно при отклонении главного луча от нормали. Эти краевые эффекты могут быть источником искажений в диаграмме направленности. Возможно, что правильным подходом является расширение размеров решетки в данной плоскости. Отметим, что число активных каналов при этом не увеличивается. Дополнительные каналы не участвуют в возбуждении решетки и могут быть нагружены на согласованные нагрузки.
Авторы данной работы заявляют об отсутствии конфликта интересов.
Финансирование работы
Работа выполнена при финансовой поддержке Министерства образования и науки Российской Федерации в рамках государственного задания Института радиотехники и электроники им. В. А. Котельникова РАН.
Благодарности
Авторы благодарны коллегам за ценные рекомендации при обсуждении данной работы на научном семинаре лаборатории “Электродинамика сложных сред и структур”.
Об авторах
С. Е. Банков
Институт радиотехники и электроники им. В. А. Котельникова РАН
Email: duplenkova@yandex.ru
Россия, ул. Моховая, 11, стр. 7, Москва, 125009
М. Д. Дупленкова
Институт радиотехники и электроники им. В. А. Котельникова РАН
Автор, ответственный за переписку.
Email: duplenkova@yandex.ru
Россия, ул. Моховая, 11, стр. 7, Москва, 125009
Список литературы
- Иммореев И.Я. // РЭ. 2009. Т. 54. № 1. С. 5.
- Haghpanah M., Kashani Z.G., Param A.K. // 30th Intern. Conf. on Electrical Engineering (ICEE). IEEE. 2022. P. 42.
- Panzer B., Gomez-Garcia D., Leuschen C. et al. // J. Glaciology. 2013. V. 59. № 214. P. 244.
- Rodriguez-Morales F., Gogineni S., Leuschen C.J. et al. // IEEE Trans. 2013. V. GRS-52. № 5. P. 2824.
- Patel A., Paden J., Leuschen C. et al. // IEEE Trans. 2014. V. GRS-53. № 5. P. 2547.
- Liu H., Yang Z., Yue Y. et al. // NDT & E International. 2023. V. 133. Article No. 102726.
- Yarovoy A.G., Ligthart L.P. // Proc. Int. Symp. on Antennas for Radar Earth Observation. Delft. 8–9 Jun. 2000. Delft: Univ. of Technology.
- McGrath D.T., Baum C.E. // IEEE Trans. 1999. V. AP-47. № 3. P. 469.
- Elmansouri M.A., Ha J., Filipovic D.S. // IEEE Trans. 2017. V. AP-65. № 3. P. 1374.
- Elmansouri M.A., Filipovic D.S. // IET Microw. Antennas Propag. 2017. V. 11. № 15. P. 2134.
- Калошин В.А., Ле Н.Т., Фролова Е.В. // Журн. радиоэлектроники. 2020. № 4.http://jre.cplire.ru/jre/apr20/2/text.pdf
- Fedorov V.M., Efanov M.V., Ostashev V.Y. et al. // Electronics. 2021. V.10. № 9. Article No. 1011.https://doi.org/10.3390/electronics10091011
- Банков С.Е., Дупленкова М.Д. // РЭ. 2018. Т. 63. № 1. С. 25.
- Банков С.Е., Калошин В.А., Нгуен К.З. // РЭ. 2018. Т. 63. № 7. С. 702.
- Банков С.Е., Калошин В.А., Ле Н.Т. // РЭ. 2018. Т. 63. № 12. С. 1263.
- Амитей Н., Галиндо В., Ву Ч. Теория и анализ фазированных антенных решеток. М.: Мир, 1974.
- Банков С.Е., Курушин А.А., Гутцайт Э.М. Решение оптических и СВЧ задач с помощью HFSS. М.: Оркада, 2012.
- Каценеленбаум Б.З. Теория нерегулярных волноводов с медленно меняющимися параметрами. М.: Изд-во АН СССР, 1961.
- Банков С.Е., Скородумова Е.А. // РЭ. 2015. Т. 60. № 5. С. 470.
- Банков С.Е., Дупленкова М.Д. // РЭ. 2015. Т. 60. № 6. С. 618.
- Грачёв Г.Г., Калошин В.А. // Журн. радиоэлектроники. 2020. № 1.http://jre.cplire.ru/jre/jan20/6/text.pdf.
- Bankov S.E., Duplenkova M.D. // IEEE8th All-Russian Microwave Conf. (RMC). Moscow, Russian Federation. 2022. P. 178.https://doi.org/10.1109/RMC55984.2022.10079619
- Корн Г., Корн Т. Справочник по математике для научных работников и инженеров. М.: Наука, 1977.
Дополнительные файлы
















