Нелинейность вольт-амперных характеристик тонких пленок алмазоподобного углерода с примесью никеля
- Авторы: Веденеев А.С.1, Козлов А.М.1, Колодко Д.В.1, Лузанов В.А.1, Сорокин И.А.1, Бугаев А.С.1,2
-
Учреждения:
- Институт радиотехники и электроники им. В. А. Котельникова РАН
- Московский физико-технический институт (национальный исследовательский университет)
- Выпуск: Том 69, № 5 (2024)
- Страницы: 469-472
- Раздел: НАНОЭЛЕКТРОНИКА
- URL: https://journal-vniispk.ru/0033-8494/article/view/275947
- DOI: https://doi.org/10.31857/S0033849424050102
- EDN: https://elibrary.ru/ILAHNH
- ID: 275947
Цитировать
Полный текст
Аннотация
При комнатной температуре исследованы вольт-амперные характеристики структур Pt/DLC/Pt на базе тонких (40 нм) пленок алмазоподобного углерода (DLC) с примесью Ni. Пленки синтезировали в разряде с полым никелевым катодом (РПК) из смеси аргона и пропана при одновременном осаждении DLC и никеля путем физического распыления материала катода. Концентрацию Ni (10, 20 и 40 ат.%) варьировали за счет изменения доли пропана (реакционного газа) в плазмообразующем газе (аргон) в диапазоне C3H8: Ar ~ 1:(1000…7000). Обнаруженное нелинейное поведение вольт-амперных характеристик структур – зависимости кондактанса G от поперечного напряжения V, G ∝ exp(A V1/2) – согласуется с моделью Френкеля–Пула. Отмеченное уменьшение наклона зависимостей ln(G) от V1/2 с увеличением содержания никеля объяснено ростом диэлектрической проницаемости DLC(Ni) при увеличении содержания Ni. Определен порог протекания, соответствующий концентрации Ni ~ 20 aт.%.
Полный текст
Пленки алмазоподобного углерода (DLC) представляют интерес в связи с их уникальными механическими и физическими свойствами [1–7]. По своей структуре пленки представляют смесь наноразмерных графито- и алмазоподобных кластеров углерода в sp2- и sp3-состояниях [6, 7]. Введение атомов различных элементов позволяет изменять свойства пленок. Например, примеси фтора, кремния [8], азота [9, 10], меди, титана [11, 12], тантала и вольфрама [13] снижают коэффициент трения; примеси бора, фтора [14] и кремния [15] повышают твердость; вольфрам и хром [16] изменяют оптические свойства пленок; проводимостью пленок можно управлять введением тантала, вольфрама, титана, ниобия [17], серебра, меди [18, 20] и кобальта [19]. Диэлектрические свойства пленок с примесью никеля исследованы в работах [21–23]. Механизмы неомического поведения проводимости нелегированных пленок DLC были рассмотрены нами ранее [24–26]. В частности, отмечено, что такое поведение может быть обусловлено проявлением эффектов Френкеля–Пула [27, 28], Шоттки (Фаулера–Нордгейма) [29], резистивного переключения из высокоомного в низкоомное состояние вследствие электромиграции катионов или изменения типа гибридизации углерода (sp3 → sp2) под действием электрического поля [30–32], протекания носителей заряда в случайном кулоновском потенциале [33, 34] и др. В условиях прыжкового транспорта нелинейность вольт-амперных характеристик (ВАХ) может быть также связана с тем, что поперечная проводимость тонких пленок во многом определяется мезоскопическими эффектами – формированием перколяционных цепочек из центров с наиболее узкими межцентровыми (или межкластерными) потенциальными барьерами [35, 36], в которых достигается максимальная величина электрического поля.
Цель данной работы – изучение поперечной проводимости структур Pt/DLC(Ni)/Pt на основе тонких (40 нм) исходно высокоомных пленок DLC с примесью никеля, полученных в разряде с полым катодом (РПК).
Синтез алмазоподобных пленок осуществляли в плазмохимическом реакторе (ПХР) [37]. Вакуумный стенд ПХР объемом 5 л откачивали до остаточного давления 10–3 Па пластинчато-роторным форвакуумным и диффузионным насосами. Электродная система ПХР состоит из катода в виде полого цилиндра диаметром 18 мм, длиной 35 мм с толщиной стенки 1 мм, установленного на подвижном вводе Вильсона, и анода – стенка вакуумной камеры. Подложка, на которую осаждали углеродную пленку, располагали напротив катода РПК на неподвижном вводе, позволяющем подавать электрический потенциал, измерять температуру, а также осуществлять нагрев/отжиг до 700 °С. Температура подложки не превышала 130 °С, расстояние между катодом РПК и подложкой составляло 40 мм. В качестве подложки использовали предметное стекло толщиной 2 мм, покрытое слоем платины толщиной 200 нм.
При нанесении пленок DLC(Ni) соотношение между плазмообразующим (аргон) и реакционным (пропан) газами задавали двумя регуляторами расхода РРГ-10. РПК зажигали высоковольтным блоком питания (напряжение ≤ 1.5 кВ, мощность ≤ 500 Вт).
При фиксированных параметрах РПК (ток разряда 100 мА, напряжение разряда 500…600 В) и общем рабочем давлении смеси 0.8 Торр измерена скорость роста пленки DLC(Ni) и процентное содержание никеля для разного соотношения плазмообразующего и реакционного газов. Полученные калибровочные кривые представлены на рис. 1.
Рис. 1. Зависимость процентного содержания никеля в DLC(Ni) и скорости роста пленки от соотношения парциальных давлений аргона и пропана.
Скорость роста пленок DLC(Ni) измеряли с использованием профилометра Dektak 150 (Veeco, Tucson, AZ). Процентное содержание никеля оценивали методом энергодисперсионной спектроскопии (детектор INCA X-act Energy Dispersive X-Ray Spectroscope (Oxford Instruments) в составе сканирующего электронного микроскопа Tescan Vega). Кристаллическую структуру пленок DLC(Ni) исследовали с помощью модернизированного двухкристального рентгеновского дифрактометра ДРОН-3, работающего по схеме Брегга–Брентано (длина волны излучения 0.15405 нм) [38]. Как установлено, размер областей когерентного рассеяния, характеризующий размер включений (нанокластеров) Ni в DLC, не превышает 0.5 нм, что согласуется с результатами исследования пленок DLC(Ni) методом сканирующей электронной микроскопии [23].
При измерении вольт-амперных характеристик (ВАХ) пленок DLC(Ni) в качестве нижнего электрода использовали платиновый подслой образцов, в качестве верхнего электрода использовали прижимной платиновый зонд. Развертку напряжения осуществляли с использованием генератора Tektronix AFG3252, силу тока в цепи и падение напряжения на пленке измеряли с помощью цифрового осциллографа Tektronix TPS2024.
В процессе измерений на генераторе задавался пилообразный сигнал частотой 100 Гц с амплитудным значением напряжения Va = 5 В. Ток в цепи рассчитывали по падению напряжения на эталонном резисторе 10 кОм. Зависимости силы тока I от поперечного напряжения V были измерены при комнатной температуре.
Типичные зависимости I от V (ВАХ) структур Pt/DLC(Ni)/Pt с концентрацией Ni 10, 20 и 40 ат.% приведены на рис. 2. Они имеют нелинейный вид, характерный для структур на основе DLC (см. [25, 26]). Увеличение напряжения, |V| > Va, приводит к переключению структур из высокоомного в низкоомное состояние, которое сохраняется длительное время.
Рис. 2. Вольт-амперные характеристики структур Pt/DLC(Ni)/Pt с различной концентрацией никеля: 10 (1), 20 (2), 40 ат.% (3).
Исходя из малого размера включения Ni в DLC будем полагать, что нелинейность ВАХ может быть связана с проявлением эффекта Френкеля–Пула [27, 28], для которого зависимость кондактанса G = I/V от электрического поля E ∝ V имеет вид
G ∝ ln(AE1/2), (1)
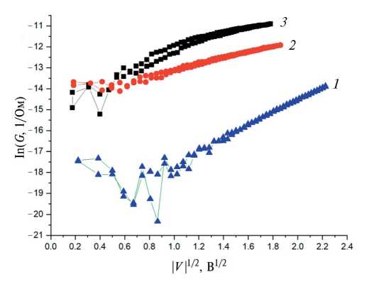
где коэффициент A = 2(e3/κ)1/2/kT, e – элементарный заряд ϰ – диэлектрическая проницаемость DLC, k – постоянная Больцмана, T – температура. Обращаясь к данным рис. 1 отметим, что в соответствии с формулой (1) полевые зависимости кондактанса G линеаризуются в координатах ln(G) – V 1/2 (рис. 3).
Рис. 3. Зависимость кондактанса G от |V |1/2 при различной концентрации никеля: 10 (1), 20 (2), 40 ат. % (3).
При этом кондактанс структур G возрастает с увеличением концентрации никеля, тогда как наклон зависимостей ln(G) от V 1/2 уменьшается, что не согласуется с формулой (1). Действительно, в модели Френкеля–Пула [27, 28] коэффициент A в (1) не зависит от содержания Ni в DLC. Причина отмеченного противоречия может быть связана с ростом диэлектрической проницаемости DLC(Ni) при увеличении концентрации примеси Ni [23].
Отметим также, что одной из основных характеристик композитных систем, в том числе структур на основе DLC, является порог протекания – значение концентрации металла, при которой образуется бесконечный проводящий кластер [34]. На рис. 4 приведена зависимость сопротивления R = 1/G структур Pt/DLC(Ni)/Pt от содержания Ni. Концентрация Ni, соответствующая порогу протекания, составляет ~ 20 aт.%, что согласуется с результатами работы [23].
Рис. 4. Зависимость сопротивления структур Pt/DLC(Ni)/Pt от содержания Ni.
Таким образом, обнаруженная нелинейность ВАХ структур Pt/DLC(Ni)/Pt с концентрацией Ni 10, 20 и 40 ат.% согласуется с моделью Френкеля–Пула. При увеличении содержания никеля в DLC кондактанс структур G возрастает, тогда как наклон зависимостей ln(G) от V1/2 уменьшается, что может быть связано с ростом диэлектрической проницаемости DLC(Ni) при увеличении концентрации Ni. Определенный порог протекания соответствует концентрации Ni ~ 20 aт.%.
ФИНАНСИРОВАНИЕ РАБОТЫ
Работа выполнена при финансовой поддержке Российского научного фонда (проект № 23-29-00276). Изготовление и характеризация объектов исследования проведены в рамках государственного задания ИРЭ им. В. А. Котельникова РАН.
Об авторах
А. С. Веденеев
Институт радиотехники и электроники им. В. А. Котельникова РАН
Автор, ответственный за переписку.
Email: asv335@fireras.su
Фрязинский филиал
Россия, пл. Введенского, 1, Фрязино Московской обл., 141190А. М. Козлов
Институт радиотехники и электроники им. В. А. Котельникова РАН
Email: asv335@fireras.su
Фрязинский филиал
Россия, пл. Введенского, 1, Фрязино Московской обл., 141190Д. В. Колодко
Институт радиотехники и электроники им. В. А. Котельникова РАН
Email: asv335@fireras.su
Фрязинский филиал
Россия, пл. Введенского, 1, Фрязино Московской обл., 141190В. А. Лузанов
Институт радиотехники и электроники им. В. А. Котельникова РАН
Email: asv335@fireras.su
Фрязинский филиал
Россия, пл. Введенского, 1, Фрязино Московской обл., 141190И. А. Сорокин
Институт радиотехники и электроники им. В. А. Котельникова РАН
Email: asv335@fireras.su
Фрязинский филиал
Россия, пл. Введенского, 1, Фрязино Московской обл., 141190А. С. Бугаев
Институт радиотехники и электроники им. В. А. Котельникова РАН; Московский физико-технический институт (национальный исследовательский университет)
Email: asv335@fireras.su
Фрязинский филиал
Россия, пл. Введенского, 1, Фрязино Московской обл., 141190; Институтский пер., 9, Долгопрудный Московской обл., 141701Список литературы
- Robertson J. // Mater. Sci. Engineer. R: Rep. 2002. V. 4. № . 37. P. 129.
- Koidl P., Wild C., Dischler B. et al. // Mater. Sci. Forum. 1990. V. 52–53. P. 41.
- Zou J. W., Reichelt K., Schmidt K., Dischler B. // J. Appl. Phys. 1989. V. 65. № 10. P. 3914.
- Kaplan S., Jansen F., Machonkin M. // Appl. Phys. Lett. 1985. V. 47. № 7. P. 750.
- Grill A., Meyerson B. S., Patel V. V. et al. // J. Appl. Phys. 1987. V. 61. № 8. P. 2874.
- Иванов-Омский В.И., Толмачев А. В., Ястребов С. Г. // ФТП. 2001. Т. 35. № 2. С. 227.
- Jager C., Gottwald J., Spiess H. W., Newport R. J. // Phys. Rev. B. 1994. V. 50. № 2. P. 846.
- Dimigen H., Klages C. P. // Surf. Coat. Technol. 1991. V. 49. № 1–3. P. 543.
- Khurshudov A., Kato K., Daisuke S. // J. Vac. Sci. Technol. A. 1996. V. 14. № 5. P. 2935.
- He X. M., Hakovirta M., Nastasi M. // Mater. Lett. 2005. V. 59. № 11. P. 1417.
- Wei Q., Narayan R. J., Sharma A. K. et al. // J. Vac. Sci. Technol. A. 1999. V. 17. № 6. P. 3406.
- Damasceno J. C., Camargo S. S., Freire F. L., Carius R. // Surf. Coat. Technol. 2000. V. 133–134. P. 247.
- Gampp R., Gantenbein P., Kuster Y. et al. // Proc. SPIE. 1994. V. 2255. P. 92.
- Donnet C., Fontaine J., Grill A. et al. // Surf. Coat. Technol. 1997. V. 94–95. P. 531.
- Grischke M., Bewilogua K., Trojan K., Dimigen H. // Surf. Coat. Technol. 1996. V. 74–75. Pt.2. P. 739.
- Wei Q., Sankar J., Narayan J. // Surf. Coat. Technol. 2001. V. 146–147. P. 250.
- Луцев Л. В., Яковлев С. В., Сиклицкий В. И. // ФТТ. 2000. Т. 42. № . 6. С. 1105.
- Луцев Л. В., Звонарева Т. К., Лебедев В. М. // Письма в ЖТФ. 2001. Т. 27. № 15. С. 84.
- Мороз О. Ю., Наквасина Е. Ю. // Сб. трудов XII Всерос. школы-семинара “Волновые явления в неоднородных средах”. Звенигород. 24–29 мая 2010. М.: Физфак МГУ, 2010. Т. 7. С. 57.
- Nikolaychuk G. A., Yakovlev S. V., Moroz O. Y., Nakvasina E. Y. //13th Int. Conf. on Electromechanics, Electrotechnology, Electromaterials and Components (ICEEE – 2010). Alushta 19–25 Sept. M: MPEI, 2010. V. 4. P. 46.
- Николайчук Г. А., Мороз О. Ю., Дунаевский С. М. // ЖТФ. 2018. Т. 88. № 11. С. 1672.
- Веденеев А. С., Лузанов В. А., Рыльков В. В. // Письма в ЖЭТФ. 2019. Т. 109. № 3. С. 170.
- Vedeneev A. S., Luzanov V. A., Rylkov V. V. // Semiconductors. 2019. V. 53. № 14. P. 1970.
- Николаев С. Н., Веденеев А. С., Лузанов В. А. и др. // РЭ. 2021. Т. 66. № 10. С. 1024.
- Frenkel J. // Phys. Rev. 1938. V. 54. № 8. P. 647.
- Френкель Я. И. // ЖЭТФ. 1938. Т. 8. № 12. С. 1292.
- Насыров К. А., Гриценко В. А. // Успехи физ. наук. 2013. Т. 183. № 10. С. 99.
- Peng P., Xie D., Yang Y. et al. // J. Appl. Phys. 2012. V. 111. № 8. P. 084501.
- Zhuge F., Dai W., He C. L. et al. // Appl. Phys. Lett. 2010. V. 96. № 16. P. 163505.
- Takabayasi S., Yang M., Ogawa Sh. et al. // J. Appl. Phys. 2014. V. 116. № 9. P. 093507.
- Шкловский Б. И. // ФТП. 1979. Т. 13. № 1. С. 93.
- Шкловский Б. И., Эфрос А. Л. // Успехи физ. наук. 1975. Т. 117. № 3. С. 401.
- Pollak M., Hauser J. J. // Phys. Rev. Lett. 1973. V. 31. № 21. P. 1304.
- Райх М. Э., Рузин И. М. // Письма в ЖЭТФ. 1986. Т. 43. № 9. С. 437.
- Сорокин И. А., Колодко Д. В., Краснобаев К. И. //РЭ. 2020. Т. 65. № 3. С. 288.
- Лузанов В. А., Веденеев А. С. // РЭ. 2018. Т. 63. № 9. С. 1007.
Дополнительные файлы







