Resonance related magnetoelastic mods in the structure of ferromagnet-dielectric
- Authors: Shaporov V.N.1, Shavrov V.G.2, Shcheglov V.I.2
-
Affiliations:
- Syktyvkar State University named after P. Sorokin
- Kotel’nikov Institute of Radio Engineering and Electronics, Russian Academy of Sciences
- Issue: Vol 69, No 7 (2024)
- Pages: 638-647
- Section: РАДИОФИЗИЧЕСКИЕ ЯВЛЕНИЯ В ТВЕРДОМ ТЕЛЕ И ПЛАЗМЕ
- URL: https://journal-vniispk.ru/0033-8494/article/view/279636
- DOI: https://doi.org/10.31857/S0033849424070058
- EDN: https://elibrary.ru/HYZMEI
- ID: 279636
Cite item
Full Text
Abstract
Magnetoelastic interactions in the region of ferromagnetic resonance (FMR) in a thin ferrite film on a relatively thick dielectric elastic substrate excited by a magnetic film with a variable magnetic field are investigated. Dependencies of the period of elastically coupled resonance lines on the amplitude-frequency spectrum of FMR are constructed as functions of elastic damping parameters, magnetoelastic coupling, modulus of elasticity, and material density in linear and nonlinear regimes. The presence of a strong threshold nonlinear dependence of the resonance line amplitude on the elastic damping parameter is revealed.
Full Text
ВВЕДЕНИЕ
Железо-иттриевый феррит-гранат (ЖИГ) выделяется среди ферримагнитных материалов высокой магнитной восприимчивостью, очень узкой по сравнению с другими ферритами линией ферромагнитного резонанса (ФМР) и малым значением параметра упругого затухания звука [1]. Благодаря этим свойствам ЖИГ широко применяется в различных устройствах обработки данных в диапазонах средних и высоких частот [2, 3], таких как фильтры, фазовращатели, линии задержки сигнала, вентили и др. [4, 5]. В настоящее время ЖИГ находит все большее применение в устройствах на тонких эпитаксиальных пленках [6, 7], а также в исследованиях по сверхбыстрой оптике [9–11]. В указанных применениях пленки ЖИГ в большинстве случаев изготавливаются методами жидкофазной эпитаксии на подложках из гадолиний-галлиевого граната (ГГГ), поскольку они имеют низкое значение параметра упругого затухания, близкое к значению у ЖИГ. Влияние упругих свойств подложки на ФМР ЖИГ было показано в ряде работ [12–14]. Похожее взаимодействие объемных магнитостатических волн, предположительно с упругими волнами, наблюдалось в работах [15–17], а похожие эффекты с поверхностными магнитостатическими волнами в структуре “пленка-подложка”, распространяющимися вдоль плоскости подложки, наблюдались в работе [18].
В перечисленных работах было отмечено соответствие частотного интервала между осцилляциями резонансным частотам упругих колебаний подложки. Теоретическая интерпретация этих явлений была дана в работах [12–14] с помощью модели связанных осцилляторов, а также в [19] в модели нелинейной прецессии намагниченности, связанной с поперечными компонентами упругих колебаний по толщине подложки, в которой показано, что на амплитудно-частотный спектр ФМР накладываются эквидистантные линии стоячих упругих колебаний с модами порядка нескольких сотен, возбуждаемых по толщине подложки. В работах [20, 21] наблюдаемые в эксперименте резонансы объясняются квантовыми эффектами, а именно взаимодействием бозе-эйнштейновского конденсата с упругими резонансными модами, однако приводимые уравнения без вывода из основных уравнений движения намагниченности и упругого смещения выглядят несколько искусственно.
В данной работе исследованы некоторые характеристики упруго связанных резонансов, возникающих в двухслойной структуре на амплитудно-частотной характеристике ФМР пленки в линейном и нелинейном режимах.
1. ГЕОМЕТРИЯ ЗАДАЧИ
Схема расположения пленки на подложке, а также ориентация кристаллографических осей кубической ячейки пленки и приложенных магнитных полей, подобная использовавшейся в работе [19], показана на рис. 1.
Рис. 1. Геометрия задачи. Двухслойная структура состоит из ферритовой пленки (верхний слой) и немагнитной подложки (нижний слой), на вставке – схема кубической кристаллографической ячейки.
Основу данной геометрии составляет структура, которая состоит из пленки толщиной d0 и подложки толщиной ds. Их суммарная толщина равна d, выполняется условие . Пленка имеет магнитные, упругие и магнитоупругие свойства, а подложка является немагнитной, упругие и кристаллографические свойства которой близки по значению к соответствующим значениям пленки, и поэтому в расчетах считаются одинаковыми. Вся структура имеет кубическую кристаллографическую симметрию, плоскость (100) которой совпадает с плоскостью пластины. Внешнее постоянное магнитное поле направлено перпендикулярно плоскости пленки, а переменное магнитное поле лежит в ее плоскости. Плоскость Oxy декартовой системы координат совпадает с плоскостью пластины, а оси координат параллельны ребрам куба кристаллографической ячейки. Центр O системы координат лежит на нижней плоскости структуры.
2. ПОСТАНОВКА ЗАДАЧИ
Система уравнений колебаний для проекций намагниченности аналогичны уравнениям, полученным в работе [19]. Приведем эту систему уравнений:
(1)
(2)
(3)
Здесь – динамические компоненты намагниченности, нормированные на намагниченность насыщения материала M0, α
— параметр затухания Гильберта, – эффективные поля, определяемые выражениями
(4)
(5)
(6)
где B2 — константа магнитоупругого взаимодействия, поле имеет гармоническую зависимость от времени вида
(7)
(8)
где — постоянные.
В выражениях (4)–(6) параметр P имеет вид
(9)
где
(10)
(11)
(12)
. (13)
Здесь η и ξ — действительная и мнимая части волнового числа:
(14)
где скорость упругой волны равна
(15)
где β — параметр упругого затухания, c44 — компонента модуля упругости, ρ — плотность материала пластины. Представляя k в виде суммы действительной и мнимой частей
(16)
получаем
(17)
(18)
В данной работе систему решали численно методом Дормана–Принса 8-го порядка с контролем точности. В результате получена картина развития колебаний во времени. Амплитудно-частотные характеристики (АЧХ) рассчитывали только для установившегося режима колебаний, что соответствовало последней четверти всего рассматриваемого временного интервала колебаний. В расчетах общий интервал времени, в течение которого рассматривался процесс, составлял 0.3 мкс, а амплитуду находили как максимальное по модулю значение отклонения магнитного момента от оси Ox, начиная с момента времени 0.225 мкс. Для получения АЧХ магнитных и упругих колебаний в установившемся режиме осуществляли серию таких расчетов в диапазоне частот 4.86…5.02 ГГц с шагом до 1 кГц.
3. АМПЛИТУДНО-ЧАСТОТНЫЕ ХАРАКТЕРИСТИКИ
Магнитоупругое взаимодействие существенно изменяет форму АЧХ магнитных колебаний пленки, особенно сильно проявляясь в области ферромагнитного резонанса. Авторы исследовали зависимость амплитуды отклика намагниченности от упругого затухания β, магнитоупругого взаимодействия B2, модуля упругости с44 и плотности материала ρ в области ФМР. Для расчета использовали пленку ЖИГ со следующими значениями параметров: намагниченность насыщения 4πMн = 1720 Гс, константа упругости с44 = 7.64×1011 эрг см–3, константа магнитоупругого взаимодействия B2 = 6.96×106 эрг см–3, параметр затухания Гильберта α = 0.001. Значения скорости звука и толщины слоев принимали такими же, как в [12], а скорость упругой волны ν = 3.53×105 см с–1. Постоянное поле H0 = 3453 Э. Толщина пленки ЖИГ принимали равной d0 = 0.2 мкм, а толщина всей двухслойной структуры d = 500 мкм. Координату z находили аналогично [19] — вблизи поверхности структуры противоположной поверхности пленки. Для выбранной геометрии это была координата z = d0.
На рис. 2 показаны амплитудно-частотные характеристики ФМР с магнитоупругими резонансами по частоте при низком (h0 = 0.01 Э) и высоком (h0 = 0.5 Э) уровнях возбуждения. Низкий уровень возбуждения соответствует линейному резонансу, высокий — нелинейному, о чем свидетельствует форма ФМР в виде скошенного треугольника. Рассмотрены случаи, когда магнитоупругая связь отсутствует (B2 = 0 — пленка не обладает магнитоупругими свойствами) и когда магнитоупругая связь есть (B2 ≠ 0). Во втором случае видно, что на ФМР, как линейный, так и нелинейный, накладывается эквидистантная сетка резонансных линий. Толщина двухслойной структуры d = 500 мкм, толщина пленки d0 = 0.2 мкм.
Рис. 2. Резонансные кривые по частоте при низком h0 = 0.01 Э (а, в) и высоком h0 = 0.5 Э (б, г) уровнях возбуждения и различных значениях константы магнитоупругого взаимодействия: B2 = 0 (а, б); B2 = 6.96×106 эрг см–3 (в, г).
Аналогичные резонансные линии были показаны в работе [19] и наблюдались в экспериментах, результаты которых приведены в работах [12, 22]. Эти линии соответствуют собственным частотам fn акустических волн, где n — число длин волн, укладывающихся по толщине структуры на частоте fn. При выбранной геометрии частотная периодичность этих линий определяется скоростью ν поперечного звука в структуре и ее толщиной d. Для собственных частот структуры разность частот Δf двух соседних мод fn и fn+1 равна собственной частоте колебаний структуры:
где f0 = ν / d — собственная частота колебаний структуры. Соответственно, разница частот двух соседних половин мод равна С учетом (15) получим
(19)
Таким образом, разница между двумя резонансными линиями обратно пропорциональна толщине структуры и квадратному корню от плотности материала, а также прямо пропорциональна квадратному корню от константы упругости c44. На рис. 3 сплошными линиями показаны графики, рассчитанные по формуле (19), а также зависимости расстояния между резонансными линиями, полученными при решении системы (1)–(18) при различных значениях d, c44 и ρ. Во всех случаях измеренные разности частот между соседними полумодами хорошо совпадают с соотношением (19). Это соответствует тому, что наблюдаемые резонансные линии на АЧХ вблизи ФМР являются резонансносвязанными с колебаниями намагниченности упругими модами n-го порядка.
Рис. 3. Зависимость расстояния между соседними резонансными линиями: от толщины структуры d (a), от плотности подложки ρ (б), от константы магнитоупругости с44 (в); сплошная линия – значения, рассчитанные по формуле (19), точки – измеренные расстояния по частоте между двумя соседними резонансными линиями.
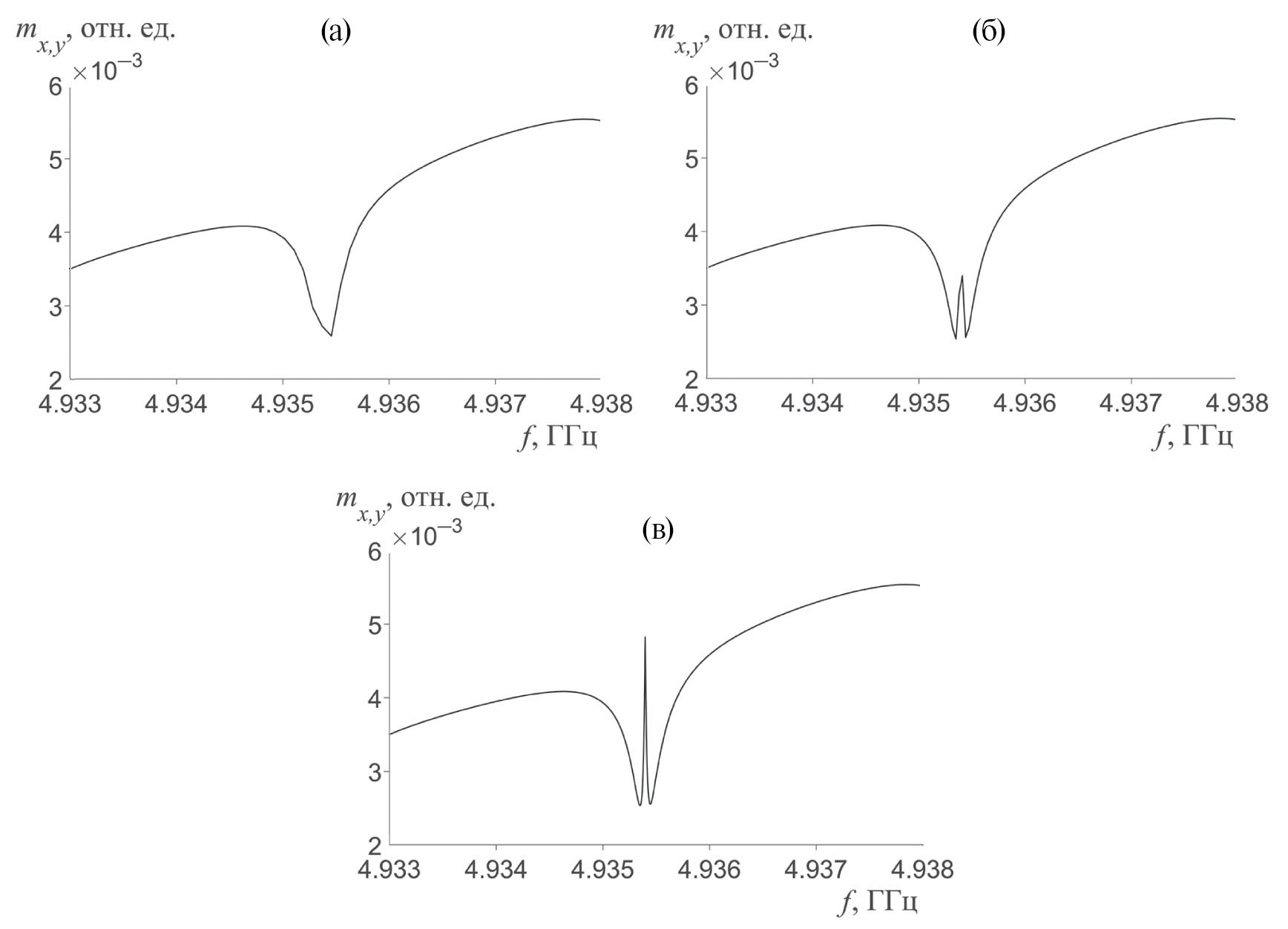
На рис. 4 представлены формы резонансной линии при различных шагах расчета, хорошо согласующиеся с данными работы [12, рис. 1]. При малом шаге видно, что резонансные линии расщепляются (рис. 4в). При недостаточно малом шаге и в силу очень малой ширины линий это расщепление может иметь вид, показанный на рис. 4а, 4б. Расстояние между двумя линиями, которое соответствует соседним полумодам, равно 3.5 МГц, что в точности совпадает с данными работы [23, рис. 4], где указано расстояние между двумя соседними резонансными модами, равное 7 МГц.
Рис. 4. Форма резонансной линии, соответствующей одному упругому резонансу слева от максимума АЧХ магнитоупругого ФМР в линейном режиме при h0 = 0.01Э, расчет с шагом 100 (a), 30 (б) и 3 кГц (в).
На рис. 5 представлены формы проекций намагниченности на ось Ox справа от максимума ФМР, где упруго связанные резонансные линии намагниченности направлены вверх. Слева от максимума ФМР эти линии направлены вниз (рис. 4), в виде антирезонанса. Предположительно это связано с тем, что в уравнениях (4)–(6) параметр P для упрощения системы подставляется в виде модуля его комплексного выражения. Вблизи максимума ФМР линии имеют дополнительное небольшое расщепление в максимуме (рис. 5а), а в нелинейном режиме упруго связанный резонанс имеет резкий, пороговый характер (рис. 5б).
Рис. 5. Форма резонансной линии, соответствующей одному упругому резонансу справа от максимума АЧХ магнитоупругого ФМР в линейном режиме при h0 = 0.01 Э (а, в) и нелинейном при h0 = 0.5 Э (б, г), вблизи максимума (a, б) и вдали от максимума (в, г).
Параметрами, существенно влияющим на амплитуду упруго связанных резонансных линий, является параметр упругого затухания β и параметр магнитоупругой связи B2. Характер их влияния был также рассчитан на основе полученных уравнений. Так, на рис. 6 показаны резонансные линии при различных значениях β вблизи ФМР на частоте, соответствующей одной из собственных упругих мод структуры.
Рис. 6. Формы АЧХ упруго связанной резонансной линии справа от максимума ФМР при β = 0 (1), 0.027 (2), 0.039 (3), 0.055 (4), 0.077 (5), 0.108 (6) и 0.3 мкс–1 (7); на вставках — зависимость максимального (сплошная линия) и минимального (пунктирная) значений амплитуды mx,y от β в линейном режиме (h0 = 0.01 Э) (а, б) и нелинейном (h0 = 0.5 Э) (в, г).
Изменение амплитуды резонансной линии имеет особенность — ниже некоторого значения параметра β амплитуда резко возрастает, а в нелинейном режиме изменение амплитуды носит скачкообразный, пороговый характер. При β > 106 с–1 (или β > 1 мкс–1) упругие потери становятся столь значительными, что резонансные линии практически исчезают. Поэтому для наблюдения эффекта следует выбирать материалы с малыми упругими потерями, однако следует учитывать сильную нелинейную пороговую зависимость амплитуды от параметра β.
Влияние параметра магнитоупругого взаимодействия показано на рис. 7, 8.
Рис. 7. Амплитудно-частотная характеристика магнитоупругого резонанса при B2 = 13.9×106 эрг см–3 в линейном режиме (h0 = 0.01 Э) (a) и нелинейном (h0 = 0.5 Э) (б).
Рис. 8. Общий вид резонансной линии (а, б) и форма резонансной линии слева от максимума ФМР вблизи ее центра (в, г) в линейном режиме при h0 = 0.01 Э (а, в) и нелинейном при h0 = 0.5 Э (б, г) при различных значениях параметра магнитоупругой связи: (1), 6.96 × 106 (2), 13.9 × 106 (3), 27.84 × 106 (4), 55.68 × 106 (5), 111.36 × 106 эрг см–3 (6).
На рис. 7 показана АЧХ при удвоенном значении параметра B2 по сравнению со значением, при котором рассчитаны АЧХ на рис. 2. Можно заметить, что в нелинейном режиме, кроме увеличения амплитуды резонансносвязанных линий, увеличивается также значение частоты срыва колебаний (рис. 7б). На рис. 8 показан вид одной резонансносвязанной линии при различных значениях параметра магнитоупругой связи B2 слева от центра ФМР в линейном (рис. 8а, 8в) и нелинейном (рис. 8б, 8г) режимах. На рис. 8в, 8г эта кривая резонанса показана вблизи его центра. При усилении магнитоупругой связи увеличивается амплитуда резонансных линий, но уменьшается их ширина, поскольку увеличивается добротность упруго связанной резонансной системы, хотя данный факт не является очевидным.
На прецессию магнитных моментов также большое влияние оказывает поляризация возбуждающего магнитного поля, поэтому она должна оказывать влияние и на магнитоупругие эффекты. На рис. 9 показаны рассчитанные по (19) формы резонансных линий при левой, правой и линейной поляризациях переменного магнитного поля для линейного (рис. 9а) и нелинейного (рис. 9б) режимов резонанса.
Рис. 9. Вид АЧХ при правой (кривая 1), левой (2) и линейной поляризациях (3): (а) — линейный режим при h0 = 0.01 Э, (б) — нелинейный режим при h0 = 0.5 Э.
Правая круговая поляризация (кривая 1) приводит к рассмотренным выше АЧХ, а левая (кривая 2) не связана с ФМР, поскольку вращение возбуждающего магнитного поля происходит против направления прецессии намагниченности. Линейная поляризация (кривая 3) при прочих равных условиях возбуждения приводит к таким же АЧХ, как и правая круговая, но с несколько меньшей амплитудой ФМР, поскольку среднее значение тангенциальной составляющей переменного поля, действующего на прецессирующий по кругу магнитный момент, у линейно-поляризованного поля меньше, чем у поля, имеющего круговую поляризацию, а в случае нелинейного режима уменьшается также и значение частоты срыва амплитуды отклика.
ЗАКЛЮЧЕНИЕ
На основе модели, полученной в работе [19], были произведены расчеты и показаны особенности резонансных линий, возникающих на АЧХ ФМР в двухслойной структуре ферромагнетик-диэлектрик, состоящей их ЖИГ толщиной в 0.2 мкм и ГГГ толщиной в 500 мкм. Показано, что резонансные линии являются линиями собственных упругих мод высокого порядка, возникающих в толще структуры. Данная модель хорошо подходит для случая малости толщины пленки по сравнению с толщиной подложки, поскольку рассматривает возбуждение упругих колебаний как задачу о распространении периодического граничного режима. Модель состоит из пяти уравнений первого порядка — для трех компонент намагниченности и двух компонент упругого смещения. Решение полученной системы производилось методом Дормана–Принса 8-го порядка с последующим выделением стационарной амплитуды, что позволило исследовать зависимости упругосвязанных резонансных линий от вариаций различных параметров системы. Полученные зависимости расстояний между соседними пиками резонансных линий от параметров с выражением для собственных поперечных акустических частот по толщине пленки имели совпадения. На их основе было показано, что резонансные линии являются наложением упругих поперечных колебаний структуры на собственных резонансных модах n-го порядка на колебания намагниченности в области ФМР. Линии имеют расщепление, что согласуется с экспериментом, однако требуются дополнительные исследования, чтобы дать более полную физическую интерпретацию.
Построенные АЧХ для резонансных линий при различных значениях параметров магнитоупругой связи B2 и упругого затухания β дают понимание степени влияния этих параметров на амплитуду и форму упруго связанных резонансных мод. С увеличением магнитоупругой связи увеличивается амплитуда упруго связанных резонансных линий, и при этом уменьшается их ширина, т. е. растет добротность упруго связанной системы, хотя на первый взгляд, чем больше связь упругой системы с магнитной, тем сильнее магнитная нагружает упругую, и, следовательно, добротность при увеличении B2 должна падать. Данный вопрос остается открытым для дальнейших исследований. Параметр упругого затухания имеет интересную зависимость: существует его некоторое пороговое значение, ниже которого амплитуда упруго связанных резонансных линий резко возрастает. Эту пороговую нелинейность, если в дальнейших исследованиях она будет найдена, следует учитывать при выборе материалов с малым значением этого параметра.
Рассмотрено также влияние поляризации возбуждающего переменного поля на АЧХ отклика. При круговой поляризации переменного магнитного поля к резонансному отклику намагниченности приводит только правая поляризация. Линейная поляризация при прочих равных условиях возбуждения приводит к таким же АЧХ, как и правая круговая, но с несколько меньшей амплитудой ФМР, а в случае нелинейного режима, помимо амплитуды, уменьшается еще и граница частоты срыва амплитуды отклика.
БЛАГОДАРНОСТИ
Авторы выражают искреннюю благодарность В. С. Власову за ценные замечания, обсуждения и помощь при выполнении работы.
ФИНАНСИРОВАНИЕ РАБОТЫ
Работа выполнена в рамках государственного задания Института радиотехники и электроники им. В. А. Котельникова РАН.
About the authors
V. N. Shaporov
Syktyvkar State University named after P. Sorokin
Author for correspondence.
Email: shaporov@mail.ru
Russian Federation, Oktyabrsky Prospekt, 55, Syktyvkar, 167001
V. G. Shavrov
Kotel’nikov Institute of Radio Engineering and Electronics, Russian Academy of Sciences
Email: shaporov@mail.ru
Russian Federation, Mokhovaya str. 11, build. 7, Moscow, 125009
V. I. Shcheglov
Kotel’nikov Institute of Radio Engineering and Electronics, Russian Academy of Sciences
Email: shaporov@mail.ru
Russian Federation, Mokhovaya str. 11, build. 7, Moscow, 125009
References
- Штраусс В. // Физическая акустика. Т. 4Б. Применения физической акустики в квантовой физике и физике твердого тела / Под ред. У. П. Мэзона. М.: Мир, 1970. С. 247.
- Адам Дж.Д. // ТИИЭР. 1988. Т. 76. № 2. С. 73.
- Исхак В.С. // ТИИЭР. 1988. Т. 76. № 2. С. 86.
- Adam J.D., Davis L.E., Dionne G. F. et al. // IEEE Trans. 2002. V. MTT-50. № 3. P. 721.
- Шавров В.Г., Щеглов В.И. Магнитостатические волны в неоднородных полях. М.: Физматлит, 2016.
- Курушин Е.П., Нефедов Е.И. // Микроэлектроника. 1977. Т. 6. № 6. С. 549.
- Serga A.A., Chumak A.V., Hillebrands B. // J. Phys. D: Appl. Phys. 2010. V. 43. P. 264002(16).
- Ле-Кроу Р., Комсток Р. // Физическая акустика. Т. 3Б. Динамика решетки / Под ред. У. П. Мэзона. М.: Мир, 1968. С. 156.
- Калашникова А.М., Кимель А.В., Писарев Р.В. // Успехи физ. наук. 2015. T. 185. № 10. С. 1064.
- Chang C.L., Tamming R.R., Broomhall T.J. et al. // Phys. Rev. Appl. 2018. V.10. № 3. P. 034068(8).
- Власов В.С., Голов А.В., Котов Л.Н. и др. // Акустич. журн. 2022. Т. 68. № 1. С. 22.
- An K., Litvinenko A.N., Kohno R. et al. // Phys. Rev. B. 2020. V. 101. № 6. P. 060407(6).
- Полулях С.Н., Бержанский В.Н., Семук Е.Ю. и др. // ЖТФ. 2021. Т. 91. № 7. С. 1124.
- Полулях С.Н., Бержанский В.Н., Семук Е.Ю. и др. // ЖЭТФ. 2021. Т. 159. № 2. С. 307.
- Гуляев Ю.В., Зильберман П.Е., Казаков Г.Т. // Письма в ЖЭТФ. 1981. Т. 39. № 9. С. 500.
- Казаков Г.Т., Тихонов В.В., Зильберман П.Е. // ФТТ. 1983. Т. 25. № 8. С. 2307.
- Андреев А.С., Зильберман П.Е., Кравченко В.Б. и др. // Письма в ЖТФ. 1984. Т. 10. № 2. С. 90.
- Хивинцев Ю.В., Сахаров В.К., Высоцкий С.Л. и др. // ЖТФ. 2018. Т. 88. № 7. С. 1060.
- Ветошко П.М., Власов В.С., Шавров В.Г., Щеглов В.И. // РЭ. 2023. Т. 68. № 2. С. 157.
- Кузмичев А.Н., Ветошко П.М., Князев Г.А. и др. // Письма в ЖЭТФ. 2020. Т. 112. № 11. С. 749.
- Knyazev G.A., Kuzmichev A.N., Petrov P.E. et al. // arXiv:2301.10725v1 [cond-mat.mes-hall]. 24 Jan 2023.
- Власов В.С., Котов Л.Н., Шавров В.Г., Щеглов В.И. // РЭ. 2009. Т. 54. № 7. С. 863.
- Litvinenko A., Khymyn R., Tyberkevych V. et al. // Phys. Rev. Appl. 2021. V. 15. № 3. P. 034057.
Supplementary files











