Studying the accuracy of geometrized models of ribbon electron beams
- Authors: Sapronova T.M.1, Syrovoy V.A.1
-
Affiliations:
- Russian Federal Nuclear Center All-Russian Scientific Research Institute of Technical Physics named after academician E.I. Zababakhin
- Issue: Vol 69, No 3 (2024)
- Pages: 260-287
- Section: ЭЛЕКТРОННАЯ И ИОННАЯ ОПТИКА
- URL: https://journal-vniispk.ru/0033-8494/article/view/266088
- DOI: https://doi.org/10.31857/S0033849424030078
- EDN: https://elibrary.ru/JUZAEZ
- ID: 266088
Cite item
Full Text
Abstract
Using a set of standard exact solutions described by ordinary differential equations and elementary functions, geometrized models of plane electron beams in l-, and W-representations were studied. A comparison is made of the capabilities of the geometrized approach and the paraxial theory.
Full Text
Введение
Последние десятилетия характеризуются повышенным интересом специалистов по сильноточной электронике к разномасштабным задачам: осесимметричным пучкам с высокой компрессией и потокам с сильно вытянутым прямоугольным или эллиптическим сечением, также существенно изменяющим свои размеры. Исследования по преимуществу проводятся с использованием коммерческих программ траекторного анализа, вопросы тестирования которых остаются открытыми, а несоответствие результатам теории в сингулярной прикатодной зоне и необеспеченность формирования торцов ленточных пучков очевидны. Точность математических моделей не является единственным фактором, определяющим успешную разработку новой техники. Однако неадекватность моделирования, выражающаяся в неподтвержденной способности проводить расчеты с ошибкой порядка десятых долей процента, и грубые для такой точности нарушения принятой гидродинамической картины потока вблизи катода, могут быть компенсированы только за счет экспериментальной доводки прибора.
Применение лобовых численных методов не всегда является обязательным, что демонстрируют результаты работ по трехмерным многопучковым системам [1], эллиптическим [2], осесимметричным и ленточным пучкам [3–5] с высокой компрессией. Приближенные теоретические модели могут не только приводить к решению подобных задач с требуемой точностью, но и быть полезны в качестве нулевого приближения при разработке электронно-оптических систем с принципиально новыми параметрами. Такого рода проблемы, в которых отсутствуют заданные электроды, а известны только желаемые характеристики пучка по геометрии, току и напряжению, являются по сути задачами синтеза, решаемыми численными методами.
Приближенные теоретические модели основываются на классической теории сплошных параксиальных потоков, узких криволинейных трубчатых и ленточных пучков [6], теории Овчарова [7, 8] для двумерных течений, трехмерной параксиальной теории Данилова [9], моделях пучков с эллиптическим сечением [10–13] и геометризованных моделях [14–18]. Построения, относящиеся к ленточным пучкам неограниченной ширины, позволяют рассматривать выделенные из них фрагменты с эллиптическим или прямоугольным сечением.
Геометризованная теория плотных релятивистских потоков основана на введении заранее неизвестной, в общем случае неортогональной, системы координат (i = 1, 2, 3), связанной с траекториями (линии x1) или трубками тока (поверхности ). Уравнения пучка дополняются условиями эвклидовости пространства – нелинейными уравнениями в частных производных второго порядка относительно элементов метрического тензора . Полученную систему в двумерном случае удалось представить в виде соотношения на трубке тока и эволюционных уравнений, которые позволяют нарастить “тело” пучка на заданную базовую поверхность с известными продольными распределениями геометрических и физических параметров.
Соотношение на трубке тока имеет вид обыкновенного дифференциального уравнения второго порядка относительно функции , продольной переменной в котором может быть произвольная функция длины дуги образующей , , в то время как поперечная координата x2 входит как параметр. Эволюционная система образована уравнениями в частных производных первого порядка от параметров задачи по x2, правые части которых определены продольными зависимостями на базовой трубке тока. Этот вариант геометризованной теории удобно называть l-представлением [14].
В работах [15–17] построено φ-представление теории с потенциалом φ электрического поля в качестве продольной координаты во всем поле течения. Неортогональность системы в l-варианте носила локальный характер и была связана с выполнением условий термоэмиссии в - и T-режимах. В φ-варианте система в принципе неортогональна. От l- к φ-представлению нельзя перейти по формулам, связывающим уравнения в двух криволинейных системах. Потенциал φ, утратив статус искомой функции и становясь независимой переменной, меняет структуру исходных уравнений, в частности, уравнение Пуассона становится уравнением первого порядка.
Третий вариант геометризованной теории, W-представление [18], основан на использовании потенциала обобщенного импульса для отсчета в продольном направлении во всем поле течения, . Условием потенциальности потока является отсутствие нормальной компоненты магнитного поля на катоде.
Цель работы – исследование точности трех вариантов геометризованных моделей с использованием эталонных точных решений уравнений плоского пучка, описываемых обыкновенными дифференциальными уравнениями и элементарными функциями, и сопоставление результатов с классическим параксиальным подходом. Вопросам тестирования приближенных моделей посвящены также работы [19–21].
Задачей геометризованных построений в системе, связанной с трубками тока, является формулировка всех параметров пучка в виде фрагментов рядов Тэйлора по поперечной координате x2. В общем случае для этого необходимо проинтегрировать соотношение на базовой поверхности в первом, втором, третьем и т.д. приближениях относительно функций , , … (). При тестировании распределения параметров и форма базовой поверхности определяются точным решением. Однако в численном интегрировании упомянутых соотношений нет необходимости. Задача сводится к записи эталонного решения в системе x1, x2, построении первых членов ряда Тэйлора для известных параметров потока и сравнении результата с точными выражениями. Сопоставление геометризованной и параксиальной моделей возможно в задачах, где условия эмиссии допускают использование последней: например, параксиальная теория не подходит для описания осесимметричного и планарного гиротронов при эмиссии в -режиме.
Ограничимся фрагментами рядов Тэйлора с третьими производными, учитывая, что общие геометризованные модели построены до третьего приближения включительно [14].
1. Течение с траекториями-окружностями
Решение [22] описывает эмиссию в -режиме с полуплоскости и траекториями (R, – полярные координаты) при отсутствии магнитного поля (рис. 1):
(1)
где φ, J – потенциал электрического поля, плотность пространственного заряда и плотность тока эмиссии соответственно. Выражения в (1) и ниже записаны в нормировках, устраняющих все физические постоянные используемой системы единиц из уравнений пучка [6, 14].
Рис. 1. Течение с траекториями-окружностями с полуплоскости ψ = 0, ρ-режим.
Полярные координаты связаны с геометрией течения, поэтому вопрос о точности геометризованной модели сводится к построению ряда Тэйлора по поперечной координате для наиболее быстро меняющейся функции – . В работе [20] отмечено влияние вида этой переменной на точность приближенного решения. Примем за ось пучка линию R = 1. Результаты двух вариантов определения поперечной координаты:
(2)
приведены в табл. 1, 2 ( – граница пучка, – точное значение, – три приближения геометризованной модели и параксиальное приближение, характеризуемое постоянной плотностью тока по сечению пучка, – относительная ошибка в процентах).
Таблица 1. Течение с траекториями-окружностями,
, % | ||||||||||
1.1 | 0.1 | 0.62092 | 0.5 | 0.65 | 0.615 | 1 | 19.47 | 4.68 | 0.95 | 61.05 |
0.9 | −0.1 | 1.69351 | 1.5 | 1.65 | 1.685 | 1 | 11.43 | 2.57 | 0.50 | 40.95 |
1.15 | 0.15 | 0.49718 | 0.25 | 0.5875 | 0.447 | 1 | 49.72 | 18.17 | 5.59 | 101 |
0.85 | −0.15 | 2.25 375 | 1.75 | 2.0875 | 2.206 | 1 | 22.35 | 7.38 | 2.14 | 55.63 |
1.2 | 0.2 | 0.40190 | 0 | 0.6 | 0.32 | 1 | 100 | 49.29 | 20.38 | 149 |
0.8 | −0.2 | 3.05180 | 2 | 2.6 | 2.88 | 1 | 34.46 | 14.80 | 5.63 | 67.23 |
Примечания. В таблицах 1–5 для параметров , первые три столбца соответствуют трем приближениям геометризованной теории, четвертый – параксиальной модели.
Таблица 2. Течение с траекториями-окружностями,
Re | , % | |||||||
1.1 | 0.09531 | 0.62092 | 0.5235 | 0.6370 | 0.6190 | 15.70 | 2.59 | 0.52 |
0.9 | −0.10536 | 1.69351 | 1.5268 | 1.6656 | 1.6899 | 9.84 | 1.64 | 0.20 |
1.15 | 0.13976 | 0.49718 | 0.3012 | 0.5454 | 0.4885 | 39.42 | 9.69 | 1.75 |
0.85 | −0.16252 | 2.25375 | 1.8126 | 2.1428 | 2.2322 | 19.57 | 4.93 | 0.96 |
1.2 | 0.18232 | 0.40190 | 0.088 | 0.504 | 0.378 | 78.10 | 25.40 | 5.90 |
0.8 | −0.22314 | 3.05180 | 2.1157 | 2.7381 | 2.9696 | 30.67 | 10.28 | 2.69 |
Видно, что во всех случаях уже первое приближение геометризованной теории имеет бòльшую точность, чем параксиальный подход, высшие приближения улучшают результат, а переход от к существенно снижает уровень ошибки. Использование в качестве функций , также приводит к повышению точности, но не столь значительному, как в табл. 2:
(3)
Использование φ-варианта геометризованной теории для рассматриваемого решения невозможно из-за появления сингулярной линии совпадающей с линией симметрии.
2. Эмиссия со спирального катода
В спиральных координатах p, q, связанных с полярными координатами R, соотношениями
(4)
где – коэффициенты Ляме, существует точное решение вида
(5)
Условия термоэмиссии могут быть выполнены на кривой p = 0; – компоненты скорости. При имеем , так что априорно известны спиральные траектории ; в случае потенциал постоянен на линиях .
Эквипотенциали – спирали, l-представление. Ортогональная система, связанная с траекториями потока, определена формулами
(6)
Производные от координат p, q по новым переменным , и коэффициенты Ляме в этой системе описываются выражениями
(7)
Для высших производных от p, q имеем
(8)
Пусть – уравнение оси:
(9)
Формулы (7)–(9) позволяют построить ряды, соответствующие трем приближениям геометризованной теории
(10)
Уравнения (10) при фиксированном значении являются параметрическими уравнениями (р – параметр) для приближенной границы пучка. Для оценки ошибки ее достаточно сравнить с точной кривой
(11)
Чтобы провести аналогичное сравнение для потенциала, представим функцию в виде
(12)
Третья производная может быть выражена через производные низших порядков из системы дифференциальных уравнений для решения (5)
(13)
Эквипотенциали – спирали, φ-представление. Введем неортогональную систему x1, x2 с потенциалом в качестве продольной координаты
(14)
Для первых производных от p, q по x1, x2 имеем
(15)
Метрика в системе (14) определена формулами
(16)
причем все высшие производные от p, q по – нули.
В результате для траектории получим точное выражение
(17)
Наиболее быстро меняющейся функцией для рассматриваемых в этом разделе решений является плотность тока эмиссии. Учитывая, что на катоде значения и q совпадают, имеем ()
(18)
Значения , и относительной ошибки приведены в табл. 3 для . Радиус кривизны катода на базовой поверхности равен 1.09, а расстояние между верхней и нижней кромками пучка составляет 0.971 и имеет тот же порядок величины при перепаде плотности тока . Пучок с такими параметрами является существенно непараксиальным и рассчитывается с ошибкой 0.15 %.
Подчеркнем, что при работе в неортогональной системе в силу (15) точно определяется не только траектория, но и все зависящие от р функции.
Траектории – спирали, l-представление. Для решения (5) при ортогональная система р, q изначально связана с геометрией потока. Чтобы оценить ошибку приближенного вычисления траекторий в геометризованной модели, необходимо рассмотреть функции
(19)
разложив их в ряд по q вблизи оси :
(20)
Рис. 1. Течение с траекториями-окружностями с полуплоскости ψ = 0, ρ-режим.
На рис. 2 приведены граница пучка и форма катода в трех приближениях геометризованной модели для расходящегося и сходящегося потоков. Все функции продольной координаты р определены точным решением. Для плотности тока имеем
(21)
Рис. 2. Граница пучка и форма катода в трёх приближениях (1, 2, 3) l-представления геометризованной теории (4 ‒ точное решение, траектории – спирали), расходящийся поток (а), сходящийся поток (б).
Таблица 3. Течение со спирального катода с эквипотенциалями p = const, φ-представление
q | δJ, % | ||||||
0.1 | 0.92312 | 0.92000 | 0.92320 | 0.92311 | 0.34 | 0.0087 | 0.0011 |
0.3 | 0.78663 | 0.76000 | 0.78880 | 0.78650 | 3.39 | 2.76 | 0.017 |
0.5 | 0.67032 | 0.60000 | 0.68000 | 0.66933 | 10.49 | 1.44 | 0.15 |
−0.1 | 1.08329 | 1.08000 | 1.08320 | 1.08329 | 0.30 | 0.0083 | 0.00072 |
−0.3 | 1.27125 | 1.24000 | 1.26880 | 1.27110 | 2.46 | 0.19 | 0.012 |
−0.5 | 1.49182 | 1.40000 | 1.48000 | 1.49067 | 6.15 | 0.79 | 0.077 |
Таблица 4. Течение со спирального катода с траекториями q = const, l-представление
q | δJ, % | ||||||
0.1 | 0.81873 | 0.80000 | 0.82000 | 0.81867 | 2.29 | 0.15 | 0.0073 |
0.2 | 0.67032 | 0.60000 | 0.68000 | 0.66933 | 10.49 | 1.45 | 0.15 |
0.3 | 0.54881 | 0.40000 | 0.58000 | 0.54400 | 18.00 | 5.68 | 0.88 |
0.4 | 0.44933 | 0.20000 | 0.52000 | 0.43467 | 53.99 | 19.63 | 3.26 |
0.5 | 0.36788 | 0.00000 | 0.50000 | 0.33333 | 100 | 35.91 | 9.39 |
В табл. 4 приведены точные и приближенные значения этого параметра и уровень относительной ошибки.
Траектории – спирали, φ-представление. Неортогональная система x1, x2 при имеет вид
(22)
Высшие производные от q по равны нулю, а для производных от р получаем
(23)
Траектории в системе (22) определяются точно, а для сравнения приближенного и точного значений зависящих от р функций необходимо учесть приближенное выражение для этой координаты, описываемое формулами (12) при замене . Использование в (12) формул из (22), (23) приводит к факторизации зависимости от р и ошибке, не зависящей от этой координаты:
(24)
Точка р на оси пучка задает значение потенциала , сохраняющееся на эквипотенциали при переходе на траекторию Точное значение φ на новой траектории в точке в которую мы приходим, необходимо сравнить со значением
(25)
Отличие от единицы комплекса
(26)
определяет ошибку приближенного решения, которая совпадает с оценкой плотности тока эмиссии в табл. 3. Для существенно непараксиального потока она составляет десятые доли процента.
Таким образом, при работе в ортогональной системе с решением (5) при приближенно вычисляется траектория, а в варианте неортогональной системы – функции от р с точностью, определяемой только удалением от оси пучка. Ошибка при расчете плотности тока эмиссии одинакова.
Траектории – спирали, параксиальная модель. Параксиальная модель спирального потока с осью описывается уравнением для толщины пучка и точным соотношением для потенциала
(27)
где l, – длина дуги и кривизна оси, соответственно.
Перейдем к аргументу р в уравнении для f и исключим из него вторую производную потенциала
(28)
Получим начальные данные f0, для уравнения (28). Отсчитанное по нормали к оси расстояние f между траекториями и точного решения входит в формулы, связывающие координаты () и ():
(29)
Величина соответствует точке p = q = 0. Уравнения (29) для этого случая могут быть трансформированы следующим образом:
(30)
причем первое из них служит для вычисления .
Параметр является функцией р. Продифференцируем соотношения (29) по р и исключим комплекс , записав результат при р = 0:
(31)
Выражения (30), (31) определяют начальные данные для уравнения (21), в котором вместе с уравнением (27) постоянная может быть исключена при помощи дополнительной нормировки:
(32)
Точные значения полного тока и трех приближений геометризованной теории определены следующими формулами, причем параксиальному приближению соответствует первый член ряда:
(33)
Значения этих параметров и величина относительной ошибки приведены в табл. 5 для пучков разной ширины.
3. Периодическое электростатическое течение
Геометризованная модель, l-представление. Для решения [24] (рис. 3) возможен только l-вариант геометризованной теории, так как в φ-представлении все элементы метрического тензора в плоскости инжекции х = 0 обращаются в бесконечность вследствие того, что эквипотенциали в этом сечении касательны к траекториям:
(34)
где u, v – компоненты скорости в декартовых координатах.
Ортогональная система, связанная с трубками тока , определена формулами
(35)
Коэффициенты Ляме, точные значения потенциала, нормального поля, плотности пространственного заряда и кривизны траектории описываются выражениями
(36)
Для производных от х, у по новым координатам x1, x2 получаем
(37)
Параметрические уравнения границы пучка с параметром х определены выражениями
(38)
Таблица 5. Течение со спирального катода с траекториями q = const, сопоставление по току пучка I с параксиальной моделью
q | Iex | Iap | δI, % | ||||
0.1 | 0.092411 | 0.1 | 0.09200 | 0.092427 | 8.20 | 0.44 | 0.018 |
0.2 | 0.17116 | 0.2 | 0.16800 | 0.17141 | 16.90 | 1.84 | 0.15 |
0.3 | 0.23826 | 0.3 | 0.22800 | 0.23952 | 25.90 | 4.31 | 0.53 |
0.4 | 0.29544 | 0.4 | 0.27200 | 0.29931 | 35.39 | 7.93 | 1.30 |
0.5 | 0.34417 | 0.5 | 0.30000 | 0.35333 | 45.28 | 12.83 | 2.66 |
Рис. 3. Плоское периодическое электростатическое течение, штриховые линии – эквипотенциали, сплошные – траектории.
Для трех приближений потенциала при использовании соотношений (38) имеем
(39)
где φ – потенциал на базовой трубке тока.
Формулы для прочих параметров пучка могут быть получены аналогичным образом.
Параксиальные модели рассматриваемого и последующих эталонных точных решений построены в работе [21].
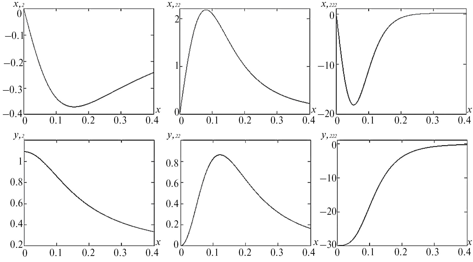
Результаты расчетов. На рис. 4 приведены функции из (37), по которым можно судить о тенденции рядов к сходимости.
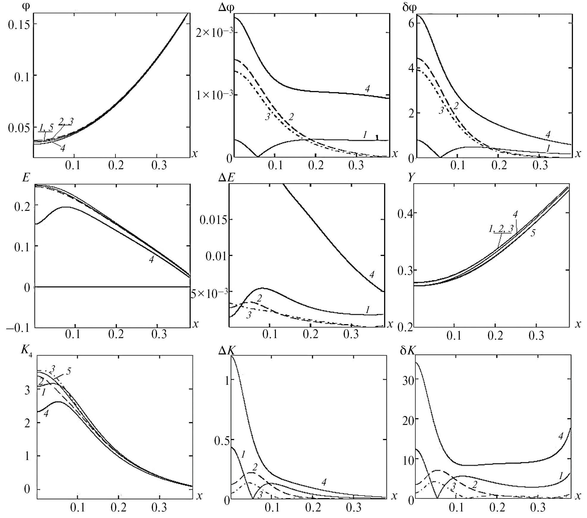
Значения параметров приближенного решения с базовой трубкой тока ( – траектория-сепаратриса) при начальной ширине пучка , полученные на основании геометризованной (столбцы 1–3) и параксиальной (столбец 4) моделей, содержит табл. 6 (точные величины φ, Е, k с индексами соответствуют оси пучка при х = 0). Для кривизны границы пучка и поля на границе введены аналогичные обозначения. Координаты максимумов абсолютной разности и относительной ошибки необязательно совпадают.
Из табл. 6 видно, что при достаточно большом для этого решения значении в целом более выгодным оказывается третье приближение, хотя монотонная сходимость по приближениям для φ, Е нарушена в плоскости инжекции. Третье приближение позволяет вычислить потенциал и кривизну границы с ошибкой , поле – с ошибкой . Параксиальная модель сильно ему уступает: , , . Сама граничная траектория в параксиальном приближении вычисляется с большей точностью, чем при геометризованном описании: и соответственно. Траектория и ее кривизна вычисляются независимым образом, что и объясняет различие приведенного уровня ошибок.
Величина составляет примерно пятую часть от характерного линейного размера задачи На рис. 5 приведены функции φ, , ; E, ; k, , ; за пределами рисунков отклонения от точных значений уменьшаются.
Рис. 4. Производные от х, у по x1, x2 для периодического течения.
Таблица 6. Параметры плоского периодического течения в трех приближениях l-представления теории и на основании параксиальной модели
φex0 = 0.0352, Eex0 = 0.2466, kex0 = 3.504, f(0) = 0.05 | ||||
Параметр | Номер приближения | |||
1 | 2 | 3 | 4 | |
Δφm xΔ φexΔ φapΔ δφm xδ δφΔ δφ0 | 2.83 × 10−3 0.186 0.0671 0.0668 0.79 0 0.42 0.79 | 1.56 × 10−3 0 0.0352 0.0368 4.44 0 4.44 4.44 | 1.38 × 10−3 0 0.0352 0.0366 3.91 0 3.91 3.91 | 2.23 × 10−30 0.0352 0.0330 6.35 0 6.35 6.35 |
ΔEm xΔ EexΔ EapΔ δEm xδ δEΔ δE0 | 5.43 × 10−3 0.082 0.2238 0.2293 6.45 0.377 2.43 0.57 | 3.50 × 10−3 0.05 0.2375 0.2340 1.48 0.055 1.48 1.10 | 3.34 × 10−3 0 0.2466 0.2433 1.36 0 1.36 1.36 | 0.094 0 0.2466 0.1523 38.25 0.1523 38.25 38.25 |
Δkm xΔ kexΔ kapΔ δkm xδ δkΔ δk0 | 0.432 0 3.504 3.072 12.34 0 12.34 12.34 | 0.222 0.05 3.170 2.948 7.09 0.05 7.00 3.48 | 0.135 0.045 3.226 3.361 4.21 0.04 4.19 1.37 | 1.194 0 3.504 2.310 34.06 0 34.06 34.06 |
Примечания. Здесь и далее в таблицах: и – максимальное отклонение от точного значения для потенциала и соответствующая координата на оси пучка; и – относительная ошибка в процентах и координата, в которой достигается максимум; , – относительные ошибки в точке максимальной абсолютной разности и в плоскости инжекции.
Укажем уровень ошибок для более узких пучков, демонстрирующий быстрый рост при сопоставлении со случаем f(0) = 0.05. При f(0) = 0.02, 0.03 имеем
(40)
Параксиальная модель при улучшает свои показатели по сравнению с табл. 6, однако продолжает сильно отставать от геометризованного подхода:
(41)
4. Поток с гиперболическими траекториями в однородном магнитном поле
Решение с траекториями-гиперболами (рис. 6) описывается соотношениями [24]
(42)
Тестовая задача о потоке с гиперболической осью при позволяет исследовать электростатические течения [25] и оценить влияние кривизны базовой траектории в точке старта х = 1. Величина возрастает с увеличением параметров и
(43)
Рис. 5. Функции, характеризующие приближенные модели для периодического течения.
Рис. 6. Течение с траекториями-гиперболами в однородном магнитном поле.
Значения производной кривизны
(44)
при достигает 330.
Как и в предыдущем случае (разд. 3), использование φ-варианта теории невозможно из-за одинакового наклона траекторий и эквипотенциалей в плоскости инжекции y = 0. Однако эта тестовая задача позволяет судить об эффективности трех моделей: параксиальной и геометризованной в l- и W-представлениях.
Геометризованная модель, l-представление. Ортогональная система x1, x2, связанная с трубками тока , определена выражениями
(45)
Для коэффициентов Ляме и параметров пучка из точного решения имеют место формулы
(46)
Производные от декартовых координат х, y по криволинейным координатам , описываются выражениями
(47)
Формулы (38) справедливы и в этом случае при , а для потенциала имеем
(48)
Геометризованная теория, W-представление. Неортогональная система координат , и соответствующая ей метрика описываются следующими соотношениями:
(49)
Точные значения параметров пучка для эталонного решения те же, что и в (46). Для производных от x, y по , получаем
(50)
Приближенные выражения для параметров потока те же, что и в случае ортогональной системы, например, (48) для φ.
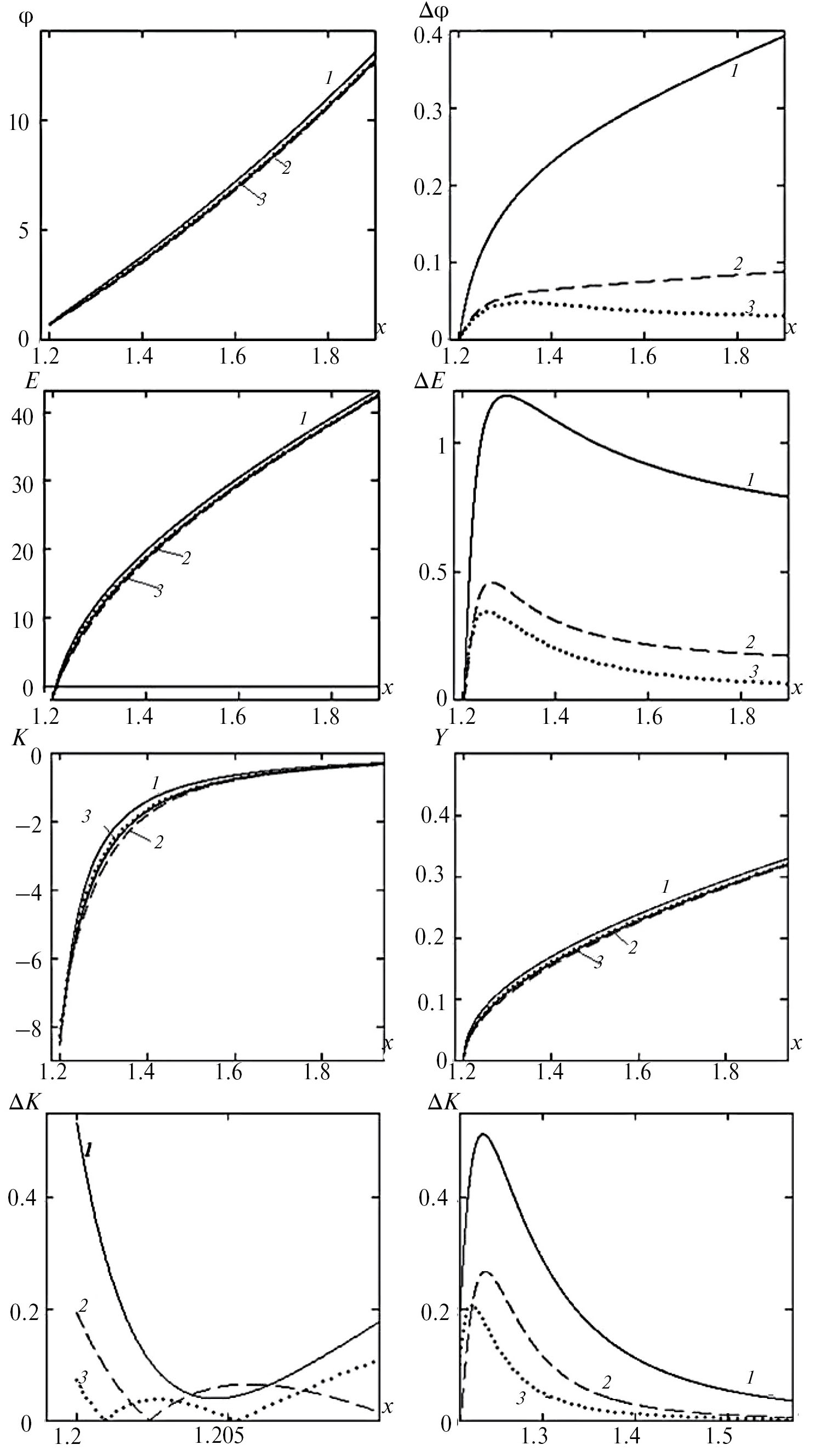
Результаты расчетов. Зависимость коэффициентов (26) от продольной координаты при , 5, 10 представлена на рис. 7. Поведение параметров электростатического потока в трех приближениях l-модели и в параксиальном случае демонстрирует рис. 8 при .
В табл. 7 приведена числовая информация для этого варианта. Результаты параксиальной теории значительно уступают данным геометризованной модели, сходимость по приближениям которой явно прослеживается, особенно по полю Е и кривизне k: , против , . Максимальная ошибка задачи в третьем приближении меньше 1 %, а ее рост при увеличении толщины пучка в два раза, до , отражен в табл. 8.
Рис. 7. Производные от х, у по x1, x2 для течения с траекториями-гиперболами (а), в окрестности плоскости инжекции (б) при Ω = 1 (1), 5 (2) и 10 (3).
Перейдем к рассмотрению потоков в магнитном поле при . Уже при параксиальная модель приводит к форме границы, которая качественно отличается от точной кривой: зависимость становится немонотонной, причем максимальные пяти–десятикратные ошибки по Е, k имеют место вблизи точки старта слева от нее (рис. 9).
Сравнение коэффициентов (47), (50) геометризованной теории в l- и W-представлениях приведено на рис. 10. Результаты расчетов для начальной ширины пучка для этих случаев содержат табл. 9, 10. Величина относительной ошибки опускается, если точное значение функции близко к нулю. На рис. 11 изображены параметры потока в W-представлении.
Рис. 8. Функции, характеризующие приближенные модели для электростатического течения с траекториями-гиперболами (Ω = 1); 1, 2, 3 – приближение геометризованной теории, 4 – параксиальная модель.
Таблица 7. Параметры электростатического потока = 1 с траекториями-гиперболами, f(0) = 0.2
= 1, φex0 = 0.72, Eex0 = −1.2, kex0 = −0.833, f(0) = 0.2 | ||||
Параметр | Номер приближения | |||
1 | 2 | 3 | 4 | |
Δφm xΔ φexΔ φapΔ δφm xδ δφΔ δφ0 | 0.107 2.714 6.654 6.761 3.39 1.384 1.61 0 | 0.023 2.729 6.676 6.740 1.04 1.307 0.34 0 | 6.05 × 10−3 1.307 6.645 6.651 0.35 1.256 0.09 0 | 0.02 2.680 6.717 6.736 1.38 1.328 0.30 0 |
ΔEm xΔ EexΔ EapΔ δEm xδ δEΔ δE0 | 0.02 1.2 −1.2 −1.22 1.67 1.2 1.67 1.67 | 5.18 × 10−3 1.357 −0.955 −0.960 0.55 1.394 0.54 0.35 | 2.18 × 10−3 1.282 −1.0523 −1.0516 0.21 1.297 0.21 0.10 | −0.3 1.2 −1.2 −0.9 71.48 2.73 25 25 |
Δkm xΔ kexΔ kapΔ δkm xδ δkΔ δk0 | 0.053 1.2 −0.8333 −0.78 6.4 1.2 6.4 6.4 | 0.019 1.2 −0.8333 −0.8526 2.31 1.2 2.31 2.31 | 7.35 × 10−3 1.2 −0.8333 −0.8260 0.88 1.2 0.88 0.88 | 0.208 1.2 −0.8333 −0.625 72.49 2.730 24.6 25.0 |
Таблица 8. Параметры электростатического потока = 1 с траекториями-гиперболами, f(0) = 0.4
= 1, φex0 = 0.98, Eex0 = −1.4, kex0 = −0.714286, f(0) = 0.4 | ||||
Параметр | Номер приближения | |||
1 | 2 | 3 | 4 | |
Δφm xΔ φexΔ φapΔ δφm xδ δφΔ δφ0 | 0.43 2.708 6.353 6.783 14.39 1.496 6.78 0 | 0.198 2.824 6.993 6.795 7.62 1.529 2.83 0 | 0.112 2.767 6.678 6.790 6.12 1.418 1.67 0 | 0.08 2.771 6.698 6.778 5.09 1.475 1.19 0 |
ΔEm xΔ EexΔ EapΔ δEm xδ δEΔ δE0 | 0.08 1.4 −1.4 −1.48 5.71 1.4 5.71 5.71 | 0.048 1.575 −1.131 −1.179 4.30 1.599 4.25 2.51 | 0.044 1.443 −1.320 −1.2758 3.37 1.451 3.36 1.44 | 1.4 1.399 −1.403 −3.04 × 10–3 101.07 2.771 99.78 22.23 |
Δkm xΔ kexΔ kapΔ δkm xδ δkΔ δk0 | 0.194 1.4 −0.7143 −0.52 27.2 1.4 27.2 27.2 | 0.151 1.4 −0.7143 −0.8656 21.18 1.4 21.18 21.18 | 0.125 1.4 −0.7143 −0.5891 17.52 1.4 17.52 17.52 | 0.706 1.399 −0.7076 −1.55 × 10–3 105.83 2.772 99.78 22.22 |
Рис. 9. Траектория границы пучка с осью-гиперболой при Ω = 5, f(0) = 0.1; 1 – точное решение, 2 – параксиальная модель.
Таблица 9. Параметры течения с траекториями-гиперболами, l-представление, = 5, f(0) = 0.2
= 5, φex0 = 0.72, Eex0 = −1.2, kex0 = −4.167, f(0) = 0.2 | |||
Параметр | Номер приближения | ||
1 | 2 | 3 | |
Δφm xΔ φexΔ φapΔ δφm xδ δφΔ δφ0 | 0.294 2.445 14.332 14.626 17.65 1.181 2.05 0 | 0.062 2.462 14.477 14.515 6.36 1.224 0.42 0 | 0.028 1.194 0.680 0.708 4.06 1.195 4.12 0 |
ΔEm xΔ EexΔ EapΔ δEm xδ δEΔ δE0 | 1.549 1.184 −2.128 −0.579 – 1.225 72.79 1.70 | 0.728 1.225 0.0167 −0.712 – 1.225 43.59 0.35 | 0.430 1.199 −1.232 −0.802 39.98 1.206 34.9 0.094 |
Δkm xΔ kexΔ kapΔ δkm xδ δkΔ δk0 | 2.537 1.176 −6.225 −3.687 43.67 1.19 40.75 6.41 | 1.037 1.225 −2.985 −4.022 34.75 1.225 34.74 2.30 | 0.839 1.199 −4.204 −3.365 20.11 1.20 19.96 0.89 |
Параксиальный подход непригоден для описания решения с этим набором параметров ( , ) в силу того, что нефизичные деформации траектории с ростом не только усугубляются, но и приводят к следующему выражению для угла наклона границы пучка в точке старта:
(51)
Рис. 10. Производные от х, у по x1, x2 для потока с осью – гиперболой Ω = 5 (а), в окрестности плоскости инжекции (б); 1 – l-представление, 2 – W-представление.
Рис. 11. Функции, характеризующие W-представление геометризованной теории для течения с гиперболическими траекториями при Ω = 5, f(0) = 0.2.
При правая часть в (51) приобретает вид неопределенности 0/0, а при обращается в вместо .
Из табл. 9, 10 видно, что ошибка вычисления φ, E, k при использовании ортогональных координат составляет 4, 35 и 20 %, а в неортогональном варианте – 1, 7 и 3 %. Обратим внимание на тот факт, что начальная ширина пучка 0.2 равна радиусу кривизны оси в точке старта, поэтому он не может считаться узким.
При L* = 0.1, f(0) = 0.05 l-приближение геометризованной теории в третьем приближении характеризуется следующими величинами:
(52)
Таблица 10. Параметры течения с траекториями-гиперболами, W-представление, = 5, f(0) = 0.2
= 5, φex0 = 0.72, Eex0 = −1.2, kex0 = −4.167, f(0) = 0.2 | |||
Параметр | Номер приближения | ||
1 | 2 | 3 | |
Δφm xΔ φexΔ φapΔ δφm xδ δφΔ δφ0 | 0.291 2.475 14.781 15.072 6.28 1.289 1.97 0 | 0.063 2.483 14.897 14.834 2.15 1.269 0.42 0 | 0.017 2.411 13.832 13.849 1.23 1.256 0.12 0 |
ΔEm xΔ EexΔ EapΔ δEm xδ δEΔ δE0 | 0.372 1.337 3.671 4.044 – 1.225 10.13 0.90 | 0.143 1.282 2.109 1.966 – 1.225 6.78 0.35 | 0.082 1.255 1.186 1.268 – 1.225 6.90 0.095 |
Δkm xΔ kexΔ kapΔ δkm xδ δkΔ δk0 | 0.267 1.200 −4.167 −3.900 11.07 1.353 6.40 6.40 | 0.096 1.200 −4.167 −4.263 5.12 1.290 2.31 2.30 | 0.065 1.237 −2.572 −2.507 2.67 1.250 2.52 0.89 |
При в качестве границы потока получается линия с неупорядоченными самопересечениями, в то время как ошибки W-модели соответствуют величинам
(53)
На рис. 12, 13 представлено поведение коэффициентов разложения (50) для , 10 и параметры потока с начальной шириной 0.2 при . В табл. 11 приведена соответствующая числовая информация. За пределами рисунков ошибки приближенного решения быстро убывают.
Для W-модели при , х = 100, , относительная ошибка при и компрессии составляет . Необходимая точность алгоритма при таких компрессиях оценивается величиной ошибки в .Ошибки , удовлетворяют этому требованию. Плотность тока относительно ее величины в плоскости инжекции возрастает также в 300 раз, однако необходимо помнить, что рассматриваемое решение характеризуется постоянной плотностью пространственного заряда.
5. Поток с эллиптическими траекториями в однородном магнитном поле
Эталонное решение с эллиптическими орбитами частиц (рис. 14) в однородном магнитном поле [23], как и решение с гиперболическими траекториями, позволяет рассмотреть течение с большой кривизной оси в плоскости инжекции и с еще бòльшими значениями ее производной, т.е. задачу с высокими градиентами параметров, особенно сложную для приближенных моделей. Геометризованное описание возможно только в l-варианте теории: φ-представление не работает по той же причине, которая была названа в разд. 3, 4, а в W-варианте возникает сингулярная прямая , на которой производные от х, y по x1, x2 обращаются в бесконечность.
Эталонное решение описывается формулами
(54)
Рис. 12. Производные от х, у по x1, x2 для течения с траекториями-гиперболами, W-вариант теории (а), окрестность плоскости инжекции (б), Ω = 5 (1) и 10 (2).
Геометризованная модель, l-представление. Ортогональная система x1, x2 для решения (55) и соответствующие коэффициенты Ляме имеют вид
(55)
Рис. 13. Функции, характеризующие W-представление геометризованной теории, для течения с гиперболическими траекториями при Ω = 10, f(0) = 0.2.
Таблица 11. Параметры течения с траекториями-гиперболами, W-представление, = 10, f(0) = 0
= 10, f(0) = 0.2, φex0 = 0.72, Eex0 = −1.2, kex0 = −8.333 | |||
Параметр | Номер приближения | ||
1 | 2 | 3 | |
Δφm xΔ φexΔ φapΔ δφm xδ δφΔ δφ0 | 0.728 3.330 53.796 54.524 8.46 1.261 1.35 0 | 0.155 3.345 54.340 54.185 2.99 1.253 0.28 0 | 0.048 1.313 2.275 2.323 2.60 1.254 2.10 0 |
ΔEm xΔ EexΔ EapΔ δEm xδ δEΔ δE0 | 1.181 1.293 10.757 11.938 ̶ 1.206 10.98 1.67 | 0.457 1.261 7.647 7.190 ̶ 1.206 5.97 0.35 | 0.341 1.252 6.670 7.011 ̶ 1.206 5.11 0.094 |
Δkm xΔ kexΔ kapΔ δkm xδ δkΔ δk0 | 0.533 1.200 −8.333 −7.800 17.12 1.293 6.40 6.40 | 0.267 1.238 −3.761 −4.028 8.11 1.258 7.09 2.31 | 0.207 1.223 −4.910 −4.703 4.62 1.234 4.22 0.88 |
Рис. 14. Течение с эллиптическими орбитами в однородном магнитном поле.
Параметры потока из точного решения описываются формулами
(56)
Для производных от х, y по , получаем
(57)
Потенциал в трех приближениях геометризованной теории определен выражениями
(58)
Результаты расчетов. Результаты исследования потоков с эллиптической осью представлены на рис. 15, 16.
Производные от х, y по поперечной координате для (отношение полуосей ) приведены на рис. 15. При увеличении область резких градиентов все более концентрируется вблизи вершины эллипса с большей кривизной, причем значения производных сильно возрастают. Для () порядок функций , , и , , составляет 2, 10, 60 и 1, 6, 70; для () – 3, 70, 1600 и 2, 20, 2500. На рис. 16 приведены характеристики параметров потока при , , , где , а также величины с индексами exa соответствуют вершине с большей кривизной. Числовую информацию для этого случая и для , , ; , , содержат табл. 12–14.
Максимальная ошибка приближенного решения имеет место не в вершине с наибольшим значением кривизны контура, а в ее окрестности, размер которой уменьшается с ростом . Во всех случаях три приближения геометризованной теории обнаруживают тенденцию к сходимости. Рассмотренные варианты характеризуются следующими геометрическими параметрами и уровнем ошибки решения задачи в целом:
(59)
Рис. 15. Производные от х, у по х1, х2 для течения с эллиптическими орбитами при Ω = 0.16.
Рис. 16. Функции, характеризующие приближенные модели, для течения с эллиптическими орбитами при Ω = 0.16, f(0) = 0.1, f(a) = 0.25; 1, 2, 3 – приближения геометризованной теории, 4 – параксиальная модель.
Все эти пучки нельзя считать узкими по принципу , однако при вычислении потенциала параксиальная модель для четырех вариантов (59) дает ошибку соответственно, с существенно меньшей точностью определяя поле и кривизну. Удвоение ширины пучка при приводит к увеличению ошибки по φ, E, k в 12, 12 и 20 раз.
Таблица 12. Параметры течения с эллиптическими орбитами, = 0.16 (а/b = 2.5)
= 0.16, φex0 = 0.097, Eex0 = 0.07, kex0 = −2.273, f(0) = 0.1, f(a) = 0.25 | ||||
Параметр | Номер приближения | |||
1 | 2 | 3 | 4 | |
Δφm xΔ φexΔ φapΔ δφm xδ δφΔ δφ0 | 3.16 × 10−3 2.167 0.289 0.286 1.39 2.492 1.09 0 | 3.23 × 10−4 2.628 0.141 0.141 0.24 2.657 0.23 0 | 8.23 × 10−5 2.501 0.185 0.185 0.049 2.543 0.046 0 | 5.51 × 10−3 2.45 0.202 0.207 3.10 2.572 2.73 0 |
ΔEm xΔ EexΔ EapΔ δEm xδ δEΔ δE0 | 0.011 2.409 0.465 0.476 2.68 2.543 2.32 0.46 | 2.46 × 10−3 2.611 0.272 0.274 0.98 2.645 0.90 0.047 | 8.75 × 10−4 2.516 0.372 0.371 0.24 2.541 0.24 6.03 × 10–3 | 0.11 2.564 0.324 0.214 65.24 2.746 34.02 65.24 |
Δkm xΔ kexΔ kapΔ δkm xδ δkΔ δk0 | 0.18 2.570 −1.058 −0.878 20.0 2.448 17.00 1.55 | 0.039 2.405 −0.679 −0.718 6.09 2.331 5.67 0.27 | 0.012 2.591 −1.134 −1.146 1.63 2.245 1.04 0.05 | 0.34 2.603 −1.182 −1.521 32.03 2.523 28.76 10.44 |
Таблица 13. Параметры течения с эллиптическими орбитами, = 0.04 (а/b = 5)
= 0.04, φex0 = 0.022, Eex0 = 8.4 × 10−3, kex0 = −4.762, f(0) = 0.05, f(a) = 0.25 | ||||
Параметр | Номер приближения | |||
1 | 2 | 3 | 4 | |
Δφm xΔ φexΔ φapΔ δφm xδ δφΔ δφ0 | 1.07 × 10−3 4.654 0.135 0.134 1.37 5.085 0.79 0 | 2.57 × 10−4 5.117 0.049 0.048 0.60 5.162 0.53 0 | 7.52 × 10−5 5.026 0.067 0.067 0.22 5.204 0.11 0 | 7.20 × 10−3 5.028 0.066 0.073 13.40 5.137 10.92 0 |
ΔEm xΔ EexΔ EapΔ δEm xδ δEΔ δE0 | 0.023 5.027 0.257 0.280 10.34 5.113 8.91 0 | 0.016 5.120 0.179 0.195 9.75 5.153 8.91 0 | 7.26 × 10–3 5.045 0.244 0.236 5.88 5.190 2.98 0 | 0.109 5.110 0.189 0.081 711.11 5.252 57.35 – |
Δkm xΔ kexΔ kapΔ δkm xδ δkΔ δk0 | 1.006 5.115 −0.038 −0.439 87.13 5.027 69.63 0.38 | 0.726 5.157 −1.910 −1.285 41.27 5.136 37.99 0.032 | 0.444 5.083 −1.202 −1.646 37.70 5.074 36.92 2.9 × 10−3 | 1.082 5.246 −4.496 −3.414 72.94 5.083 24.07 28.44 |
Таблица 14. Параметры течения с эллиптическими орбитами, = 0.01 (а/b = 10)
= 0.01, φex0 = 5.101 × 10−3, Eex0 = 1.01 × 10−3, kex0 = −9.901, f(0) = 0.01, f(a) = 0.1 | ||||
Параметр | Номер приближения | |||
1 | 2 | 3 | 4 | |
Δφm xΔ φexΔ φapΔ δφm xδ δφΔ δφ0 | 4.61 × 10−5 9.362 0.07620 0.07619 0.25 0.028 0.06 0 | 8.43 × 10−6 10.027 0.01240 0.01237 0.098 10.062 0.068 0 | 1.30 × 10−6 9.967 0.01830 0.01832 0.030 10.075 7.10 × 10–3 0 | 1.22 × 10−3 9.996 0.01540 0.01700 10.077 10.05 7.94 0 |
ΔEm xΔ EexΔ EapΔ δEm xδ δEΔ δE0 | 8.14 × 10−3 10.004 0.1136 0.1218 8.46 10.046 7.16 0 | 4.68 × 10−3 10.048 0.07340 0.07804 7.05 10.062 6.38 0 | 1.71 × 10−3 10.066 0.0530 0.0547 3.86 10.075 3.23 0 | 0.045 10.042 0.08010 0.03541 64.88 10.062 55.80 25.00 |
Δkm xΔ kexΔ kapΔ δkm xδ δkΔ δk0 | 1.339 10.042 −3.1585 −1.8199 54.02 10.000 42.38 0.20 | 0.899 10.062 −4.2897 −3.3909 22.74 10.055 20.95 0 | 0.380 10.027 −2.6241 −3.0041 14.70 10.023 14.48 0 | 1.93 10.047 −3.385 −5.316 61.91 10.028 57.02 24.50 |
Точность вычисления кривизны границы является весьма жестким критерием. В трех последних вариантах (59) при указанных значениях потенциал и поле определяются с ошибками 0.59, 2.9 %; 0.22, 5.9 %; 0.007, 3.9 %, а отклонение приближенной траектории от точной составляет 2…3 %.
Заключение
Исследование точности геометризованных моделей на эталонных точных решениях как при эмиссии, ограниченной пространственным зарядом, так и в бескатодных вариантах, продемонстрировало превосходство этого подхода над классической параксиальной теорией. Геометризованные построения обнаруживают сходимость по приближениям и с высокой точностью (относительная ошибка – десятые доли процента) гарантируют возможность описания потоков, которые не могут быть отнесены к узким в соответствии с неравенством , где f – ширина пучка, – характерный линейный размер задачи.
Сказанное справедливо и для разномасштабных тестовых проблем, наиболее сложных для приближенного описания, с начальной кривизной оси пучка ~10 при градиенте кривизны ~300. Использование третьего приближения теории приводило к повышению точности, поэтому формулировка этого подхода в случаях, не рассмотренных в монографии [14] и упоминаемых в ней работах, представляется актуальной задачей.
Авторы заявляют об отсутствии конфликта интересов.
About the authors
T. M. Sapronova
Russian Federal Nuclear Center All-Russian Scientific Research Institute of Technical Physics named after academician E.I. Zababakhin
Author for correspondence.
Email: red@cplire.ru
All-Russian Electrotechnical Institute
Russian Federation, Krasnokazarmennaya Str., 12, Moscow, 111250V. A. Syrovoy
Russian Federal Nuclear Center All-Russian Scientific Research Institute of Technical Physics named after academician E.I. Zababakhin
Email: red@cplire.ru
All-Russian Electrotechnical Institute
Russian Federation, Krasnokazarmennaya Str., 12, Moscow, 111250References
- Сыровой В.А. // Прикл. физика. 1997. № 2–3. С. 69.
- Акимов П.И., Гаврилин А.А., Никитин А.П. и др. // РЭ. 2018. Т. 63. № 11. С. 1303.
- Гамаюнов Ю.Г., Патрушева Е.В., Тореев А.И., Шаталина С.А. // РЭ. 2008. Т. 53. № 3. С. 344.
- Гамаюнов Ю.Г., Патрушева Е.В. // РЭ. 2017. Т. 62. № 11. С. 1126.
- Гамаюнов Ю.Г., Патрушева Е.В. // РЭ. 2020. Т. 65. № 5. С. 507.
- Сыровой В.А. Введение в теорию интенсивных пучков заряженных частиц. М.: Энергоатомиздат, 2004.
- Овчаров В.Т. // РЭ. 1962. Т. 7. № 8. С. 1368.
- Овчаров В.Т., Пензяков В.В. // РЭ. 1970. Т. 15. № 8. С. 1651.
- Данилов В.Н. // Журн. прикл. механики и техн. физики. 1968. № 5. С. 3.
- Пензяков В.В., Олейников В.И. // РЭ. 1975. Т. 20. № 5. С. 1049.
- Сыровой В.А. // РЭ. 2008. Т. 53. № 8. С. 999.
- Сыровой В.А. // РЭ. 2011. Т. 56. № 1. С. 111.
- Сыровой В.А. // РЭ. 2016. Т. 61. № 7. С. 692.
- Сыровой В.А. Теория интенсивных пучков заряженных частиц. М.: Энергоатомиздат, 2004.
- Сыровой В.А. // РЭ. 2013. Т. 58. № 6. С. 614.
- Сыровой В.А. // РЭ. 2017. Т. 62. № 5. С. 502.
- Сыровой В.А. // РЭ. 2019. Т. 64. № 1. С. 82.
- Сыровой В.А. // РЭ. 2022. Т. 67. № 6. С. 615.
- Вашковский А.В., Неганова Л.А., Сыровой В.А. // Прикл. физика. 1998. № 3–4. С. 33.
- Сапронова Т.М., Сыровой В.А. // РЭ. 2010. Т. 55. № 6. С. 726.
- Сапронова Т.М., Сыровой В.А. // РЭ. 2020. Т. 65. № 12. С. 1209.
- Meltzer B. // J. Electr. Contr. 1956. V. 2. № 2. P. 118.
- Kirstein P.T., Kino G.S. // J. Appl. Phys. 1958. V. 29. № 12. P. 1758.
- Kirstein P.T. // J. Appl. Phys. 1958. V. 4. № 5. P. 425.
- Meltzer B. // Proc. Phys. Soc. 1949. V. 62B. № 355. P. 431.
Supplementary files


















