Influence of amplitude-phase errors and failure of random emitting channels on the characteristics of antenna array
- Authors: Izmaylov A.A.1, Bakhromkina E.S.1, Beylis G.A.1
-
Affiliations:
- Research and Production Enterprise «Salyut»
- Issue: Vol 69, No 7 (2024)
- Pages: 595-608
- Section: ELECTRODYNAMICS AND RADIO WAVE PROPAGATION
- URL: https://journal-vniispk.ru/0033-8494/article/view/279625
- DOI: https://doi.org/10.31857/S0033849424070017
- EDN: https://elibrary.ru/HZIMBN
- ID: 279625
Cite item
Full Text
Abstract
The calculation of the influence of amplitude-phase errors, failure or the random number of radiant channels on the main characteristics of antenna arrays (AA). The paper presents an algorithm for simulating the failure of elements and modules of AA based on known functions of amplitude-phase distributions. Qualitative characteristics of the orientation of the AA in conditions of the established channels, modules and the availability of errors in amplitude-phase distributions are calculated.
Full Text
ВВЕДЕНИЕ
Неизменной тенденцией в разработке антенных решеток (АР), фазированных антенных решеток (ФАР) и активных фазированных антенных решеток (АФАР) является обеспечение работоспособности и сохранение их радиотехнических характеристик в условиях воздействия шумовых помех, наличия амплитудных и фазовых ошибок по апертуре, выхода из строя нескольких каналов приемных и передающих модулей, а также отказ модулей целиком и т. д.
Проблема выхода из строя случайного числа излучающих каналов и их влияние на характеристики АР не раз рассматривалась в целом ряде работ. Например в [1], приведены прямые зависимости уровня боковых лепестков (УБЛ) и коэффициента направленного действия (КНД) для различных амплитудно-фазовых распределений. При этом число вышедших из строя каналов и модулей задается в процентном соотношении распределенных случайным образом по апертуре АР. В работе [2], посвященной амплитудно-фазовым ошибкам, проведен анализ методов определения ошибки установки луча при влиянии амплитудно-фазовых искажений и приведен алгоритм уменьшения СКО позиционирования главного лепестка диаграммы направленности (ДН) [3]. Однако в работе рассмотрено лишь одно амплитудное распределение и не учитывается влияние выхода из строя отдельных элементов на диаграммы направленности и отклонение главного луча [4]. В [5] оценивается вклад, вносимый амплитудно-фазовыми флуктуациями и влияние отказов каналов на характеристики АР. Для вычислений авторы используют градиентный метод оптимизации, основным недостатком которого является то, что полученные энергетические характеристики сильно зависят от имеющейся статистики отказов.
Анализ вышедших из строя каналов и модулей АР приведен в [6]: авторами рассмотрены различные формы апертуры антенных решеток, проведено сравнение характеристик АР при выходе из строя отдельных элементов решетки и ее модулей. Ключевым недостатком работы является представление фазовой ошибки смещением на 180°, что в реальных условиях не может быть соблюдено, так как величина ошибки носит случайный характер, а наличие флуктуаций в амплитудном распределении не рассматривается.
В представленной работе проведен анализ влияния амплитудно-фазовых ошибок на характеристики АР для различных распределений, разработаны алгоритмы выхода из строя случайных излучающих каналов и модулей АР и рассмотрено их влияние на ДН АР.
Цель статьи – исследование влияния амплитудно-фазовых ошибок, а также выхода из строя случайных излучающих каналов и модулей на характеристики АР.
1. ФУНКЦИИ АМЛИТУДНО-ФАЗОВЫХ РАСПРЕДЕЛЕНИЙ ДЛЯ ПОСТРОЕНИЯ ДН АР
В первом разделе анализировались известные специальные функции амплитудного распределения, исходя из которых было принято решение использовать в работе: 1) равномерное распределение и 2) cos2 на пьедестале 0.2. Выбор этих функций обусловлен простотой реализации и наивысшим значением направленности ДН – для равномерного распределения, низким уровнем боковых лепестков порядка 30 дБ – для распределения cos2 на пьедестале 0.2:
(1)
(2)
где Аn, Аp – распределения амплитуды по координате в азимутальной и угломестной плоскостях, ∆ – величина пьедестала, равная 0.2; n – диапазон каналов по азимуту, p – диапазон каналов по углу места, N – число каналов по азимуту, P – число каналов по углу места.
Ниже приведены характеристики АР с равномерным распределением:
КНД, дБ | 2θ0.5Е, град | 2θ0.5Н, град | УБЛЕ, дБ | УБЛН, дБ |
38.6 | 1.8 | 2.5 | 13.2 | 13.3 |
и с распределением cos2 на пьедестале:
КНД, дБ | 2θ0.5Е, град | 2θ0.5Н, град | УБЛЕ, дБ | УБЛН, дБ |
36.7 | 2.4 | 3.4 | 31.6 | 31.7 |
Оценка основных характеристик АР осуществляется на примере АР с числом излучающих элементов (каналов) 40x56 в азимутальной и угломестной плоскостях. Шаг между излучателями составляет 0.5λ.
На рис. 1 и 2 построены графики реализуемых амплитудных распределений, в зависимости от порядкового номера излучающего элемента n в азимутальной и угломестной плоскостях.
Рис. 1. Равномерное амплитудное распределение: 1 – азимутальная плоскость; 2 – угломестная плоскость.
Рис. 2. Амплитудное распределение cos2 на пьедестале 0.2: 1 – азимутальная плоскость; 2 – угломестная плоскость.
Управление положением ДН в пространстве осуществляется функцией с линейным набегом фазы в каждом излучающем канале, где фазы возбуждения каждого излучающего элемента АР изменяются в соответствии со следующей формулой:
(3)
где , – распределения фазы по координате в азимутальной и угломестной плоскостях соответственно, k – волновое число, dx, dy – расстояние между соседними излучателями, равное шагу 0.5λ, θ, φ – угломестный и азимутальный углы по нормали к апертуре АР.
На рис. 3 представлен график фазового распределения без отклонения луча ДН от нормали к апертуре АР.
Рис. 3. Фазовое распределение: 1 – азимутальная плоскость, 2 – угломестная плоскость.
Для дальнейшего удобства в анализе и вычислениях перейдем к дискретному представлению координатной области для построения ДН:
(4)
где I – число дискретов для построения ДН, , – значения зоны построения ДН ±90, ∆ε – величина углового дискрета для построения ДН, εi– массив угловых точек отсчета.
Введем функцию, описывающую амплитудно-фазовый множитель АР в двух ортогональных плоскостях:
(5)
где An, p, Ψn, p – объемное амплитудное и фазовое распределение по элементам решетки соответственно.
Перемножив данную функцию с функцией, описывающей диаграмму единичного элемента, получим функцию диаграммы направленности АР:
(6)
где F1i – диаграмма единичного элемента. В качестве излучателя был использован гипотетический вибраторный излучатель с диаграммой направленности, показанной на рис. 4.
Рис. 4. Диаграмма направленности единичного излучающего элемента.
Коэффициент направленного действия и КИП АР определяются известными из литературы выражениями:
(7)
(8)
Исходя из размеров рассматриваемой апертуры АР была построена теоретическая ДН для равномерного распределения (рис. 5). Видно, что уровень первых боковых лепестков не менее 13 дБ в обеих плоскостях, ширина ДН в азимутальной и угломестной плоскостях 2.5° и 1.8°, КНД не менее 38.6 дБ.
Рис. 5. Диаграмма направленности с равномерным распределением: 1 – азимутальная плоскость; 2 – угломестная плоскость.
На рис. 6 построена одна из возможных ДН для распределения cos2 на пьедестале 0.2. Применение такого распределения позволило реализовать УБЛ не менее 35 дБ в обеих плоскостях, ширину ДН в азимутальной и угломестной плоскостях 3.4° и 2.4° соответственно, КНД не менее 36.7 дБ.
Рис. 6. Диаграмма направленности с распределением cos2 на пьедестале 0.2: 1 – азимутальная плоскость; 2 – угломестная плоскость.
2. МЕТОДИКА ВВЕДЕНИЯ ОШИБОК В АМПЛИТУДНО-ФАЗОВЫЕ РАСПРЕДЕЛЕНИЯ
Для того чтобы приблизить построенные теоретические ДН (см. разд. 1) к реальным, внесем случайные ошибки в используемые амплитудно-фазовые распределения. Анализ АР различного назначения показал, что величина отклонения параметров АР от заявленных соответствует, как правило, следующим значениям ошибок: по фазе ±11.25°, по амплитуде ±1.5 дБ [7]. Ошибки распределены по апертуре антенны по равномерному закону распределения.
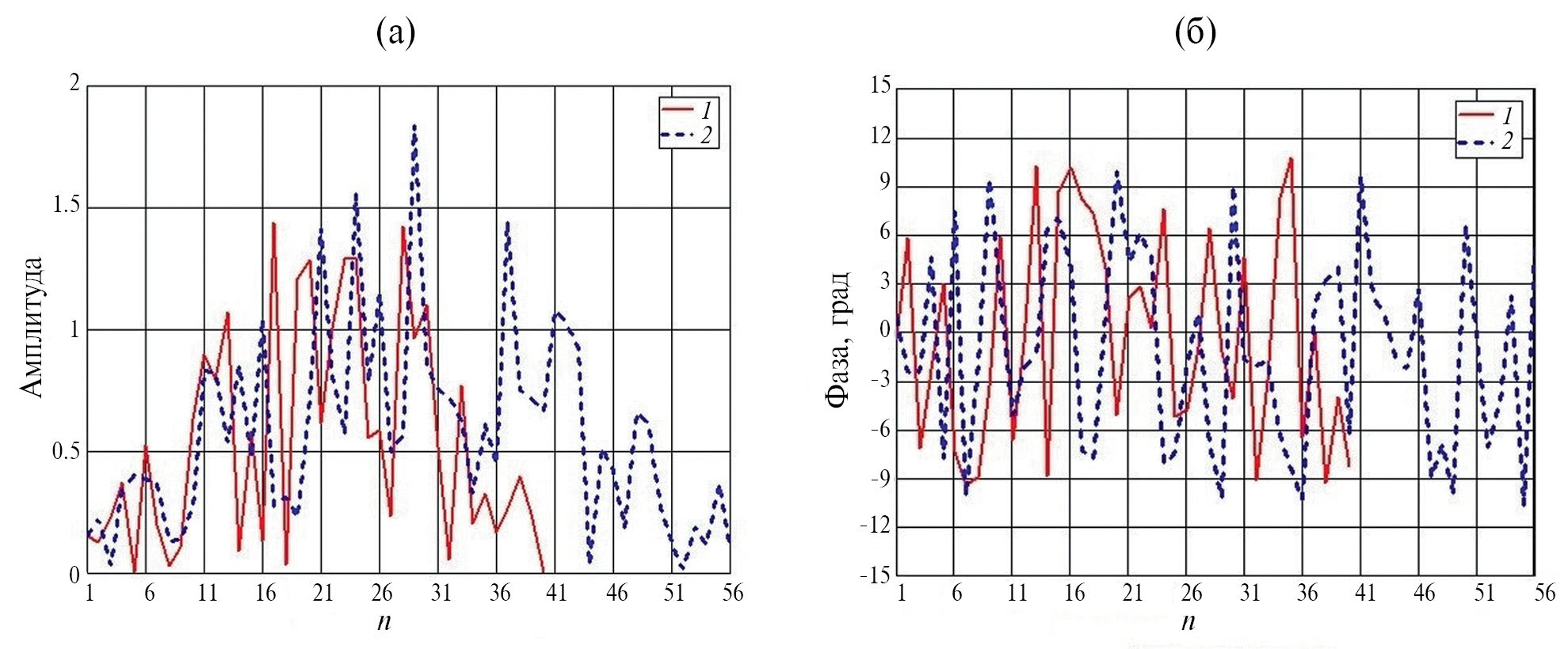
На рис. 7а, 7б представлены одни из возможных реализаций равномерного амплитудно-фазового распределения с внесенными случайными ошибками, а на рис. 8а, 8б – одни из возможных реализаций амплитудного распределения cos2 на пьедестале 0.2 и равномерного фазового с внесенными случайными ошибками. На рис. 9 представлена одна из возможных реализаций ДН АР с равномерным распределением и внесенными ошибками.
Рис. 7. Равномерные амлитудное (а) и фазовое (б) распределения с ошибками: 1 – азимутальная плоскость; 2 – угломестная плоскость.
Рис. 8. Амплитудное распределение cos2 на пьедестале 0.2 с ошибками (а), равномерное фазовое распределение с ошибками (б): 1 – азимутальная плоскость; 2 – угломестная плоскость.
Рис. 9. Диаграмма направленности с равномерным распределением и амплитудно-фазовыми ошибками: 1 – азимутальная плоскость; 2 – угломестная плоскость.
Для понимания влияния случайных ошибок на параметры ДН была реализована выборка из 100 распределений со случайными ошибками, для которых рассчитывались ДН. Исходя из набора полученных данных были записаны максимальные и минимальные значения основных характеристик ДН (табл. 1).
Таблица 1. Основные характеристики АР с равномерным распределением и ошибками на основе выборки из 100 распределений
Вид ДН | КНД, дБ | 2θ0.5Е, град | 2θ0.5Н, град | УБЛЕ, дБ | УБЛН, дБ |
Теоретический расчет | 38.6 | 1.8 | 2.5 | 13.2 | 13.3 |
С ошибками ±1.5 дБ, ±11.25° | 37.2÷37.6 | 1.8÷1.9 | 2.4÷2.5 | 12.3÷14.0 | 12.1÷13.9 |
Анализируя полученные результаты, делаем вывод, что внесение ошибок в распределения привело к уменьшению КНД на 1.4 дБ, а также к изменению УБЛ на 1 дБ по сравнению с теоретическими результатами.
На рис. 10 приведена одна из возможных реализаций ДН АР с распределением cos2 на пьедестале 0.2 и внесенными ошибками. Для данного распределения проведен аналогичный анализ, результаты приведены в табл. 2.
Рис. 10. Диаграмма направленности с распределением cos2 на пьедестале 0.2 и амплитудно-фазовыми ошибками: 1 – азимутальная плоскость; 2 – угломестная плоскость.
Таблица 2. Основные характеристики ФАР с распределением cos2 на пьедестале 0.2 и ошибками на основе выборки из 100 распределений
Вид ДН | КНД | 2θ0.5Е, град | 2θ0.5Н, град | УБЛЕ, дБ | УБЛН, дБ |
Теоретический расчет | 36.7 | 2.4 | 3.4 | 31.6 | 31.7 |
С ошибками ±1.5 дБ, ±11.25° | 35.3÷35.6 | 2.3÷2.4 | 3.3÷3.4 | 24.0÷31.8 | 25.0÷33.1 |
Анализируя полученные результаты, делаем вывод, что внесение ошибок в распределения привело к падению КНД на 1.4 дБ, а также росту УБЛ до 24 дБ по сравнению с теоретическими результатами.
При проектировании АР наряду с наличием амплитудных и фазовых ошибок регистрируются случаи выхода из строя излучающих каналов, приемо-передающих модулей и диаграммообразующих элементов.
3. ИМИТАЦИЯ ВЫХОДА ИЗ СТРОЯ СЛУЧАЙНЫХ ИЗЛУЧАЮЩИХ КАНАЛОВ АР
Рассмотрим влияние выхода из строя случайных излучающих каналов на характеристики АР. Для анализа влияния выхода из строя случайных излучающих каналов АР на основные характеристики ДН был реализован алгоритм, имитирующий отказы случайных каналов, посредством обнуления амплитуд в амплитудном распределении этих каналов, а также приведены основные ДН для используемых амплитудно-фазовых распределений [8].
На первом шаге создается пронумерованная матрица элементов АР размерностью [P; N]. Второй шаг заключается в написании алгоритма, обнуляющего случайным образом элементы матрицы [P; N]. Третьим шагом завершается цикл и происходит присвоение нулевого значения ячейке со случайным номером элемента в исходной матрице амплитудных распределений – нулевые значения амплитуды и фазы в излучающем канале (8). Представленный программный код реализован средствами программирования Mathcad:
где x – нули в строках матрицы, y – нули в столбцах матрицы, nerrors – количество вышедших из строя каналов, npos – номер ячейки с вышедшим из строя каналом.
Рассмотрим следующие случаи выхода из строя излучающих каналов АР:
5% или 112 отказавших каналов;
15% или 335 отказавших каналов;
30% или 675 отказавших каналов.
На рис. 11 представлена одна из 100 выборок апертуры с вышедшими из строя каналами для каждого из упомянутых случаев.
Рис. 11. Апертура АР с вышедшими из строя излучающими каналами: 5% (а), 15% (б) и 30% (в).
На рис. 12 построены ДН с равномерным распределением, в двух главных плоскостях, для одной из возможных реализаций рассматриваемых случаев выхода из строя излучающих каналов.
Рис. 12. Диаграмма направленности с равномерным распределением и 5% (а), 15% (б), 30% (в) вышедшими из строя излучающими каналами: 1 – азимутальная плоскость; 2 – угломестная плоскость.
В табл. 3 приведены основные характеристики АР с равномерным распределением и вышедшими из строя каналами.
Таблица 3. Основные характеристики АР с равномерным распределением с ошибками и вышедшими из строя каналами
Вид ДН | КНД, дБ | 2θ0.5Е, град | 2θ0.5Н, град | УБЛЕ, дБ | УБЛН, дБ |
Теоретический расчет | 38.6 | 1.8 | 2.5 | 13.2 | 13.3 |
С ошибками ±1.5 дБ, ±11.25° | 37.2÷37.6 | 1.8÷1.9 | 2.4÷2.5 | 12.3÷14.0 | 12.1÷13.9 |
С ошибками ±1.5 дБ, ±11.25° и 5% отказавшими каналами (112) | 37.0÷37.1 | 1.8÷1.9 | 2.4÷2.5 | 12.6÷14.1 | 12.6÷14.0 |
С ошибками ±1.5 дБ, ±11.25° и 15% отказавшими каналами (336) | 36.5÷36.7 | 1.8÷1.9 | 2.4÷2.5 | 12.7÷13.7 | 12.2÷14.4 |
С ошибками ±1.5 дБ, ±11.25° и 30% отказавшими каналами (672) | 35.6÷35.8 | 1.8÷1.9 | 2.4÷2.5 | 12.3÷13.8 | 12.1÷14.5 |
Сравнивая полученные результаты с результатами ДН с ошибками, видим, что с ростом числа вышедших из строя каналов происходит уменьшение КНД на 0.1…2 дБ, при этом УБЛ растет с увеличением числа отказавших каналов. Отказы привели к росту УБЛ до 12.1 дБ. Наряду с ростом боковых лепестков в некоторых случаях наблюдается их падение до уровня 14.5 дБ. Это объясняется тем, на какой позиции по апертуре находились отказавшие каналы, – влияние отказов крайних каналов существенно ниже влияния отказов центральных. Ширина ДН в обеих плоскостях изменилась на ±0.1о.
На рис. 13 построены ДН с распределением cos2 на пьедестале 0.2 в двух главных плоскостях для каждого из рассматриваемых случаев выхода из строя излучающих каналов.
Рис. 13. Диаграмма направленности с распределением cos2 на пьедестале 0.2 и 5% (а), 15% (б), 30% (в) вышедшими из строя излучающими каналами: 1 – азимутальная плоскость; 2 – угломестная плоскость.
В табл. 4 приведены основные характеристики АР с распределением cos2 на пьедестале 0.2 и вышедшими из строя каналами. Аналогично случаю с равномерным распределением, рост числа вышедших из строя каналов приводит к уменьшению КНД на 0.2…1.9 дБ, при этом среднеарифметический УБЛ растет с увеличением числа отказавших каналов. Отказы привели к росту УБЛ до 20.1 дБ. Наряду с ростом боковых лепестков, в некоторых случаях наблюдается их падение до уровня 33.1 дБ. Это объясняется тем, на какой позиции по апертуре находились отказавшие каналы – влияние отказов крайних каналов существенно ниже влияния отказов центральных. Ширина ДН в обеих плоскостях изменилась на ±0.1о.
Таблица 4. Основные характеристики АР с распределением cos2 на пьедестале 0.2 с ошибками и вышедшими из строя элементами
Вид ДН | КНД, дБ | 2θ0.5Е, град | 2θ0.5Н, град | УБЛЕ, дБ | УБЛН, дБ |
Теоретический расчет | 36.7 | 2.4 | 3.4 | 31.6 | 31.7 |
С ошибками ±1.5 дБ, ±11.25° | 35.3÷35.6 | 2.3÷2.4 | 3.3÷3.4 | 24.0÷31.8 | 25.0÷33.1 |
С ошибками ±1.5 дБ, ±11.25° и 5% отказавшими каналами (112) | 35.1÷35.3 | 2.3÷2.4 | 3.3÷3.4 | 24.0÷31.8 | 25.0÷33.1 |
С ошибками ±1.5 дБ, ±11.25° и 15% отказавшими каналами (336) | 34.6÷34.9 | 2.3÷2.4 | 3.3÷3.4 | 24.0÷31.7 | 24.6÷32.1 |
С ошибками ±1.5 дБ, ±11.25° и 30% отказавшими каналами (672) | 33.7÷34.1 | 2.4÷2.5 | 3.4÷3.5 | 25.5÷32.0 | 20.1÷29.9 |
Из полученных результатов делаем вывод, что с увеличением числа вышедших из строя случайных излучающих каналов происходит уменьшение КНД и наблюдается пропорциональный рост УБЛ. Приведенные характеристики были подтверждены электродинамическим моделированием.
4. ИМИТАЦИЯ ВЫХОДА ИЗ СТРОЯ СЛУЧАЙНЫХ МОДУЛЕЙ АР
Рассмотрим случай выхода из строя случайных модулей, состоящих из нескольких излучающих каналов. Наряду с выходом из строя излучающих каналов АР часто встречаются неисправности, связанные с отказами модулей, состоящими из нескольких излучающих каналов. Следует отметить, что характер изменения параметров ДН АР с учетом числа отказавших модулей зависит от места расположения отказавших модулей в апертуре АР.
Конкретизация разрабатываемого алгоритма оценки основных характеристик осуществляется применительно к АР с числом излучающих модулей, равным 140. Для обозначения числа элементов в одном модуле, введем переменные Nx – число элементов по горизонтали, Ny – число элементов по вертикали. Для примера будем полагать, что модуль состоит из 16 каналов размерностью Nx = 2, Ny = 8.
Анализ изменения характеристик ДН АР будет произведен для следующих случаев выхода из строя модулей:
5% или 7 отказавших модулей;
15% или 21 отказавший модуль;
30% или 42 отказавших модуля.
Приведем программный код выхода из строя случайных модулей, реализованный средствами программирования Mathcad:
(10)
(12)
где nerrors – количество вышедших из строя модулей, npos – номер вышедшего из строя модуля.
Сначала была задана пронумерованная матрица, состоящая из модулей, размерность которых [Np; Pp] (10). Далее реализуется алгоритм, обнуляющий заданное количество модулей матрицы случайным образом (11). Затем завершается цикл и присваивается исходной матрице амплитудных распределений – нулевые модули (12).
На рис. 14 представлена одна из 100 выборок апертуры с вышедшими из строя модулями, для каждого из упомянутых ранее случаев. На рис. 15 приведены ДН с равномерным распределением в двух главных плоскостях для каждого из рассматриваемых случаев выхода из строя модулей.
Рис. 14. Апертура АР с вышедшими из строя модулями: 5% (а), 15% (б) и 30% (в).
Рис. 15. Диаграмма направленности с равномерным распределением и 5% (а), 15% (б), 30% (в) вышедшими из строя модулями: 1 – азимутальная плоскость; 2 – угломестная плоскость.
В табл. 5 приведены основные характеристики АР с равномерным распределением и вышедшими из строя модулями. Из полученных результатов видно, что степень влияния отказавших модулей сильнее, чем влияние отказавших каналов. Так, в рассматриваемой АР, рост числа вышедших из строя каналов приводит к росту боковых лепестков до 12.1 дБ, а в составе модуля боковые лепестки увеличиваются до 9.1 дБ.
Таблица 5. Основные характеристики АР с равномерным распределением с ошибками и вышедшими из строя модулями
Вид ДН | КНД | 2θ0.5Е, град | 2θ0.5Н, град | УБЛЕ, дБ | УБЛН, дБ |
Теоретический расчет | 38.6 | 1.8 | 2.5 | 13.2 | 13.3 |
С ошибками ±1.5 дБ, ±11.25° | 37.3÷37.6 | 1.7÷1.8 | 2.4÷2.5 | 12.3÷14.0 | 12.1÷13.9 |
С ошибками ±1.5 дБ, ±11.25° и 5% отказавшими модулями (7) | 37.0÷37.2 | 1.7÷1.8 | 2.4÷2.5 | 12.3÷14.1 | 11.6÷15.2 |
С ошибками ±1.5 дБ, ±11.25° и 15% отказавшими модулями (21) | 36.5÷36.7 | 1.7÷1.8 | 2.5÷2.6 | 10.8÷15.5 | 10.9÷16.3 |
С ошибками ±1.5 дБ, ±11.25° и 30% отказавшими модулями (42) | 35.6÷35.8 | 1.8÷1.9 | 2.5÷2.6 | 10.4÷16.8 | 9.1÷16.0 |
Однако при равном числе отказавших каналов влияние отказавших модулей на уменьшение КНД АР слабее, чем влияние отказавших каналов. Это можно объяснить тем, что при отказах случайно расположенных каналов уровень всех боковых лепестков увеличивается, что ведет к уменьшению КНД, а при отказах модулей возрастают отдельные боковые лепестки, поэтому КНД уменьшается в меньшей степени [6]. Для пояснения сказанного на рис. 16а приведено сравнение теоретической ДН, ДН при вышедших из строя каналах и ДН при вышедших из строя модулей без влияния случайных ошибок. Видно, что при выходе из строя каналов возрастает общий уровень боковых лепестков, а при отказах модулей наблюдается рост отдельных боковых лепестков. Ширина ДН в обеих плоскостях изменилась на ±0.1о.
Рис. 16. Диаграмма направленности без амплитудно-фазовых ошибок с равномерным распределением (а) и распределением cos2 на пьедестале 0.2 (б): 1 – теоретическая, 2 – с вышедшими из строя каналами, 3 – с вышедшими из строя модулями.
На рис. 17 построены ДН с распределением cos2 на пьедестале 0.2 в двух главных плоскостях, для каждого из рассматриваемых случаев выхода из строя модулей.
Рис. 17. Диаграмма направленности с распределением cos2 на пьедестале 0.2 и 5% (а), 15% (б), 30% (в) вышедшими из строя модулями: 1 – азимутальная плоскость; 2 – угломестная плоскость.
В табл. 6 приведены основные характеристики АР с распределением cos2 на пьедестале 0.2 и вышедшими из строя модулями. Как и для равномерного распределения, рост числа вышедших из строя каналов приводит к росту боковых лепестков до 20.1 дБ, а в составе модуля боковые лепестки увеличиваются до 17.1 дБ.
Таблица 6. Основные характеристики АР с распределением cos2 на пьедестале 0.2 с ошибками и вышедшими из строя модулями
Вид ДН | КНД | 2θ0.5Е, град | 2θ0.5Н, град | УБЛЕ, дБ | УБЛН, дБ |
Теоретический расчет | 36.7 | 2.4 | 3.4 | 31.6 | 31.7 |
С ошибками ±1.5 дБ, ±11.25° | 35.3÷35.6 | 2.3÷2.4 | 3.3÷3.4 | 24.0÷31.8 | 25.0÷33.1 |
С ошибками ±1.5 дБ, ±11.25° и 5% отказавшими модулями (7) | 35.1÷35.4 | 2.3÷2.4 | 3.3÷3.4 | 23.8÷30.5 | 21.5÷28.9 |
С ошибками ±1.5 дБ, ±11.25° и 15% отказавшими модулями (21) | 34.6÷34.9 | 2.4÷2.5 | 3.3÷3.4 | 25.5÷32.0 | 19.1÷29.2 |
С ошибками ±1.5 дБ, ±11.25° и 30% отказавшими модулями (42) | 33.8÷34.2 | 2.4÷2.5 | 3.2÷3.4 | 25.6÷33.8 | 17.1÷26.0 |
При равном числе отказавших каналов влияние отказавших модулей на уменьшение КНД АР слабее, чем влияние отказавших каналов. Объясняется это аналогично случаю равномерного распределения – при отказах случайно расположенных каналов уровень всех боковых лепестков увеличивается, что ведет к уменьшению КНД, а при отказах модулей возрастают отдельные боковые лепестки, поэтому КНД уменьшается в меньшей степени. Для пояснения, сказанного на рис. 16б приведено сравнение теоретической ДН, ДН при вышедших из строя каналах и ДН при вышедших из строя модулей без влияния случайных ошибок. Видно, что при выходе из строя каналов возрастает общий уровень боковых лепестков, а при отказах модулей наблюдается рост отдельных боковых лепестков. Ширина ДН в обеих плоскостях изменилась на ±0.1о.
ЗАКЛЮЧЕНИЕ
Представлено исследование характеристик АР с прямоугольной апертурой, состоящей из 40x56 излучающих каналов в условиях наличия факторов, оказывающих влияние на ее характеристики. Проведено электродинамическое моделирование АР и построены ее диаграммы направленности. Показано влияние наличия ошибок в амплитудно-фазовых распределениях на характеристики ДН АР. Средствами программирования среды Mathcad разработан алгоритм, имитирующий выход из строя случайного числа излучающих каналов и модулей. Рассмотрены два вида амплитудно-фазового распределения – равномерное и cos2 на пьедестале 0.2, показавшие, что качественные зависимости степени влияния числа отказавших модулей (nmoduls) на характеристики ДН АР такие же, как и при отказах отдельных излучающих каналов (nerrors): чем больше nmoduls, тем больше боковые лепестки ДН и меньше КНД, при этом чем ниже исходный УБЛ ДН, тем в большей степени возрастают боковые лепестки. Важным аспектом проведенного исследования являются полученные в ходе работы характеристики.
Авторы данной работы заявляют об отсутствии конфликта интересов.
About the authors
A. A. Izmaylov
Research and Production Enterprise «Salyut»
Author for correspondence.
Email: yustas1993@yandex.ru
Russian Federation, Plekhanova st., 6, Moscow, 111123
E. S. Bakhromkina
Research and Production Enterprise «Salyut»
Email: yustas1993@yandex.ru
Russian Federation, Plekhanova st., 6, Moscow, 111123
G. A. Beylis
Research and Production Enterprise «Salyut»
Email: yustas1993@yandex.ru
Russian Federation, Plekhanova st., 6, Moscow, 111123
References
- Москалёв Д. В. // Докл. БГУИР. 2012. Т. 63. № 1. С. 47.
- Корнеев К. Г. // Изв. ТулГУ. Технические науки. 2022. Вып. 2. С. 293.
- Шифрин Я. С. Вопросы статистической теории антенн. М.: Сов. радио, 1970. С. 384.
- Щелкунов С. А., Фриис Г. Т. Антенны: теория и практика / Под ред. Л. Д. Бахраха. М.: Сов. радио, 1955. С. 604.
- Мищенко С. Е., Шацкий Н. В. // Радиоэлектроника. 2014. № 1. С. 10.
- Юрцев О. А., Москалев Д. В., Кизименко В. В. // Докл. БГУИР. 2011. Т. 62. № 8. С. 45.
- Microwave Scanning Antennas. V.1 Apertures/ Ed. by R. C. Hansen. N.Y.: Acad. Press, Inc. 1964.
- Справочник по радиолокации, в 2 книгах / Под ред. М. И. Сколника. М.: Техносфера, 2014.
Supplementary files






















