Component Composition and Some Features of the Biological Activity of Viscum album (Viscaceae)
- Authors: Adzhiakhmetova S.L.1, Chervonnaya N.M.1, Pozdnyakov D.I.1, Popova O.I.1, Oganisyan E.T.1
-
Affiliations:
- Pyatigorsk Medical and Pharmaceutical Institute – branch of the Volgograd State Medical University
- Issue: Vol 59, No 3 (2023)
- Pages: 228-248
- Section: REVIEWS
- URL: https://journal-vniispk.ru/0033-9946/article/view/138800
- DOI: https://doi.org/10.31857/S0033994623030044
- EDN: https://elibrary.ru/RZUHMM
- ID: 138800
Cite item
Full Text
Abstract
Abstract
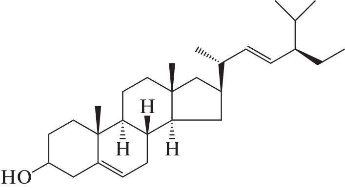
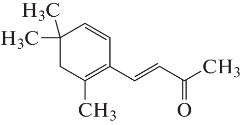
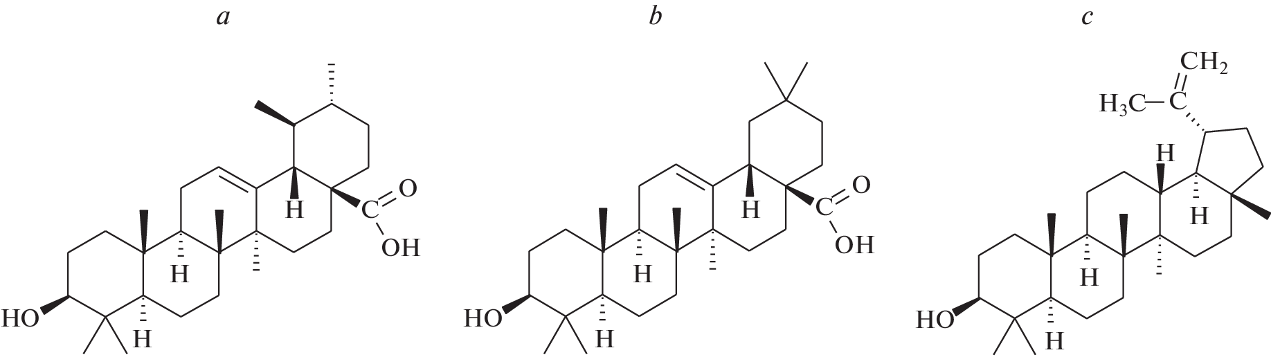
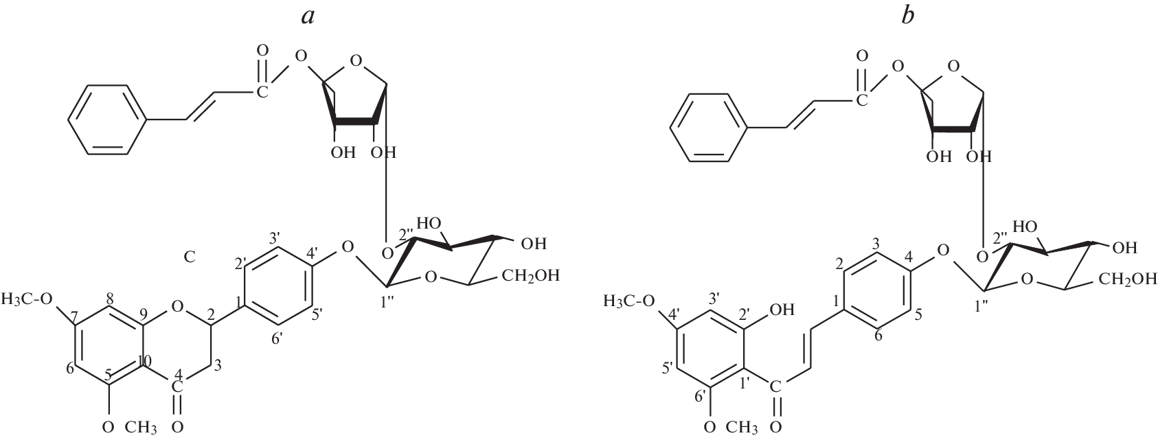
—The review summarizes data on the chemical composition and some features of biological activity of Viscum album L. (Viscaceae Batsch). Among the secondary metabolites, the dominant ones are: viscotoxins, lectins, carbohydrates, amino acids, flavonoids, triterpene acids, nitrogenous compounds. It has been shown that European mistletoe extracts, as well as individual components, exhibit various types of biological activity, including antitumor, immunomodulatory, antidiabetic, and improve cognitive functions. V. album is very promising for further comprehensive study as a local source of herbal preparations, as mistletoe preparations are prescribed as an adjunct treatment for cancer patients in many countries.
Keywords
About the authors
S. L. Adzhiakhmetova
Pyatigorsk Medical and Pharmaceutical Institute – branch of the Volgograd State Medical University
Author for correspondence.
Email: similla503@mail.ru
Russia, Pyatigorsk
N. M. Chervonnaya
Pyatigorsk Medical and Pharmaceutical Institute – branch of the Volgograd State Medical University
Email: similla503@mail.ru
Russia, Pyatigorsk
D. I. Pozdnyakov
Pyatigorsk Medical and Pharmaceutical Institute – branch of the Volgograd State Medical University
Email: similla503@mail.ru
Russia, Pyatigorsk
O. I. Popova
Pyatigorsk Medical and Pharmaceutical Institute – branch of the Volgograd State Medical University
Email: similla503@mail.ru
Russia, Pyatigorsk
E. T. Oganisyan
Pyatigorsk Medical and Pharmaceutical Institute – branch of the Volgograd State Medical University
Email: similla503@mail.ru
Russia, Pyatigorsk
References
Supplementary files































